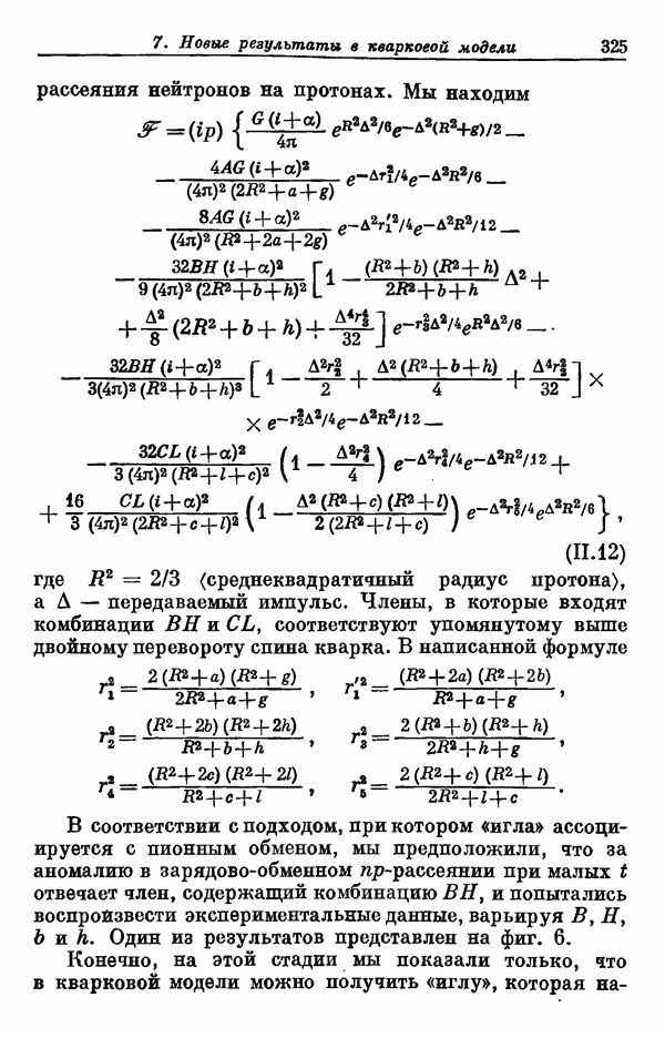
Главная > Теория кварков (Коккедэ Я.)
НАПИШУ ВСЁ ЧТО ЗАДАЛИ
СЕКРЕТНЫЙ БОТ В ТЕЛЕГЕ
<< Предыдущий параграф Следующий параграф >>
Пред.
След.
Макеты страниц

Распознанный текст, спецсимволы и формулы могут содержать ошибки, поэтому с корректным вариантом рекомендуем ознакомиться на отсканированных изображениях учебника выше

Также, советуем воспользоваться поиском по сайту, мы уверены, что вы сможете найти больше информации по нужной Вам тематике

ДЛЯ СТУДЕНТОВ И ШКОЛЬНИКОВ ЕСТЬ
ZADANIA.TO

6. КВАРКОВАЯ СУБСТРУКТУРА МЕЗОННЫХ И БАРИОННЫХ СОСТОЯНИЙ

Р. Далиц

I. Введение

За последние несколько лет было установлено огромное многообразие резонансных состояний как в системе мезонов, так и в мезон-барионных системах. Мы теперь изучаем подробности спектроскопии адронных систем, т. е. состояний элементарных частиц, которые образуются в результате существования сильных взаимодействий, по меньшей мере столь же сильных, как взаимодействия в ядерной физике. В большинстве своем эти адронные состояния нестабильны относительно распада на более легкие ранее установленные адроны — полустабильные псевдоскалярные мезоны и барионы. Было открыто, что большая часть этого многообразия наблюдаемых адронных состояний обусловлена появлением этих состояний в виде унитарных мультиплетов, т. е. групп состояний с одним и тем же значением спина и четности, но с квантовыми числами изоспина I и гиперзаряда Y, определяемыми типичными унитарными схемами. Такой результат показывает, что хорошим первым приближением является приближение, в котором сильные взаимодействия, приводящие к указанному существованию адронных состояний, удовлетворяют -симметрии. Однако даже в этом случае еще существует большое многообразие унитарных мультиплетов, известных для адронных состояний; известны по крайней мере десять барионных мультиплетов и приблизительно столько же мезонных мультиплетов. По аналогии с имеющимся опытом спектроскопии в случаях атомов, молекул и ядер (каждый из которых изучался в свою эпоху развития науки о дискретных состояниях материи) не представляется неестественным предположение о существовании некоторой субструктуры, лежащей в основе наблюдавшихся мезонных и барионных состояний. Это является наиболее подходящим объяснением изучаемого сейчас огромного многообразия наблюдавшихся адронных состояний.

