Главная > Вибрации в технике, Т. 3. Колебания машин, конструкций и их элементов
НАПИШУ ВСЁ ЧТО ЗАДАЛИ
СЕКРЕТНЫЙ БОТ В ТЕЛЕГЕ
<< Предыдущий параграф Следующий параграф >>
Пред.
След.
Макеты страниц

Распознанный текст, спецсимволы и формулы могут содержать ошибки, поэтому с корректным вариантом рекомендуем ознакомиться на отсканированных изображениях учебника выше

Также, советуем воспользоваться поиском по сайту, мы уверены, что вы сможете найти больше информации по нужной Вам тематике

ДЛЯ СТУДЕНТОВ И ШКОЛЬНИКОВ ЕСТЬ
ZADANIA.TO

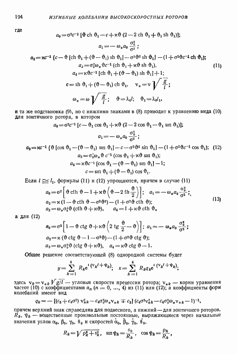
Глава VI. КОЛЕБАНИЯ В СТАНКАХ

Колебания в металлорежущих станках рассматриваются прежде всего с позиций их влияния на точность и качество обрабатываемых поверхностей, а также на долговечность инструмента и элементов конструкции станка (направляющих, подшипников), определяющих точность обработки. Как и для машин других типов, весьма важным является рассмотрение акустического проявления колебаний в виде шума. В большинстве случаев колебания в станках являются нежелательными. Однако в некоторых случаях колебания используют для дробления стружки, снижения трения и улучшения условии перемещения рабочих органов станка или условий резания.

В станках возникают вынужденные колебания и автоколебания, имеющие весьма широкий спектр частот (от долей до десятков тысяч герц). Колебания носят как стационарный, так и нестационарный характер, и для их описания используются практически все методы современной теории колебаний.

Автоколебания в станках возникают при установочных перемещениях рабочих органов станка (фрикционные автоколебания) и в процессе обработки детали (автоколебания при резании). При установочных перемещениях резание не производится, к автоколебания при этом определяются взаимодействием упругой системы станка, процессов трения на движущемся фрикционном контакте и процессов в двигателе. Автоколебания при обработке детали включают в это взаимодействие также процесс резания.

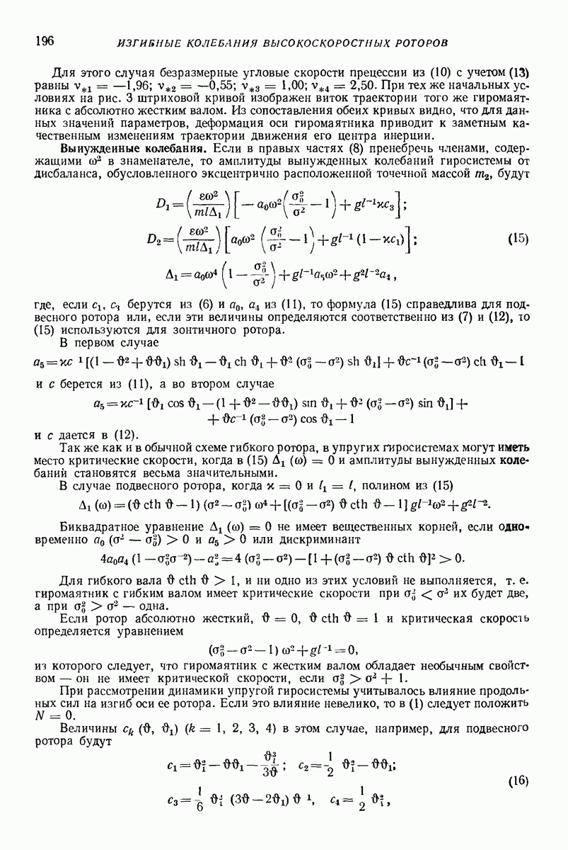
Сущность взаимодействия заключается в изменении условий протекания процессов резания, трения и процессов в двигателе под влиянием деформаций упругой системы станка, включая несущие элементы конструкции (станину, суппорт и т. д.) и систему привода рабочих органов, вызванных действием на упругую систему сил резания, трения и движущих сил. В настоящее время не существует полного единства взглядов в понимании особенностей указанного взаимодействия, что объясняется в первую очередь его сложностью и недостаточной изученностью. Поэтому в некош-рых случаях существуют различные объяснения наблюдаемых на практике автоколебаний станков. В дальнейшем изложении главное внимание будет уделено взаимодействию упругой системы с процессами трения и резания. Влияние процессов в двигателях (электрических, гидравлических, пневматических и др.) проявляется в станках современных конструкций главным образом в переходных процессах (пуск, торможение, реверс и т. п.) и является предметом специального рассмотрения, общим для различных машин.

Для правильного понимания условий существования автоколебаний в станках необходимо учитывать следующие основные положения.

1. При относительном движении двух твердых тел (точнее — твердого тела и среды) возникают силы, являющиеся функциями ортогональных координат, т. е. координат, на которых они не совершают работы. При резании резец движется в обрабатываемой заготовке и тангенциальная составляющая силы резания является функцией координаты (или координат) вершины резца, определяющей сечение срезаемого слоя и направленной перпендикулярно к этой составляющей силы резания. При контактном трении твердых тел сила трения является функцией, нормальной к поверхности скольжения контактной деформации, вызываемой нормальной нагрузкой. Аналогичное явление наблюдается при флаттере, когда подъемная сила, определяемая движением воздушной среды, действующая на крыло самолета (или лист на дереве), является функцией угловой координаты (угла атаки).

