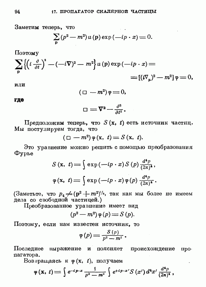
Главная > Теория фундаментальных процессов
НАПИШУ ВСЁ ЧТО ЗАДАЛИ
СЕКРЕТНЫЙ БОТ В ТЕЛЕГЕ
<< Предыдущий параграф Следующий параграф >>
Пред.
След.
Макеты страниц

Распознанный текст, спецсимволы и формулы могут содержать ошибки, поэтому с корректным вариантом рекомендуем ознакомиться на отсканированных изображениях учебника выше

Также, советуем воспользоваться поиском по сайту, мы уверены, что вы сможете найти больше информации по нужной Вам тематике

ДЛЯ СТУДЕНТОВ И ШКОЛЬНИКОВ ЕСТЬ
ZADANIA.TO

31. ТЕОРИЯ B-РАСПАДА

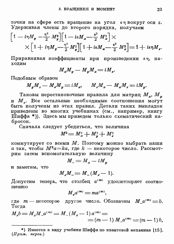
Мы рассмотрели электродинамику. Кроме нее, количественные вычисления могут быть произведены только для -распада. Он впервые был наблюден в виде реакции обозначает антинейтрино), протекающей в ядре. Вы уже слышали о нейтрино. Его существование было постулировано для того, чтобы обеспечить сохранение энергии, импульса и спина. Нейтрино имеет массу 0 и спин .

Примерно в 1934 году Ферми предположил, что амплитуда такого перехода может быть написана в виде

где есть волновая функция соответствующей частицы. Поскольку в этом выражении нет производных от , то для определения энергетического спектра электрона достаточно вычислить плотность конечных состояний. (Сначала казалось, что этот рецепт не соответствует эксперименту.

Поэтому Конопинский и Уленбек предположили, что для описания опытных данных следует ввести производные от волновых функций. Однако все эксперименты были ошибочны, поскольку не было принято во внимание рассеяние электронов назад в фольге, образующей источник. Впоследствии мисс Ву использовала для опытов все более тонкие фольги и исключила этот эффект. Оказалось, что Ферми был прав. Так кончилась история с Конопинским и Уленбеком.)

Возникает следующий очевидный вопрос: поскольку каждый спинор имеет четыре компоненты, то какую из них использовать во взаимодействии? Всего имеется 256 возможностей. С физической точки зрения вопрос сводится к зависимости от спина частиц. Прежде всего следует найти комбинации, инвариантные относительно вращений и лоренцевых преобразований. Одна из возможностей

известна как скалярная связь. Другую возможность дает векторная связь

также являющаяся инвариантной. (Именно ее предложил Ферми в качестве примера.)

Можно продолжить этот ряд дальше. Используя антисимметричный тензор второго ранга

мы можем построить тензорную связь

Кроме того, имеются:

— аксиальная векторная связь и

— псевдоскалярная связь.

Истинная связь может быть представлена произвольной комбинацией этих пяти выражений. При этом мы предположили свойство инвариантности относительно отражений (сохранение четности).

Например, выражение

инвариантно относительно вращений и лоренцевых преобразований, но меняет знак при отражениях. То же самое справедливо для остальных взаимодействий, если в одну из скобок ввести лишнюю . Если использовать комбинацию связей, меняющих и не меняющих знак при отражениях, то четность будет нарушаться. Вследствие этого такие связи не рассматривались до тех пор, пока не возникли трудности с распадом -мезонов (загадка ). К-мезоны распадаются на и , причем четности конечных состояний отличаются друг от друга. Ли и Янг предложили несколько экспериментов для того, чтобы выяснить, является ли это очевидное отсутствие сохранения четности типичным для слабых распадов. Согласно опыту Ву с (см. лекцию 7) электроны вылетают преимущественно назад по отношению к направлению спина ядер. Это означает, что можно связать вращение с определенным направлением в пространстве, вследствие чего симметрия отражения оказывается нарушенной. Математически отсутствие сохранения четности в -распаде означает, что к обычным взаимодействиям следует добавить связи, меняющие знак при отражениях. Если коэффициенты G действительны, то теория инвариантна относительно отражения времени. Однако сразу после ниспровержения четности возникли сомнения в справедливости инвариантности временного отражения. Поэтому рассматривались десять комплексных G, т. е. двадцать независимых констант.

