Главная > Оценивание параметров пространственных деформаций последовательностей изображений
НАПИШУ ВСЁ ЧТО ЗАДАЛИ
СЕКРЕТНЫЙ БОТ В ТЕЛЕГЕ
<< Предыдущий параграф Следующий параграф >>
Пред.
След.
Макеты страниц

Распознанный текст, спецсимволы и формулы могут содержать ошибки, поэтому с корректным вариантом рекомендуем ознакомиться на отсканированных изображениях учебника выше

Также, советуем воспользоваться поиском по сайту, мы уверены, что вы сможете найти больше информации по нужной Вам тематике

ДЛЯ СТУДЕНТОВ И ШКОЛЬНИКОВ ЕСТЬ
ZADANIA.TO

3.5. Заключение

Псевдоградиентные тензорные алгоритмы, полученные в предположении марковости пространственных деформаций последовательности многомерных изображений, требуют значительных вычислительных ресурсов и при обработке изображений больших размеров (свыше отсчетов) нереализуемы в системах реального времени на современном этапе развития аппаратных средств. Уменьшить вычислительные затраты позволяет синтез алгоритмов в классе псевдоградиентных безыдентификационных процедур. При этом при отсутствии яркостных искажений изображений в качестве целевой функции целесообразно выбирать средний квадрат межкадровой разности, а при межкадровых яр-костных искажениях, близких к линейным, - выборочный коэффициент межкадровой корреляции. При значительных яркостных искажениях, связанных с различием условий регистрации может быть рекомендована псевдоградиентная адаптация в морфологическом анализе изображений.

Псевдоградиентные алгоритмы, разработанные на основе указанных выше принципов, позволяют с высокой точностью находить оценки заданного набора параметров модели пространственных деформаций. Например, при оценке параллельного сдвига и поворота СКО оценки составляет сотые доли шага сетки отсчетов и тысячные доли радиана. Дополнительно сократить вычислительные затраты позволяет переменный объем локальной выборки целевой функции. В частности, использование переменного объема локальной выборки при решении задачи поиска местоположения фрагмента 40 х 40 элементов на изображении размеров свыше 1500 х 1500 элементов сокращает вычислительные затраты более чем на порядок.

При неизвестном наборе параметров модели пространственных деформаций псевдоградиентные алгоритмы позволяют оценивать сдвиги каждого узла сетки отсчетов изображения, если деформации изменяются достаточно плавно (0.1-0.3 шага сетки между соседними отсчетами). Для случаев большей скорости изменения деформаций или частично известного набора параметров целесообразно

применение алгоритмов, использующих матрицу пространственных деформаций.

Псевдоградиентные алгоритмы реализуемы в системах реального времени как аппаратно, так и программно.

1
Оглавление
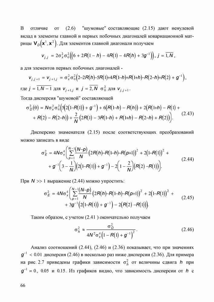
email@scask.ru