Главная > Акустическое управление турбулентными струями
НАПИШУ ВСЁ ЧТО ЗАДАЛИ
СЕКРЕТНЫЙ БОТ В ТЕЛЕГЕ
<< Предыдущий параграф Следующий параграф >>
Пред.
След.
Макеты страниц

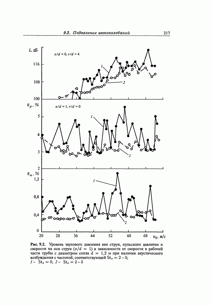
Распознанный текст, спецсимволы и формулы могут содержать ошибки, поэтому с корректным вариантом рекомендуем ознакомиться на отсканированных изображениях учебника выше

Также, советуем воспользоваться поиском по сайту, мы уверены, что вы сможете найти больше информации по нужной Вам тематике

ДЛЯ СТУДЕНТОВ И ШКОЛЬНИКОВ ЕСТЬ
ZADANIA.TO

6.5. Об одной любопытной аналогии

Профессор П.С. Ланда обратила внимание на наличие аналогии между возникновением турбулентности в незамкнутых течениях жидкости и шумоиндуктированным возбуждением колебаний маятника со случайно колеблющейся осью подвеса Существенно, что эта аналогия основана не на подобии уравнений движения, описывающих рассматриваемые процессы, а на общности законов теории колебаний.

В указанных работах аналитически и численно исследовано уравнение колебаний маятника со случайно колеблющейся осью подвеса.

Было показано, что когда интенсивность колебаний оси подвеса превышает некоторое критическое значение, происходит параметрическое возбуждение колебаний маятника, которое проявляется в том, что дисперсия угла поворота маятника становится отличной от нуля. Оказалось, что вблизи порога возбуждения колебания маятника обладают свойством перемежаемости, т.е. в течение длительных промежутков времени маятник колеблется вблизи своего положения равновесия (так называемые "ламинарные"и "турбулентные" фазы). При удалении от этого порога длительность ламинарной фазы сокращается, а турбулентной - увеличивается, в результате чего ламинарная фаза вообще исчезает. При этом дисперсия угла поворота растет.

Было установлено, что возбуждение колебаний маятника может быть вызвано слабыми дополнительными гармоническими колебаниями оси подвеса, причем низкочастотное воздействие увеличивает интенсивность шумоиндуцированных колебаний. Подавление шумоиндуцированных колебаний достигается при дополнительном высокочастотном гармоническом воздействии на ось подвеса маятника. При малых амплитудах высокочастотного воздействия оно практически не влияет на существующие колебания. В случае больших частот при увеличении амплитуды воздействия интенсивность шумоиндуцированных колебаний сначала уменьшается до определенного минимального значения, которое тем меньше, чем больше частота воздействия, а затем начинает увеличиваться. С увеличением амплитуды гармонического воздействия интенсивность шумоиндуцированных колебаний уменьшается, при этом возрастает длительность участков ламинарных фаз.

В цитированных статьях приведены зависимости, иллюстрирующие влияние частоты и амплитуды гармонического возбуждения оси подвеса маятника на дисперсию угла его поворота при низкочастотном и высокочастотном воздействии. Эти зависимости удивительно похожи на соответствующие зависимости, полученные при низкочастотном и высокочастотном акустическом возбуждении турбулентных струй и слоев смешения с разными частотами и амплитудами.

Литература

(см. скан)

(см. скан)

(см. скан)

1
Оглавление
email@scask.ru