Главная > Введение в статистическую радиофизику. Часть 1. Случайные процессы
НАПИШУ ВСЁ ЧТО ЗАДАЛИ
СЕКРЕТНЫЙ БОТ В ТЕЛЕГЕ
<< Предыдущий параграф Следующий параграф >>
Пред.
След.
Макеты страниц

Распознанный текст, спецсимволы и формулы могут содержать ошибки, поэтому с корректным вариантом рекомендуем ознакомиться на отсканированных изображениях учебника выше

Также, советуем воспользоваться поиском по сайту, мы уверены, что вы сможете найти больше информации по нужной Вам тематике

ДЛЯ СТУДЕНТОВ И ШКОЛЬНИКОВ ЕСТЬ
ZADANIA.TO

§ 32. Задача о первом достижении границ

Эта задача может быть поставлена и не для марковских процессов, но только для них удается получить ее точное решение в общем виде, что и оправдывает включение этого параграфа в главу о марковских процессах. Даже в частном случае стационаряого нормального процесса Для которого, казалось бы, ответ на любой вопрос должен каким-то образом выражаться через функцию корреляции в задаче о достижении границ пока получены лишь некоторые частные результаты [21, 22].

Задача ставится следующим образом. Пусть случайный процесс принял в начальный момент значение Какова статистика (функции распределения, моменты) случайного времени t первого достижения либо заданной одной границы или либо достижения одной из них, если заданы обе? Речь идет, таким образом, о том, чтобы, располагая статистикой «по оси (распределениями значений самой функции), получить статистику «по оси t». Задачи такого типа принадлежат к числу наиболее интересных в теории случайных процессов. К ним относятся и вопросы, касающиеся статистики пересечений заданного уровня или «выбросов» случайных процессов [23].

Теория достижения границ марковским процессом впервые была развита Л. С. Понтрягиным, А. А. Андроновым и

А. А. Виттом [24]. Решение этой задачи находит разнообразные применения. В случае брауновского движения примером может служить опыт Бриллюэна, в котором брауновская частица прилипает к стенке сосуда, т. е. речь идет именно о первом достижении частицей поглощающей границы [7]. Из радиофизических задач можно указать на вопрос о времени достижения сепаратрисы при флуктуациях в нелинейных динамических системах, в частности о времени перехода через потенциальный барьер в консервативных системах и о времени самопроизвольной смены автоколебательных режимов или срыва автоколебаний в автогенераторах. Сюда же относится задача о срыве слежения в авторегулируемых следящих системах и др.

Следуя [24], мы рассмотрим одномерный марковский процесс, причем однородный по времени, т. е. с плотностью вероятности перехода и с не зависящими от t коэффициентами в уравнении Эйнштейна — Фоккера. Плотность вероятности перехода v и одномерная плотность вероятности состояния (если она существует) определяют всю статистику марковского процесса «по Но нас будет интересовать другое распределение, отличное от а именно вероятность времени t достижения одной из границ области изменения

Это интегральная вероятность (так что ), плотность же вероятности равна и, следовательно, среднее время достижение и или b равно

Нетрудно установить, каковы начальные и граничные условия для . Так как в начальный момент b, начальное условие будет

Но если при либо либо , т. е. граница уже достигнута, то для всякого будет справедливо граничное

условие

Теперь надо составить уравнение для задача, которая полностью решается именно для марковского процесса при помощи вероятности перехода. Нам нужна при этом не вероятность перехода из точки х при в любой интервал на оси х, а вероятность того же события, но с у, лежащим внутри интервала . Конечно, начальные условия для и одинаковы:

(поэтому очень малых t, когда и еще очень острые функции у, они практически совпадают). Но при любых очевидно, К» и условия нормировки для и тоже различны. В то время как

для v имеем

Действительно, пусть — вероятность прихода к моменту времени t в какую-либо точку интервала с достижениями (касаниями, пересечениями) границ по дороге. Полная система возможных событий отвечает так что Но левая часть (32.4) есть [вероятность прихода куда-либо в без касания границ], a -вероятность того же конечного результата, но с достижением границ по крайней мере один раз, т. е.

из чего и следует (32.4).