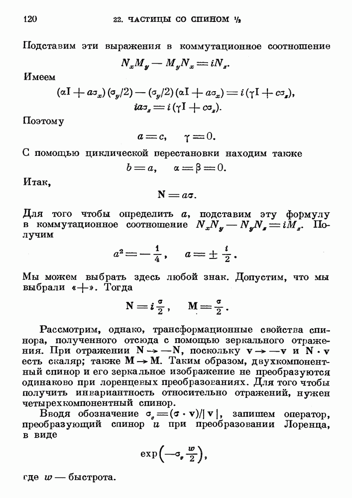
Следующее предложение было сделано Ли и Янгом, а также, независимо, Ландау и Саламом. Идея состоит в том, что эффект несохранения четности обусловлен нейтрино, которое должно всегда вращаться налево, т. е. против часовой стрелки. (Первоначально они предположили вращение направо, что оказалось неверным.) Напомним теперь, что при обсуждении релятивистских частиц со спином мы установили, что простейшее представление приводит к двухкомпонентной амплитуде, удовлетворяющей уравнению

или

Ли и Янг предположили, что нейтрино может существовать только в одном из этих состояний. Уравнение для нейтрино оказалось таким:

Напомним, что для электрона

если настаивать на уравнении первого порядка. Ясно, однако, что v удовлетворяет также уравнению второго порядка

Гелл-Манн и я предположили, что электрон также следует представлять двухкомпонентным спинором v. Тогда взаимодействие -распада состоит только из двухкомпонентных волновых функций v. Единственная релятивистски-инвариантная комбинация, не включающая градиентов, имеет вид

Та же самая идея была высказана, вероятно, несколько раньше, Маршаком и Сударпаном.

Таким образом, мы приходим к единственной теории -распада с одной лишь константой взаимодействия G. В то время, когда она была предложена, эта теория противоречила установленным результатам по крайней мере трех опытов, которые впоследствии оказались неверными.

У меня был соблазн изложить квантовую электродинамику на основе двухкомпонентных волновых функций. Основная трудность заключается в том, что вы не смогли бы тогда использовать современную литературу. По этой причине мы также запишем -взаимодействие в четырех-компонентном представлении.

В принятом нами представлении -матриц

Пусть

Тогда, если

где и — двухкомпонентные волновые функции, то

Подобным образом

и

Операторы и являются проекционными. Вы можете проверить, что

причем проектирует на компоненту . Поэтому в четырехкомпонентной записи взаимодействие принимает вид

Поскольку и , то это выражение упрощается:

Спустя 23 года мы вернулись назад к Ферми!

Правило Ферми модифицировано заменой каждого на . Потребовалось 23 года для того, чтобы найти . Легко проверить, что если произвести эту подстановку во всех возможных -связях, то скалярное, тензорное и псевдоскалярное взаимодействия обращаются в нуль, а векторное и аксиальное приводят к написанному выражени. В историческом плане следует сказать, что Салам, Ландау, Ли и Янг предположили, что волновую функцию нейтрино следует всегда умножать на . Затем я предположил то же самое для электрона и мюона, но сомневался относительно нейтрона и протона, поскольку считал, что некоторые эксперименты неправильны. Наконец, Маршак и Сударшан и мы с Гелл-Манном предложили общее правило замены каждого на .

Выясним теперь физическое содержание такой теории. С этой целью рассмотрим распад поляризованного нейтрона. Для простоты пренебрежем движением нуклонов (устремим массу нуклона ) и спином протона. Амплитуда этого процесса равна

Нам нужно вычислить произведение , просуммированное по двум спиновым состояниям протона. Используя проекционные операторы (см. лекцию 24)

для спинов нейтрона и электрона, получаем

Рассмотрим сначала шпур, содержащий нуклонные переменные. Избавимся от одной из , пользуясь тем, что и . Тогда

Кроме того,

Поскольку шпур нечетного числа -матриц обращается в нуль, у нас остается

Выберем за ось z направление поляризации нейтрона. В пределе получаем

Используя формулу

получаем

(Легко проверить эти формулы в каждом частном случае для и ). Кроме этого,

Поэтому

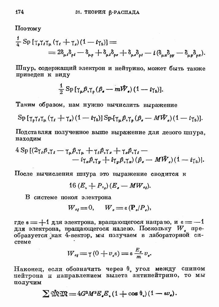
Шпур, содержащий электрон и нейтрино, может быть также приведен к виду

Таким образом, нам нужно вычислить выражение

Подставляя полученное выше выражение для левого шпура, находим

После вычисления шпура это выражение сводится к

В системе покоя электрона

где для электрона, вращающегося направо, и для электрона, вращающегося налево. Поскольку преобразуется -вектор, мы получаем в лабораторной системе

Наконец, если обозначить через , угол между спином нейтрона и направлением вылета антинейтрино, то мы подучим

Эта формула говорит нам, что:

вероятность вылета электронов, вращающихся налево, = при ,

вероятность вылета электронов, вращающихся направо, = при .

