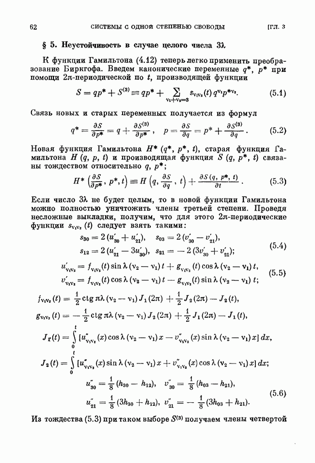
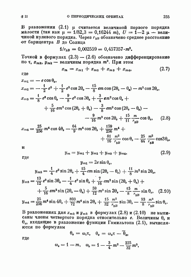
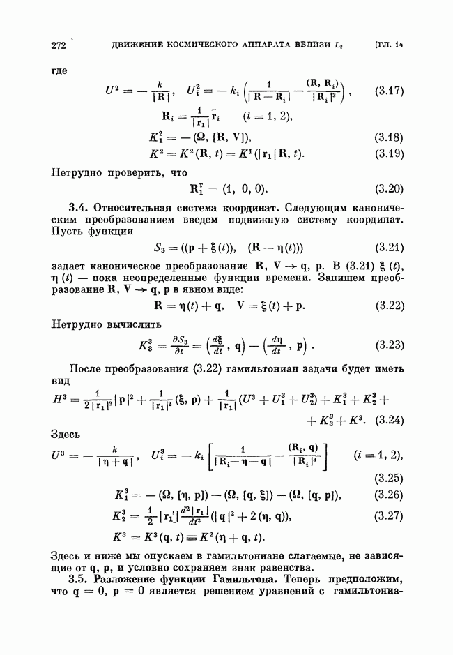
Главная > Точки либраций в небесной механике и космодинамике
НАПИШУ ВСЁ ЧТО ЗАДАЛИ
СЕКРЕТНЫЙ БОТ В ТЕЛЕГЕ
<< Предыдущий параграф Следующий параграф >>
Пред.
След.
Макеты страниц

Распознанный текст, спецсимволы и формулы могут содержать ошибки, поэтому с корректным вариантом рекомендуем ознакомиться на отсканированных изображениях учебника выше

Также, советуем воспользоваться поиском по сайту, мы уверены, что вы сможете найти больше информации по нужной Вам тематике

ДЛЯ СТУДЕНТОВ И ШКОЛЬНИКОВ ЕСТЬ
ZADANIA.TO

§ 2. Формальная устойчивость. Теорема Брюно

В этом параграфе рассмотрим некоторые результаты, полученные при исследовании формальной устойчивости гамильтоновых систем. Определение формальной устойчивости было приведено в § 4 четвертой главы. Понятие формальной устойчивости является очень важным при исследовании устойчивости на конечном (но очень большом) интервале времени. Наличие формальной устойчивости означает, что неустойчивость по Ляпунову (если она существует) не обнаруживается при учете в разложении функции Гамильтона членов до сколь угодно большого (но конечного) порядка относительно координат и импульсов возмущенного движения.

При наличии формальной устойчивости, если и существуют траектории, далеко уходящие от невозмущенного движения, то движение по ним происходит крайне медленно. Соответствующие оценки получены в работах Зигеля [28], Мозера [158, 159], Глимма [138]. Для решения вопроса об устойчивости в большинстве

физических задач, описываемых гамильтоновыми дифференциальными уравнениями, формальной устойчивости вполне достаточно. Следует заметить также, что из устойчивости по Ляпунову, очевидно, следует формальная устойчивость. Обратное утверждение не доказано, но, во всяком случае, пока не известно ни одного примера гамильтоновой системы, которая бы была формальна устойчива и в то же время была неустойчива по Ляпунову.

Приведем некоторые условия формальной устойчивости. Пусть рассматривается гамильтонова система

где аналитическая функция относительно и -перио-дическая по Разложение в степенной ряд начинается с квадратичных членов. Если мультипликаторы линеаризованной системы (2.1) различны и имеют модули, равные единице, то система (2.1) устойчива в первом приближении, а функция Гамильтона в подходящим образом выбранных координатах (см. § 5 главы 2) может быть записана в виде

где вещественные числа, однородные многочлены степени относительно зависящие -периодическим образом от времени. В статье [157] Мозер показал, что если

то нелинейная система (2.1) формально устойчива.

Условие (2.3) является довольно слабым, так как в нем не используется информация о нелинейных членах в уравнениях (2.1), а ограничения на величины весьма сильные. Но пусть теперь величины таковы, что

Тогда существует каноническая замена переменных задаваемая преобразованием Биркгофа, такая, что новый мильтониан есть

В работе [158] Мозер для случая доказал формальную устойчивость, если в Для произвольного Глимм [138] доказал формальную устойчивость при условии, что квадратичная форма является знакоопределенной. В статье Брюно [13] доказана следующая теорема, которая содержит все указанные выше результаты.

Теорема. Если у системы (2.1) выполнено условие (2.4) и в записи (2.5):

при векторе и принадлежащем пересечению квадранта и линейной оболочки множества, образованного всеми целочисленными векторами с компонентами, являющимися решениями уравнения

то положение равновесия системы (2.1) формально устойчиво.

Если в системе (2.1) не зависит от то формулировка зультатов отличается от приведенной выше тем, что в условиях (2.3), (2.4) и (2.7) вместо надо написать соответственно.

Приведем доказательство теоремы Брюно. Для удобства доказательства перейдем, как и в [13], к комплексно сопряженным переменным

Система (2.1) перейдет при этом в систему

которая является канонической с гамильтонианом

Разложение гамильтониана (2.9) запишем в такой форме:

где векторы с целочисленными неотрицательными компонентами, кроме того,

Имеет место следующее утверждение 1157].

Лемма. Существует формальная каноническая замена переменных такая, что (2.8) переходит в

где вещественные величины, а формальный степенной ряд

содержит только такие члены, для которых

где целое число и, следовательно, вектор 1 — к является решением уравнения (2.7). Коэффициенты не зависят от

Эта лемма является обобщением на резонансный случай результата, получаемого при помощи преобразования Биркгофа, приведенного в главе 3 в случае отсутствия резонансных соотношений между величинами На доказательстве леммы мы не останавливаемся, так как оно почти дословно повторяет соответствующие рассмотрения главы 3.

Пусть Система уравнений (2.9) имеет два типа формальных интегралов:

1) где векторы ортогональны к действительной линейной оболочке векторов являющихся решениями уравнения (2.7);

Действительно,

Так как вектор 1 — к является решением уравнения (2.7), то все коэффициенты в правой части (2.13) равны нулю.

Далее очевидно, что

Из формул (2.13) и (2.14) получаем

Из (2.12) следует, что все коэффициенты в последнем разложении равны нулю.

Таким образом, существование формальных интегралов 1),

2) доказано. Пусть базис линейного множества векторов Если существует линейно независимых резонансных соотношений (2.3), то Сумма

является формальным интегралом, как полином от формальных интегралов. Покажем, что из условия (2.6) следует положительная определенность формы

Здесь в правой части все слагаемые неотрицательны и первая сумма обращается в нуль только для тех векторов которые принадлежат пересечению квадранта действительной линейной оболочки множества, образованного целочисленными векторами являющимися решениями уравнения (2.7). Но для этих по условию (2.6)

Итак, формальный определенно-положительный интеграл, и, следовательно, теорема Брюно доказана.

1
Оглавление
email@scask.ru