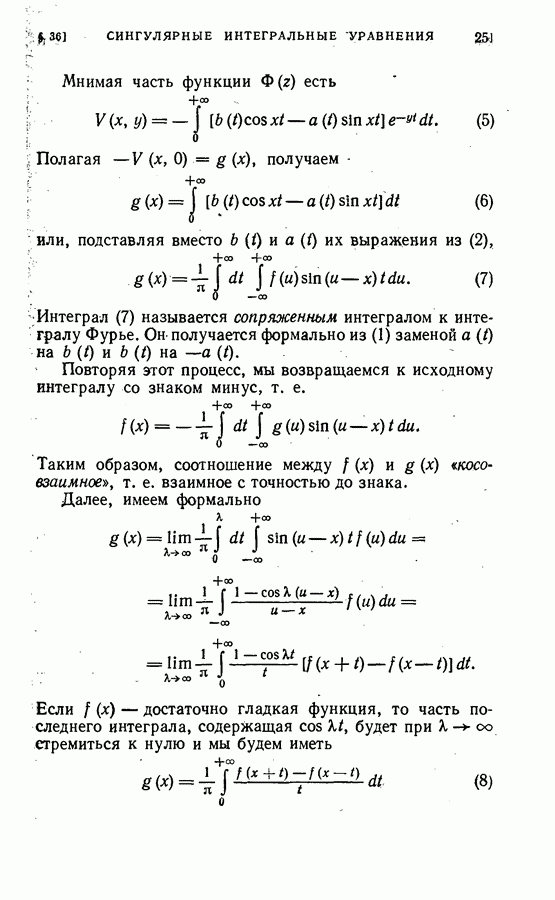
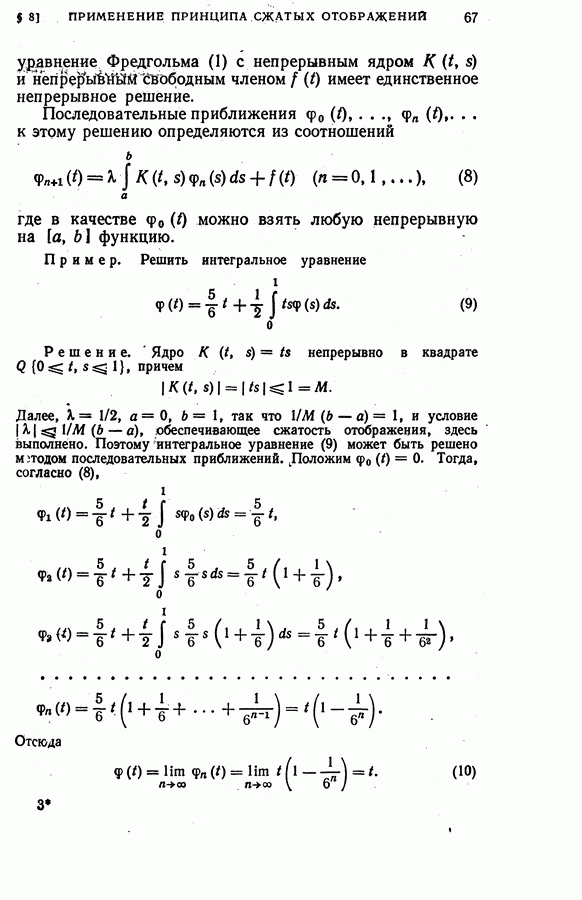
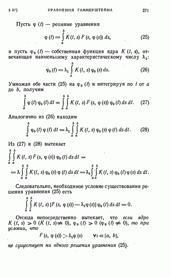
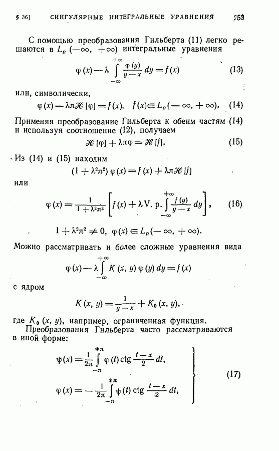
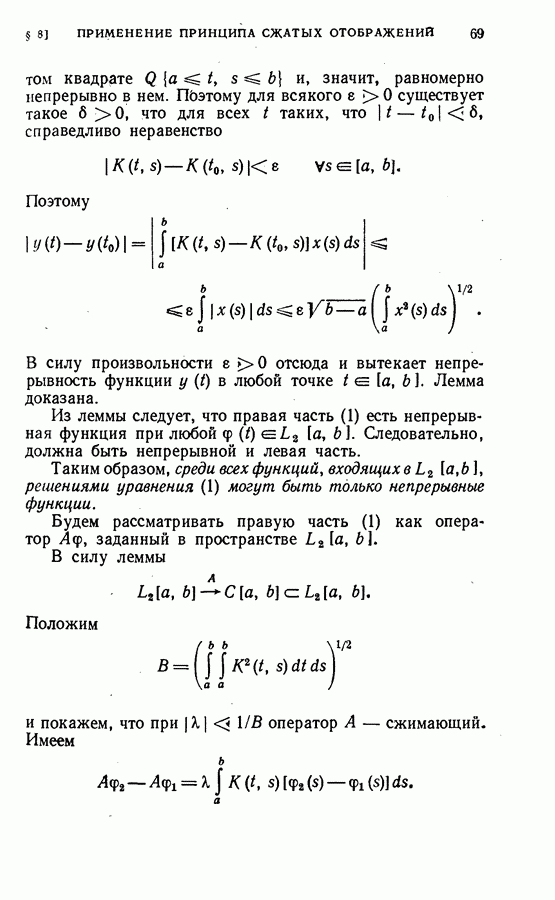
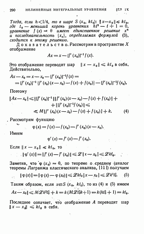