Следовательно, электроны -распада должны иметь левую поляризацию. Нейтрино должны всегда вращаться налево (антинейтрино—направо). Обратите внимание на то, что релятивистские электроны ведут себя подобно нейтрино, поскольку их массой покоя можно пренебречь.

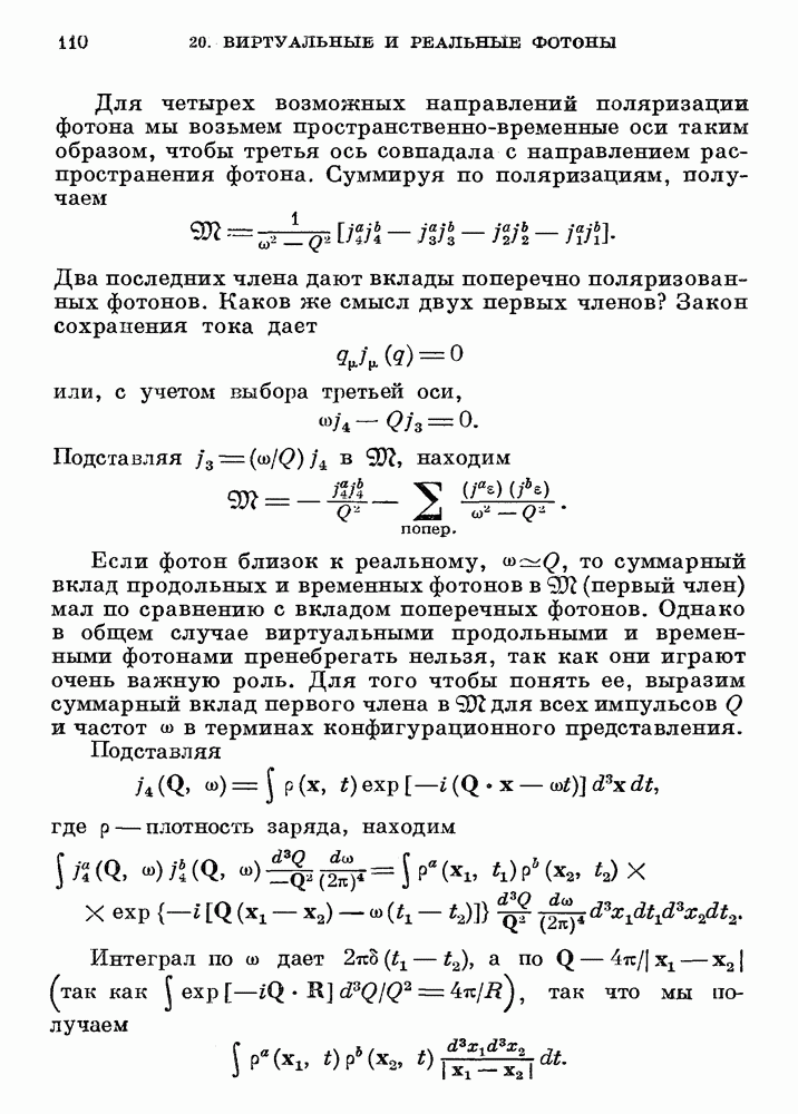
В то время как электроны испускаются изотропно, антинейтрино вылетают преимущественно вдоль направления спина нейтрона с законом углового распределения .

Как можно видеть, эти результаты находятся в согласии с опытом . Спины ядер соответственно равны 5 и 4, так, что полный момент меняется на 1. Антинейтрино вылетает преимущественно вдоль спина ядра , унося единицы момента, ориентированного вдоль его направления движения. Для сохранения полного момента электрон должен поэтому вылетать назад (рис. 31-1).

Рис. 31-1.

Энергетический спектр электронов зависит лишь от плотности конечных состояний (лекция 16):

где

Скорость распада нейтрона равна

1
Оглавление
email@scask.ru