Главная > Группы петель
НАПИШУ ВСЁ ЧТО ЗАДАЛИ
СЕКРЕТНЫЙ БОТ В ТЕЛЕГЕ
<< Предыдущий параграф Следующий параграф >>
Пред.
След.
Макеты страниц

Распознанный текст, спецсимволы и формулы могут содержать ошибки, поэтому с корректным вариантом рекомендуем ознакомиться на отсканированных изображениях учебника выше

Также, советуем воспользоваться поиском по сайту, мы уверены, что вы сможете найти больше информации по нужной Вам тематике

ДЛЯ СТУДЕНТОВ И ШКОЛЬНИКОВ ЕСТЬ
ZADANIA.TO

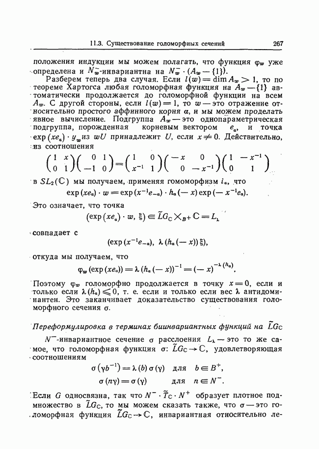
11.3. Существование голоморфных сечений

В этом разделе мы докажем

Предложение (11.3.1). Линейное расслоение на У обладает ненулевыми голоморфными сечениями, если и только если вес к антидоминантен.

Напомним, что А, антидоминантен, если для всех положительных кокорней

Необходимость условия антидоминантности устанавливается очень легко. Для любого положительного корня существует гомоморфизм (см. разд, 5.2), ограничение которого на диагональные матрицы в жокорень (В этом обсуждении мы будем рассматривать и как гомоморфизм и как элемент из Аналогично — это как гомоморфизм так и элемент из Композиция отождествляется с целым числом Положительность а влечет за

собой включение где совокупность верхних треугольных матриц из Таким образом, индуцирует голоморфное отображение из сферы Римана в

и обратный образ на линейное расслоение, ассоциированное с характером тора в Это линейное расслоение обладает ненулевыми голоморфными сечениями, если только если целое число к меньше или равно 0. С другой стороны, если обладает ненулевыми голоморфными сечениями, то по однородности обладает голоморфным сечением, не обращающимся в нуль в отмеченной точке. Отмеченная точка принадлежит поэтому имеет ненулевые сечения и

Обратно, мы докажем, что если — антидоминантный то у расслоения есть сечение инвариантное относительно и равное 1 в отмеченной точке. Мы напомним (см.. разд. 8.7), что орбита отмеченной точки относительно действия образует открытое плотное подмножество в связной компоненте этой отмеченной точки в У и что У покрывается сдвигами множества с помощью элементов аффинной группы Вейля (Мы предполагаем, что для каждого элемента выбран представитель Действие определяетг голоморфную тривиализацию относительно которой сечение это постоянная функция Аналогично это орбита точки под действием и действие последней группы определяет тривиализацию расслоения В терминах этих тривиализаций сечение расслоения это согласованный набор голоморфных функций

Далее (см. разд. 8.7),

где Если сечение -инвариантно, то инвариантно относительно левого действия и поэтому фактически является функцией на конечномерной группе размерность которой равна коразмерности страта многообразия , соответствующего т. е. числу отрицательных корней, которые становятся положительными при действии Мы построим функции индукцией по начиная с

Единственный элемент для которого это единица. Из разд. 8.7 мы знаем, что пересечение с объединением при это и в качестве

положения индукции мы можем полагать, что функция уже определена и -инвариантна на

Разберем теперь два случая. Если то по теореме Хартогса любая голоморфная функция на автоматически продолжается до голоморфной функции на всем С другой стороны, если то это отражение относительно простого аффинного корня а, и мы можем проделать явное вычисление. Подгруппа это однопараметрическая подгруппа, порожденная Корневым вектором и точка принадлежит если Действительно, из соотношения

мы получаем, применяя гомоморфизм что

Это означает, что точка

совпадает с

откуда мы получаем, что

Поэтому голоморфно продолжается в точку если и только если т. е. если и только если вес к антидоминантен. Это заканчивает доказательство существования голоморфного сечения .

Переформулировка в терминах биинвариантных функций на -инвариантное сечение о расслоения это то же самое, что голоморфная функция удовлетворяющая соотношениям

Если G односвязна, так что образует плотное подмножество в то мы можем сказать также, что а — это голоморфная функция инвариантная относительно

левого действия и правого действия ограничение которой на совпадает с k. Заметим, что это «вакуумное среднее значение» в унитарном представлении группы соответствующем к, т. е.

где по существу единственный -инвариантный вектор в этом представлении. Стоит еще раз сформулировать то, что мы. уже доказали, в терминах алгебры таких -инвариантных функций.

Точнее, мы определим как градуированную алгебру. группы действует на коммутируя с левым и правым умножениями, а потому действует на -инвариантных: функциях. Пусть обозначает подпространство инвариантных голоморфных функций на на котором не действует как пусть Тогда это плотная подалгебра в алгебре всех -инвариантных голоморфных функций. Мы можем теперь сформулировать

Предложение (11.3.3). Если G односвязна, то

(i) любой доминантный вес к: единственным образом: продолжается до голоморфной функции образуют базис алгебры как векторного пространства.

Этот результат в точности совпадает со своим конечномерным аналогом. Рассмотрим, например, группу Если как обычно, обозначают группы строго верхних и нижних треугольных матриц, то на есть базисных -инвариантных функций Для имеем: где главная -подматрица в А, т. е. матричный элемент базисного неприводимого представления в Полиномиальная алгебра плотна в алгебре -инвариантных голоморфных функций на очевидно, как векторное пространство обладает базисом, занумерованным положительными весами.

Случай

В случае базисного представления мы можем записать, голоморфную функцию а более явно, так как это (ср. разд. 6.7) подгруппа в связной компоненте единицы группы и о продолжается на большую группу.

Напомним, что элемент из это класс эквивалентности пар где

а оператор таков, что оператор со следом. Мы можем определить голоморфное сечение полагая

оно обращается в нуль в точности тогда, когда матрица а необратима. Инвариантность этой функции относительно левого действия и правого действия очевидна. Здесь подгруппа в состоящая из элементов вида

определено аналогичным образом. Отсюда следует, что ограничение а на это именно та функция, которая нас интересовала.

1
Оглавление
email@scask.ru