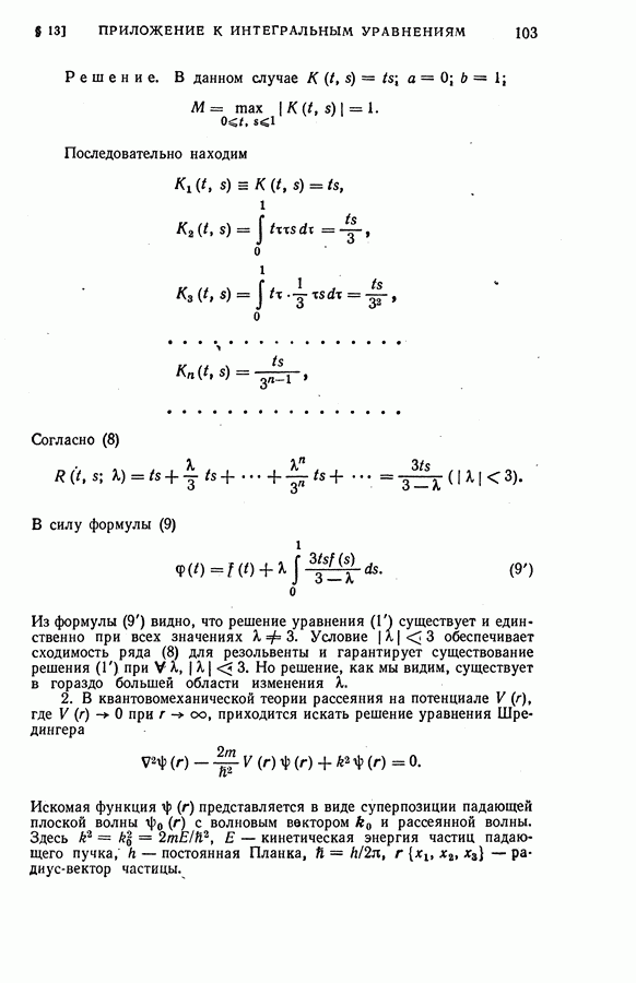
Главная > Интегральные уравнения. Введение в теорию
НАПИШУ ВСЁ ЧТО ЗАДАЛИ
СЕКРЕТНЫЙ БОТ В ТЕЛЕГЕ
<< Предыдущий параграф Следующий параграф >>
Пред.
След.
Макеты страниц

