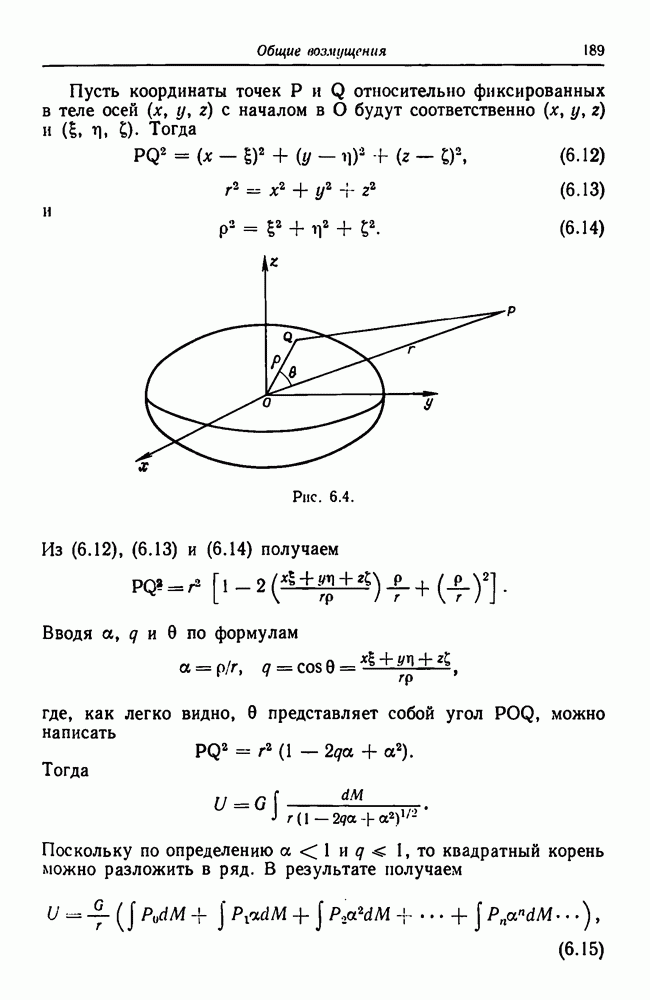
Главная > Движение по орбитам
НАПИШУ ВСЁ ЧТО ЗАДАЛИ
СЕКРЕТНЫЙ БОТ В ТЕЛЕГЕ
<< Предыдущий параграф Следующий параграф >>
Пред.
След.
Макеты страниц

Распознанный текст, спецсимволы и формулы могут содержать ошибки, поэтому с корректным вариантом рекомендуем ознакомиться на отсканированных изображениях учебника выше

Также, советуем воспользоваться поиском по сайту, мы уверены, что вы сможете найти больше информации по нужной Вам тематике

ДЛЯ СТУДЕНТОВ И ШКОЛЬНИКОВ ЕСТЬ
ZADANIA.TO

14.2. Визуально-двойные звезды

Угловое разделение компонентов визуально-двойных звезд может быть измерено либо визуально (с помощью поворачивающегося микрометра на окуляре), либо их положения регистрируются с помощью фотографии для последующего измерения в лаборатории. Путем регулярных наблюдений можно определить видимые орбиты этих звезд. Типичные периоды обращения лежат в пределах от немногих десятков до сотен лет. Некоторые двойные звезды не измерялись в течение времени, достаточного для завершения одного оборота в системе, так что значение периода обращения содержит значительную неточность.

Обычно в качестве начала системы координат выбирается одна из звезд. Удобнее выбрать более яркую; она именуется главной звездой, вторая — спутником. При наблюдении в выбранный момент t измеряется угловое расстояние спутника от главной звезды и позиционный угол спутника; определяется как угол между северным полюсом мира и прямой, проходящей через главную звезду и спутник; положительно в направлении возрастания прямых восхождений (рис. 14.2).

Эллиптическая орбита, которая получается построением графика положений звезды но данным наблюдений, называется видимой орбитой.

