§ 5. ФОРМУЛЫ СУММЫ И РАЗНОСТИ ОДНОИМЕННЫХ ТРИГОНОМЕТРИЧЕСКИХ ФУНКЦИЙ
СПРАВОЧНЫЙ МАТЕРИАЛ
1. Выведем формулу, позволяющую преобразовать сумму
в произведение тригонометрических функций. Положим
и найдем
Решив теперь систему уравнений
относительно
получим Следовательно,
2. Аналогичным образом выводят формулы
3. Для суммы тангенсов имеем:
т. е.
4. Точно так же получаются следующие формулы:
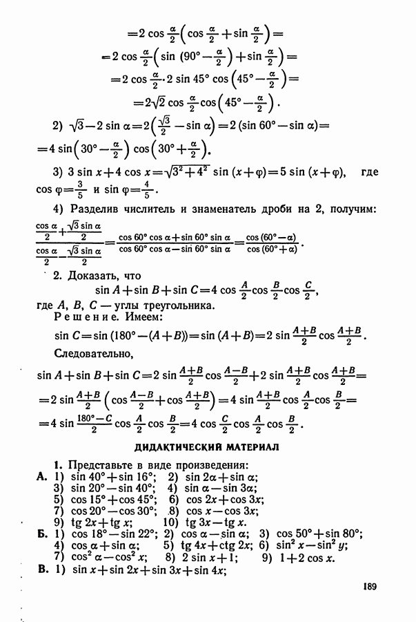
5. Полезно также знать формулу для преобразования в произведение выражения
- любые действительные числа, не равные нулю). Эта формула имеет вид:
где
аргумент
определяется из условий
УПРАЖНЕНИЯ С РЕШЕНИЯМИ
1. Преобразовать в произведение или частное:
Решения.

(кликните для просмотра скана)