Главная > Принятие решений в расплывчатых условиях
НАПИШУ ВСЁ ЧТО ЗАДАЛИ
СЕКРЕТНЫЙ БОТ В ТЕЛЕГЕ
<< Предыдущий параграф
Пред.
След.
Макеты страниц

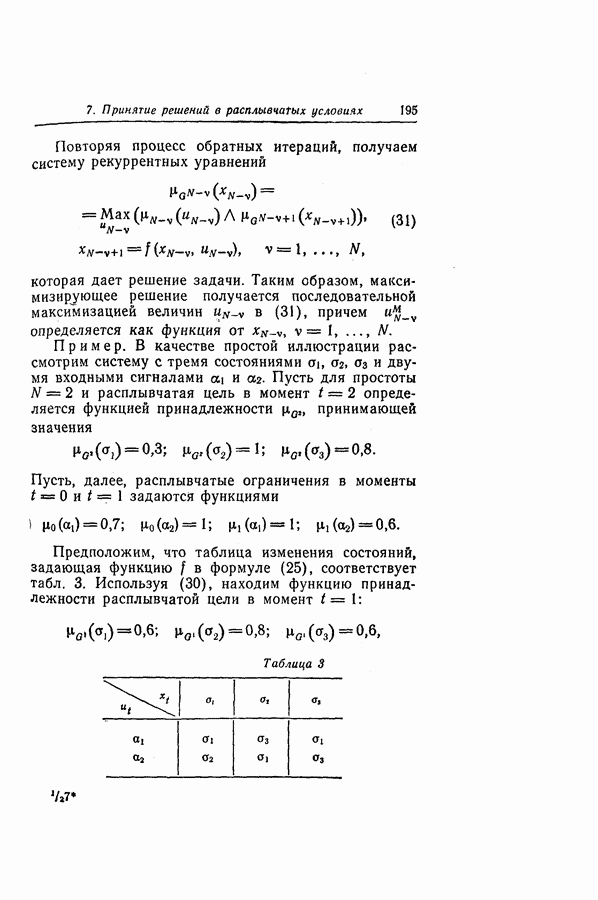
Распознанный текст, спецсимволы и формулы могут содержать ошибки, поэтому с корректным вариантом рекомендуем ознакомиться на отсканированных изображениях учебника выше

Также, советуем воспользоваться поиском по сайту, мы уверены, что вы сможете найти больше информации по нужной Вам тематике

ДЛЯ СТУДЕНТОВ И ШКОЛЬНИКОВ ЕСТЬ
ZADANIA.TO

7. ЗАКЛЮЧЕНИЕ

Создание общей теории принятия решений в расплывчатых условиях является чрезвычайно сложной и трудной задачей. Приведенные в настоящей статье результаты следует рассматривать лишь как первую попытку построения логической схемы такой теории.

Многие аспекты теории принятия решений в расплывчатых условиях требуют более тщательного анализа. К ним относятся такие вопросы, как осуществление расплывчатых решений, способ объединения целей и ограничений в случае их неодинаковой важности или взаимозависимости, управление расплывчатыми системами и реализация расплывчатых алгоритмов, понятие расплывчатой обратной связи и ее влияние на принятие решений, управление системами, в расплывчатых условиях, частично определенных с помощью «поясняющего примера», и, наконец, принятие решений в смешанных условиях, в которых неточность является следствием как случайности, так и расплывчатости.

ЛИТЕРАТУРА

(см. скан)

(см. скан)

1
email@scask.ru