Распознанный текст, спецсимволы и формулы могут содержать ошибки, поэтому с корректным вариантом рекомендуем ознакомиться на отсканированных изображениях учебника выше

Также, советуем воспользоваться поиском по сайту, мы уверены, что вы сможете найти больше информации по нужной Вам тематике

ДЛЯ СТУДЕНТОВ И ШКОЛЬНИКОВ ЕСТЬ
ZADANIA.TO

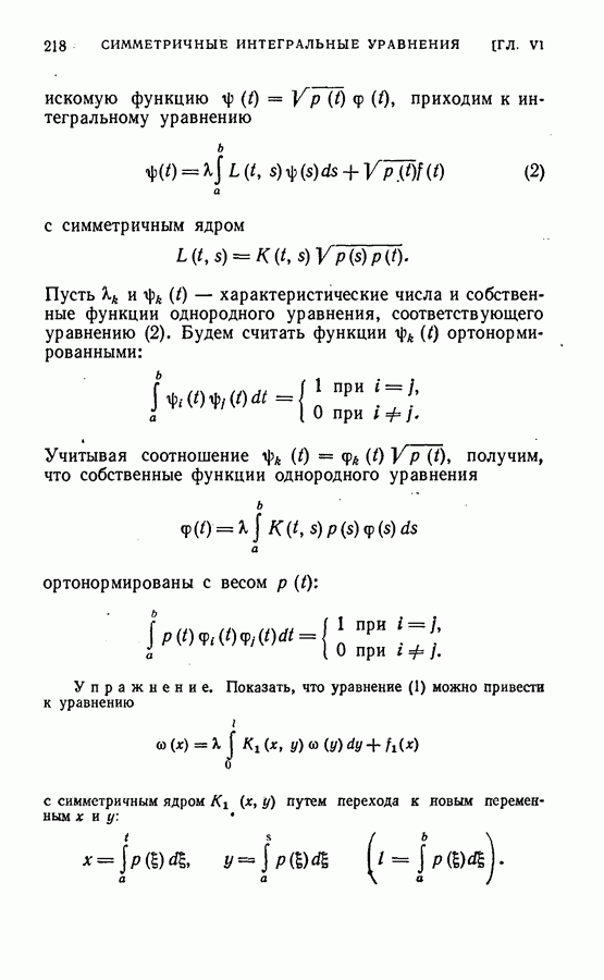
§ 28. Экстремальные свойства характеристических чисел и собственных функций

Пусть функция По теореме Гильберта — Шмидта

(Рассматриваем общий случай невырожденного -ядра.) Умножая обе части (1) скалярно на получаем

Пусть, как обычно, числа расположены в порядке возрастания их абсолютных величин, так что наименьшим по модулю является число Тогда из (2) следует

Числа суть коэффициенты Фурье функции но системе Используя неравенство Бесселя ([5]), из (3) находим

если

Знак равенства в (4) достигается при где - нормированная собственная функция ядра отвечающая характеристическому числу В самом деле

Умножая обе части последнего равенства скалярно на получим

Таким образом, справедлива следующая теорема (см. также стр. 192).

Теорема 6.5. На множестве нормированных функций величина имеет максимум, равный Этот максимум достигается при

Рассмотрим множество нормированных функций ортогональных первым собственным функциям. Тогда

Рассуждениями, аналогичными вышеприведенным, поручаем следующий результат:

На множестве функций, нормированных и ортогональных первым собственным функциям ядра величина имеет максимум, равный который достигается при

1
Оглавление
email@scask.ru