Главная > Высшая математика Т3
НАПИШУ ВСЁ ЧТО ЗАДАЛИ
СЕКРЕТНЫЙ БОТ В ТЕЛЕГЕ
<< Предыдущий параграф Следующий параграф >>
Пред.
След.
Макеты страниц

Распознанный текст, спецсимволы и формулы могут содержать ошибки, поэтому с корректным вариантом рекомендуем ознакомиться на отсканированных изображениях учебника выше

Также, советуем воспользоваться поиском по сайту, мы уверены, что вы сможете найти больше информации по нужной Вам тематике

ДЛЯ СТУДЕНТОВ И ШКОЛЬНИКОВ ЕСТЬ
ZADANIA.TO

1.2.6. Поле направлений.

Отметим, что дифференциальное уравнение в разрешенном относительно производной виде

                                                       (20)

устанавливает явную связь между координатами точки  и угловым коэффициентом касательной к интегральной кривой в этой точке (рис. 3):

Рис. 3                                                                                  Рис. 4

.

Если функция  определена на некоторой области  плоскости, то каждой точке  соответствует некоторое направление, угловой коэффициент которого равен . Указывая это направление единичным вектором, проходящим через точку , мы получим на  поле направлений (рис. 4).

Интегральные кривые уравнения (20) суть кривые, для которых упомянутые направления являются направлениями касательных. Решить дифференциальное уравнение означает найти кривые, направления касательных к которым в каждой точке совпадают с направлением поля. Конечно, в данном случае интегральные кривые принадлежат области .

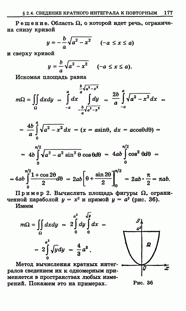
Пример 4. .

Правая часть этого уравнения определена на множестве  всех точек плоскости , кроме точек оси . Если точки  лежат на прямой , то для них

,

т. е. поле направлений имеет вид, изображенный на рис. 5.

В данном случае направление прямой  совпадает с направлением поля в каждой точке этой прямой, следовательно, интегральными кривыми являются не параллельные оси , выходящие из нулевой точки, лучи без точки (0, 0).

Для построения поля направлений, удобно рассматривать геометрические места точек, в которых касательные к интегральным кривым сохраняют постоянное направление. Такие геометрические места точек называются изоклинами.

Пример 5. - уравнение изоклины, соответствующей определенному значению  , т. е. это окружность радиуса  (рис. 6).

Рис. 5                                                   Рис. 6

Зная изоклины дифференциального уравнения, легко нарисовать эскиз интегральных кривых.

 

1
Оглавление
email@scask.ru