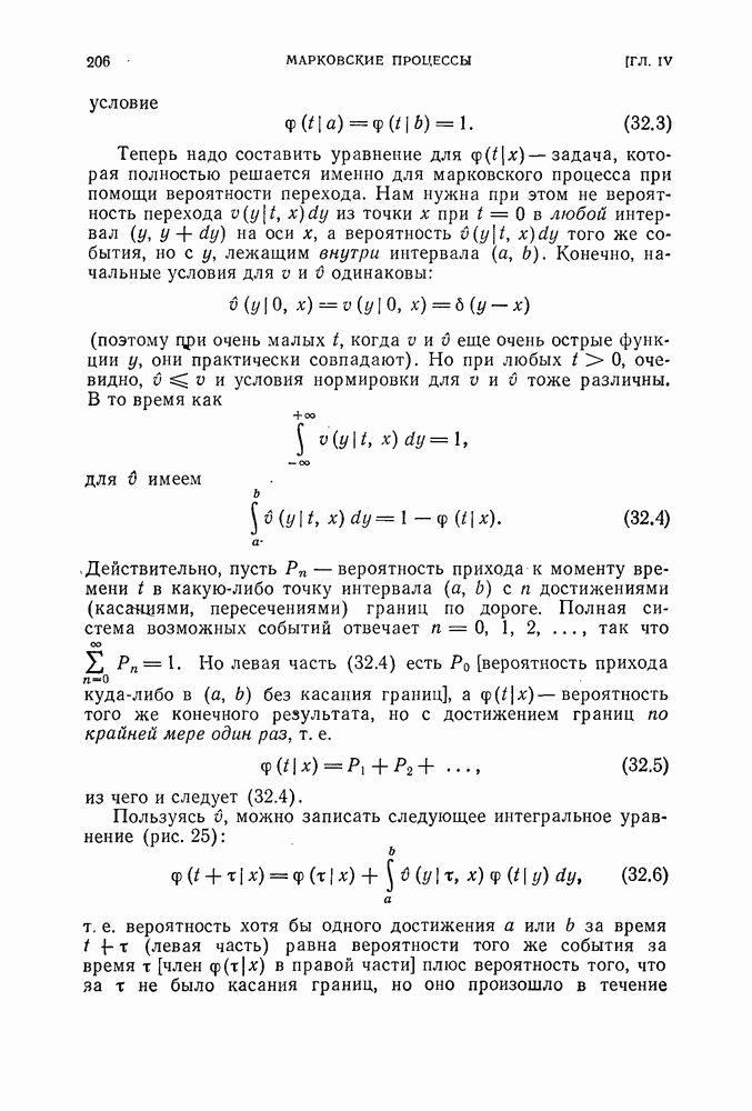
Пользуясь , можно записать следующее интегральное уравнение (рис. 25):

т. е. вероятность хотя бы одного достижения а или b за время (левая часть) равна вероятности того же события за время [член в правой части] плюс вероятность того, что за не было касания границ, но оно произошло в течение

остального времени t. Именно этот смысл имеет второй член в правой части. Действительно, вероятность перехода за время в у без касания границ, а - вероятность хотя бы одного касания за время t, так что — это вероятность хотя бы одного касания в интервале времени с прохождением через в момент т. Интеграл по всем у от а до b и дает полную вероятность того, что за касания границ не было, но оно имело место в течение остальной части t промежутка времени Заметим, что, согласно (32.6), раз ность

есть вероятность достижения границы (хотя бы один раз) в интервале после «пустого» интервала (0, t). Заменяя на мы получаем, что представляет собой с точностью до первого порядка относительно вероятность первого достижения границы в интервале

Рис. 25.

Предельный переход в уравнении (32.6) вполне строго приводит к (сопряженному) уравнению Эйнштейна — Фоккера для Но тот же результат можно получить и при некотором физически очевидном упрощении исходного интегрального уравнения (32.6), что и было сделано в работе [24]. Поскольку мало (а в дальнейшем ), можно сразу же пренебречь в (32.6) членом ), отождествить острые функции и и у и раздвинуть пределы интеграла т. е. исходить из уравнения

Разлагая по степеням у — х:

подставляя это разложение в (32.7) и деля все уравнение на , получаем (при тех же предположениях, какие были сделаны в § 26 при выводе уравнения Эйнштейна — Фоккера для вероятности

перехода v) уравнение

причем те же, что и ранее. Конечно, этот упрощенный вывод оставляет некоторую неудовлетворенность, но, как сказано, уравнение (32.8) получается и в результате строгого вывода из (32.6).

Можно либо решать уравнение (32.8) с начальными и граничными условиями (32.2) и (32.3), либо перейти к уравнению для характеристической функции:

либо составить обыкновенные дифференциальные уравнения для моментов Сделаем последнее.

Дифференцируя (32.8) по t, умножая результат на и интегрируя по t от 0 до , получаем

- В предположении, что плотность вероятности ограничена в достаточно быстро стремится к нулю на бесконечности, получаем

В частности, при

Очевидно, решения таких уравнений должны быть неотрицательны и должны обращаться в нуль всякий раз, когда начальное состояние х совпадает с одной из границ:

Если же имеется только одна граница, скажем то на ней по-прежнему , а при естественно требовать

Рассмотрим некоторые примеры.

Пусть . Уравнение (32.8) принимает тогда вид

и его решение при условиях (32.2) и (32.3) есть

    (32.14)

Ход в функции от х показан на рис. 26, а для различных значений t.

Рис. 26.

Для среднего времени достижения границы имеем из (32.10) уравнение

решение которого с условиями (32.12) есть

    (32.15)

(рис. 26, б). Наибольшее время отвечает начальному положению посередине между границами и равно времени диффузии (с коэффициентом диффузии ) на половинную длину отрезка

Отодвинем теперь нижнюю границу в . Тогда решение уравнения (32.13) должно удовлетворять условиям

Но именно такое решение получается из (32.14) при

Соответствующая плотность вероятности равна

Она обращается в при но интеграл (32.1) расходится на верхнем пределе, так как с ростом t плотность убывает лишь как , т. е. удельный вес больших времен достижения границы слишком велик. Тем самым, но для всякого мы получаем То же самое следует и из формулы (32.15) при предельном переходе

В общем случае переменных коэффициентов и при наличии только одной границы, (на которой ), если потребовать наиболее медленного роста при удалении х от границы, получаем следующие решения уравнения (32.10):

где

1
Оглавление
email@scask.ru