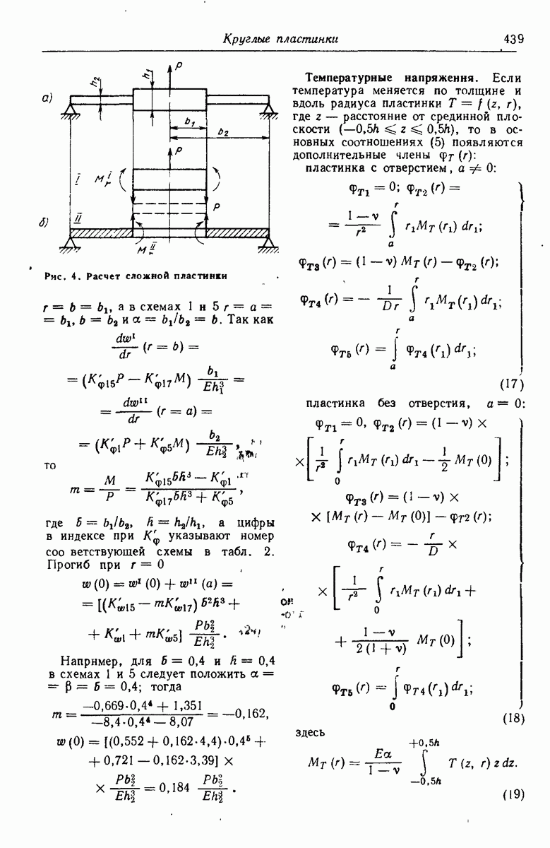
РЕЗИНОВЫЕ УПРУГИЕ ЭЛЕМЕНТЫ
Резиновые упругие элементы применяют в конструкциях упругих муфт (рис. 17), вибро- и шумоизолирующих опорах (рис. 18) и других устройствах для получения больших перемещений. Такие элементы обычно передают нагрузку через металлические детали (пластины и трубки и т. п.).
Преимущества резиновых упругих элементов: электроизолирующая способность; высокая демпфирующая способность; способность аккумулировать большее количество энергии на единицу массы по сравнению с пружинной сталью
раз).
В табл. 5 приведены расчетные схемы и формулы для приближенного определения напряжений и перемещений для резиновых упругих элементов.
Материал элементов — техническая резина с пределом прочности
модуль сдвига
В последние годы получают распространение пневмоэластичные упругие элементы (рис. 19).
Пример. Рассчитать клапаииые пружины (рис. 20) для карбюраторного двигателя, если известно, что при полном открытии клапана (ход клапана
мм) пружины должны воспринимать усилие
, усилие затяжки
.
Клапанные пружины являются ответственными деталями. Принимаем в качестве материала пружин сталь
и по табл, 2 для пружин класса I находим
. В связи с ограниченными габаритами используем в конструкции две концентрические пружины сжатия.
Принимаем, что первая (наружная
пружина будет воспринимать 63,5% внешней нагрузки, вторая — 36,5%, откуда наибольшие усилия для пружии
Усилия затяжки пружин:
Рис. 17. Конструкции муфт с резиновыми упругими элементами: а - втулочно-пальцевая муфта; б — муфта с упругими оболочками; в — муфта с дисковым элементом

(кликните для просмотра скана)
Рис. 18. Резиновый амортизатор
Рис. 19. ПневмоэластичныЙ амортизатор
Рис. 20. К расчету клапанных пружин
Расчет первой пружины. Назначаем индекс пружины с — 8,7. По формуле (31) вычисляем диаметр проволоки пружины
Принимаем
мм.
Средний диаметр пружины
Податливость одного витка
Необходимое число витков
или, округляя до полувитка, получим
Полное число витков
Длина пружины, сжатой до соприкосновения,
Полная осадка пружины
Шаг витков
Полная длина ненагруженной пружины
Так как
то опасность выпучивания пружины отсутствует.
Расчет второй пружины. Принимаем
По
формуле (31) вычисляем диаметр проволоки
Принимаем
мм.
Средний диаметр пружины
Определяем радиальный зазор между первой и второй пружинами
Обычно зазор в клапанных пружинах
мм.
Уменьшаем индекс, принимая
Тогда средний диаметр пружины
а радиальный зазор
мм. Податливость одного витка
Необходимое число витков при
округляя до полувитка, получим
Полное число витков
Длина пружины, сжатой до соприкосновения,
Так как
, то вторая пружина не достигнет предельной нагрузки. Полная осадка пружины
Шаг витков
Полная длина неиагруженной пружины
Максимальные напряжения в пружиие
Расчет пружин на прочность. Напряжения в поперечных сечениях пружин: минимальные:
максимальные:
Запас прочности по текучести (принимаем
)
Амплитуды переменных напряжений:
Средние напряжения цикла:
Запасы прочности при
Запасы прочности по переменным напряжениям:
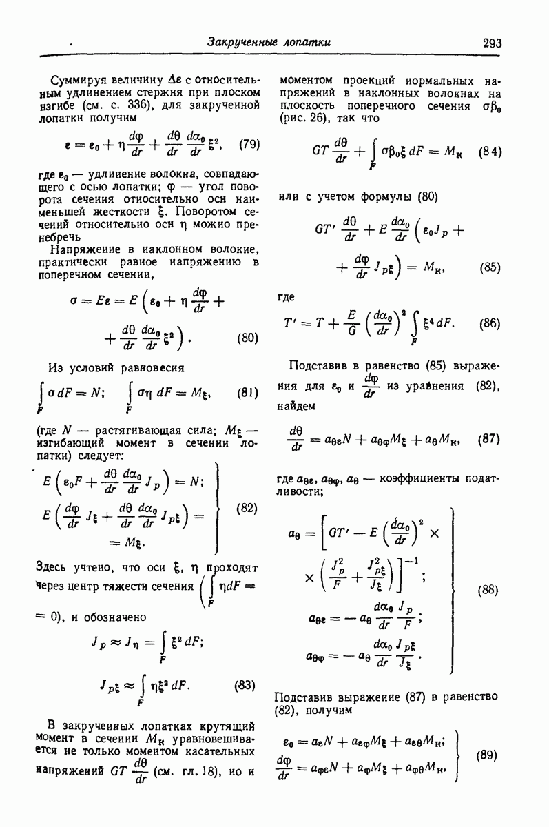
Запасы прочности вполне достаточные.