Главная > Теория передачи дискретных сообщений
НАПИШУ ВСЁ ЧТО ЗАДАЛИ
СЕКРЕТНЫЙ БОТ В ТЕЛЕГЕ
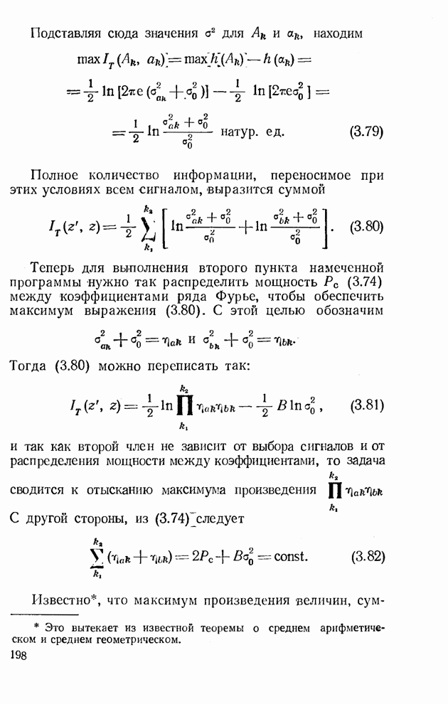
<< Предыдущий параграф Следующий параграф >>
Пред.
След.
Макеты страниц

Распознанный текст, спецсимволы и формулы могут содержать ошибки, поэтому с корректным вариантом рекомендуем ознакомиться на отсканированных изображениях учебника выше

Также, советуем воспользоваться поиском по сайту, мы уверены, что вы сможете найти больше информации по нужной Вам тематике

ДЛЯ СТУДЕНТОВ И ШКОЛЬНИКОВ ЕСТЬ
ZADANIA.TO

11.6. Адаптивные методы кодирования и декодирования

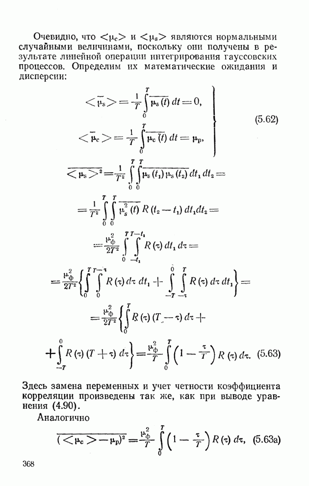
Наличие обратной связи позволяет приспособить методы передачи и приема сигналов к состоянию канала. Системы связи, в которых код остается неизменным, но метод декодирования и использования обратной связи изменяется в соответствии с состоянием канала, называют системами с адаптивным декодированием. Те же системы, в которых при изменении состояния канала меняется и метод кодирования (в узком или в широком смысле), называются системами с адаптивным кодированием.

Для пояснения возможностей адаптивного декодирования приведем пример. Пусть сообщение закодировано кодом с минимальным хемминговым расстоянием , в частности групповым кодом (7, 4). В приемном устройстве наряду с обычной поэлементной решающей схемой имеется демодулятор с нулевой зоной, образованной двумя симметричными порогами, выбранными в соответствии с (11.21), а также счетчик, подсчитывающий число попаданий результата демодуляции в нулевую зону за определенное время. В хорошем состоянии канала такое попадание маловероятно, с ухудшением состояния эта вероятность возрастает. Таким образом, показания счетчика позволяют судить о состоянии канала.

Если попаданий демодулированного сигнала в нулевую зону не отмечается, то принятая кодовая комбинация декодируется обычным образом, причем может быть исправлена одиночная ошибка. При 1-2 попаданиях на протяжении кодовой комбинации соответствующие символы отбрасываются и декодирование производится по оставшимся «наиболее надежным» символам (см. § 10.6). Если число попаданий в нулевую зону достигает 3-4, то код используется только для обнаружения ошибок. Другими словами, кодовая комбинация декодируется только при условии, что она является разрешенной, в противном случае посылается переспрос по обратному каналу. Наконец, если в нулевую зону попало больше чем 4 значения демодулированного сигнала, то декодирования даже разрешенной комбинации не производится (поскольку в плохом состоянии канала велика вероятность необнаруженной ошибки) и по обратному каналу посылается переспрос.

При надлежащем выборе порогов такая система может обеспечить весьма высокую верность. В то же время средняя скорость передачи информации получается выше, чем в обычной системе с переспросом или с информационной обратной связью, поскольку в удовлетворительных состояниях канала ошибки исправляются без переспроса и повторения. К тому же в обычной системе с переспросом, а тем более в системе с исправлениями ошибок, для получения такой же верности пришлось бы применить значительно более сложный код. Более подробное обсуждение таких методов, а также описание других способов адаптивного декодирования, можно найти в работе [23].

Дополнительные возможности для каналов с медленно меняющимися параметрами открывают методы адаптивного кодирования. В хорошем состоянии канала используется простой код с малой избыточностью, с ухудшением же состояния переходят к более сложному коду с большей избыточностью, замедляя скорость передачи информации, но поддерживая верность на заданном высоком уровне. О состоянии канала можно судить по специальным сигналам, посылаемым по обратному каналу, либо, проще, подсчитывая частоту прихода сигналов переспроса.

В уплотненных каналах адаптивное кодирование может осуществляться путем изменения кратности уплотнения, что нетрудно осуществить при источниках с управляемой скоростью.

Теория адаптивного кодирования фактически еще не разработана, и поэтому нам приходится ограничиться высказанными здесь общими соображениями.

 

1
Оглавление
email@scask.ru