В качестве правдоподобного обобщения установленной -симметрии Гюрши и Радикати выдвинули в 1964 г. предположение, что сильные ядерные взаимодействия могут подчиняться -симметрии. Их предположение основывалось прежде всего на аналогии с соотношением между вигнеровской спин-изоспиновой -симметрией, давно известной в области ядерной физики низких энергий, и изоспиновой -симметрией, известной там еще раньше. Эта -симметрия быстро привела к многочисленным замечательным успехам в объяснении экспериментальных данных о свойствах систем элементарных частиц. Эта симметрия означала, что адронные состояния должны образовывать -супермультиплеты, состоящие из -мультиплетов, соответствующих различным, но связанным между собой значениям спина и четности. Данные о низших адронных состояниях согласовались с этим предсказанием. Было видно, например, что октет барионов и декуплет барионов образуют один супермультиплет -симметрии, а это подразумевает определенные соотношения между тонкими свойствами указанных октета и декуплета. Было найдено, что эти соотношения довольно хорошо согласуются с экспериментальными данными,

Однако вопрос о точной интерпретации -симметрии оставался совершенно не ясным. Эта симметрия была основана на объединении нерелятивистского спинового пространства и пространства, связанного с -симметрией. В то же время ясно, что наблюдавшиеся резонансные состояния, вообще говоря, распадаются на частицы, движущиеся релятивистски. Во всяком случае, если бы эта -симметрия имела глубокий смысл, то она, конечно, имела бы лоренц-инвариантное содержание. Поэтому оказалось, что -симметрию необходимо рассматривать как нерелятивистский аспект некоторой более общей релятивистской симметрии, объединяющей -симметрию и группу Лоренца. Было затрачено много сил на попытки открыть это релятивистское обобщение группы симметрии При этом обнаружились многие серьезные трудности принципиального порядка (см. статью [1], где дается обзор этих трудностей). В настоящее время является почти общепризнанным,

что надежда на всеобъемлющий принцип релятивистской симметрии должна быть оставлена.

Многие исследователи восприняли этот результат как указание на то, что -симметрия также должна быть отброшена, поскольку отсутствие релятивистского обобщения подразумевает несовместимость с лоренц-инвариантностью. Этот вывод определенно оказался бы неизбежным, если бы свидетельства в пользу -симметрии интерпретировались как указания на существование некоторой точной группы симметрии, которой подчиняется лагранжиан взаимодействия адронных состояний. Однако существует другая возможная интерпретация, согласующаяся с современными экспериментальными данными. Если наблюдавшиеся адронные состояния обладают субструктурой, основанной на объектах, соответствующих -триплету, и если эти объекты движутся нерелятивистски внутри рассматриваемых состояний, то вполне возможно, что найденное распределение указанных состояний по -супермультиплетам является приближенным следствием динамики, соответствующей этим состояниям. Если силы, действующие между этими триплетными субчастицами, таковы, что приводят к нерелятивистским внутренним движениям (при рассмотрении в системе покоя соответствующего адронного состояния), то вполне возможно, что эти силы могут зависеть от спина и унитарного спина, причем эта зависимость приближенно согласуется с -симметрией.

Мы должны сразу подчеркнуть, что эта гипотеза полностью согласуется с лоренц-инвариантностью, поскольку здесь речь идет только о физической ситуации, рассматриваемой в одной конкретной лоренцевской системе — в системе покоя связанного состояния. В этой ситуации низшие адронные состояния будут соответствовать определенным -супермультиплетам. Электромагнитные переходы между ними (и, возможно, даже переходы за счет сильного взаимодействия при подходящих условиях, раздел IV) будут соответствовать предсказаниям -симметрии. С другой стороны, при таком описании не требуется, чтобы эта явная -симметрия имела какой-либо общий характер; не требуется также и того, чтобы существовало какое-либо релятивистское описание,

справедливое в общем случае. Например, в случае сильно возбужденных адронных состояний внутренние движения должны быть релятивистскими, а силы, действующие между триплетными субчастицами, должны все более и более отклоняться от их нерелятивистского вида, приводящего к -симметрии. Следовательно, высшие адронные состояния не должны укладываться в схемы, соответствующие -супермультиплетам. Поэтому очевидные успехи -симметрии должны быть в своей основе динамическими, а не теоретико-групповыми. В общем случае тогда должна остаться только группа симметрии Теперь возникает важный вопрос: каким же образом силы, действующие между триплетными субчастицами, приближенно удовлетворяют требованиям -симметрии в нерелятивистском пределе? В настоящее время мы, естественно, не знаем полного ответа на этот вопрос. Однако для иллюстрации мы коротко упомянем ниже одну модель, которая может привести к рассмотренной ситуации, хотя отдельные черты этой модели оказываются несовместимыми с уточненной динамикой, которая требуется для описания наблюдаемых низших состояний.

1
Оглавление
email@scask.ru