Плоскость истинной орбиты в общем случае наклонена относительно плоскости, перпендикулярной линии зрения. То, что наблюдатель фиксирует в качестве видимой орбиты, — это проекция истинной орбиты на указанную плоскость. Поэтому, если он хочет узнать все параметры орбиты двойной звезды, ему необходимо определить наклон орбиты относительно плоскости, перпендикулярной линии зрения.

Рис. 14.2.

Для этого существует несколько стандартных математических приемов.

Если произвольный эллипс, лежащий в какой-либо плоскости, спроектировать на другую плоскость, то его проекцией снова будет эллипс, но с иными характеристиками. Более того, фокус исходного эллипса при проекции не занимает положения фокуса эллипса-проекции. Следовательно, при исследовании видимой эллиптической орбиты двойной звезды в общем случае обнаруживается, что главная звезда не находится в ее фокусе. Изменение перспективы, необходимое для того, чтобы главная звезда переместилась в фокус, можно определить посредством одного из стандартных приемов при задании наклонения истинной орбиты по отношению к небесной сфере. После определения этого угла легко получить все параметры истинной орбиты. Следует отметить, однако, что знак угла наклонения остается неопределенным: положительный или отрицательный наклон одинаковой абсолютной величины приводит к идентичным видимым орбитам. Если

можно измерить лучевую скорость обращающейся по орбите звезды, то указанная двузначность ликвидируется. Мы определим элементы орбиты двойной звезды в следующем разделе.

Непосредственно можно сразу использовать период обращения Т (который выводится прямо из видимой орбиты) и величину большой оси а. Если расстояние двойной звезды известно, то возможно определить сумму масс звезд следующим образом.

Пусть — массы главной звезды и спутника; тогда можно выразить период обращения спутника вокруг главной звезды:

где а — большая полуось орбитального эллипса, универсальная постоянная тяготения. Соответствующая формула для обращения Земли вокруг Солнца будет

Если выразить период обращения в годах и учесть, что , то

откуда

Подставляя это выражение в (14.1), получаем

так что

Полагая массу Солнца равной 1, получаем из предыдущего выражения

Таким образом, если определен период вращения и известен размер орбиты, то можно найти сумму масс обеих звезд в единицах массы Солнца.

Пусть d — расстояние двойной звезды; тогда видимый угловой размер а большой полуоси орбиты определяется как

и, поскольку угол а весьма мал, можно записать

Теперь введем параллакс звезд Р (разд. 3.7) при помощи выражения

Так как Р тоже весьма малый угол, можно снова записать

Отсюда

Рис. 14.3.

Подставляя это выражение (в 14.2), имеем

где а и Р обычно выражаются в секундах дуги.

В том случае, когда можно измерить положения звезд относительно центра их масс, оказывается возможным определить отношение масс компонентов. Этот вид измерений требует весьма точного знания положений обеих звезд относительно далеких звезд фона за достаточно длительное время наблюдений. Продолжительные наблюдения одиночной звезды в течение многих лет показывают, что она имеет собственное движение относительно звезд фона, причем ее путь является отрезком дуги большого круга на небесной сфере. Однако если изучаемая звезда — двойная, то по дуге большого круга перемещается центр масс системы. Две звезды, образующие систему, движутся по кривым со слабыми колебаниями относительно центра масс (рис. 14.3). На

основе измерений положений обеих звезд можно определить траекторию центра масс, а затем и индивидуальные орбиты компонентов.

Пусть — угловые расстояния главной звезды и спутника от видимого положения центра масс системы. Тогда

откуда

Если наблюдения дают нам все параметры, которые должны быть включены в оба выражения (14.6) и (14.7), тогда возможно вычисление масс индивидуальных звезд. Типичные массы, полученные путем изучения визуальных двойных звезд, лежат в пределах от 0,1 до 20 масс Солнца.

1
Оглавление
email@scask.ru