2) Процессы резания и трения могут быть собственно устойчивыми и неустойчивыми в зависимости от условий резания и трения (аналогично ламинарному и турбулентному потоку). При собственно устойчивом процессе резания процесс стружко-образования, т. е. процесс упругопластического деформирования материала заготовки в стружку, протекает без нарушения сплошности стружки, без периодического образования наростов, без колебаний силы резания вследствие нарушения этой сплошности или срыва наростов. Такая стружка называется сливной (с постоянным наростом или без него) и образуется при обработке металлов в пластическом состоянии при соответствующих режимах резания. Собственно устойчивый процесс трения

хактеризуется постоянством силы трения и отсутствием явлений «схватывания» поверхностей контактирующих тел и периодического образования наростов. Самопроизвольное образование прерывистой — элементной стружки и периодическое нормирование наростов является автоколебательным процессом, протекающим в системе, составляющей содержание процесса пластическогр деформирования твердых тел.

3. Силы резания и трения при изменении условии протекания процесса (сечения стружки, нормальной нагрузки, скорости движения и т. п.) изменяются со сдвигом во времени, который зависит от физических особенностей этих процессов.

Поскольку автоколебания при обработке и при установочных перемещениях оабочих органов станков являются нежелательными, постольку интересны, как правило, не столько характеристики автоколебаний, сколько условия, при которых автоколебания не возникают, т. е. условия устойчивости заданных движений. Однако при наличии собственной неустойчивости процессов, например при формировании элементной стружки, приходится определять условия, при которых амплитуды автоколебаний не превосходят некоторой допустимой величины.

Для оценки устойчивости заданных дзижений наибольшее развише в настоящее время получили частотные методы анализа, в частности, критерий устойчивости Найквиста и линеаризованные модели систем.

Рис. 1

Частотные методы удобны возможностью использования расчетных и экспериментально полученных характеристик, а также их сочетания.

Применительно к изучению динамических процессов, в том числе колебаний, при обработке резанием (рис. 1, а) система станка (включая в эту систему собственно станок, приспособление, инструмент и обрабатываемую заготовку) может быть представлена в виде схемы (рис. 1,б), в которой указанное выше взаимодействие процесса резания и упругой системы показано стрелками. Поскольку детали станка в процессе его работы движутся и возникают также взаимодействие упругой системы с процессами трения в соответствующих подвижных соединениях, что существенно при определении динамических характеристик этой системы, то ей присвоено наименование эквивалентной упругой системы станка

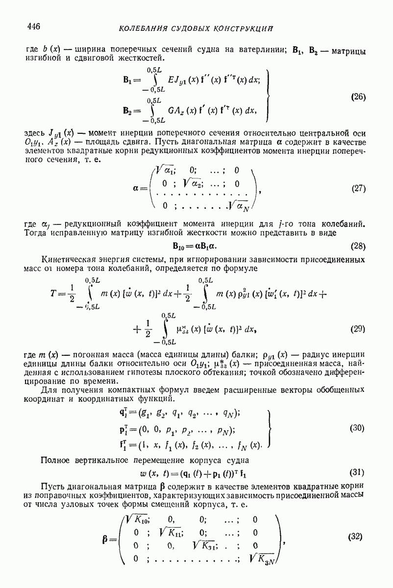
Для определения частотной характеристики ЭУС вместо силы резания прикладывается некоторая периодическая внешняя сила и определяются колебания между Резцом необрабатываемой заготовкой. Отношение смещения (или другого параметра олебаний, например — скорости колебаний) к действующей силе, представленное комплексной форме при изменении частоты от нуля до бесконечности, дает амплитудно-фазовую частотную характеристику Расчет таких характеристик для упругих систем станков, представляющих собой сложную колебательную систему (осложненную учетом указанной выше специфики подвижных соединений), в настоящее время ведется с использованием ЭВМ и современных достижений теории колебаний. Для экспериментального определения частотной характеристики ЭУС применяется комплект аппаратуры, включающий вибратор того или иного типа (электромагнитный, гидравлический, пьезовибратор и т. п.), создающий усилие между резцом и заготовкой по направлению действия силы резания, и виброизмерительную аппаратуру,

фиксирующую относительные колебания резца и заготовки (рис. 2, а). На рис. 2, б приведена амплитудно-фазовая частотная характеристика ЭУС для токарного станка по координате, определяющей изменение толщины срезаемого слоя. Характеристика получена экспериментально в некотором рабочем диапазоне частот. Процесс резаняя в этом случае характеризуется отношением изменения силы резания к изменению толщины срезаемого слоя при его периодическом изменении. На рис. 2, в показана частотная характеристика процесса резания при собственно устойчивом стружкообразовании. Характеристика построена с помощью расчета по некоторым исходным экспериментальным данным, а также экспериментальным путем. В процессе резания

Рис. 2 (см. скан)

фиксировалось изменение толщины срезаемого слоя при колебаниях резца, создаваемых вибратором. Одновременно динамометром определялось изменение составляющих силы резания.

Частотная характеристика отражает две важные особенности процесса резания. Сила, действующая на переднюю (прилегающую к стружке) поверхность при быстром изменении толщины срезаемого слоя резца, отстает во времени от изменения толщины срезаемого слоя, так как зависит от соответствующего изменения толщины стружки, на что требуется известное время, обратно пропорциональное скорости резания. Сила, действующая на заднюю (прилегающую к обработанной поверхности) поверхность резца, опережает во времени смещение резца (изменение толщины срезаемой слоя), так как зависит от степени внедрения затылочной части резца в обработанную поверхность детали. Степень внедрения является функцией отношения скорости смещения к скорости резания. Эта функция является линейной лишь при мапых отклонениях (указанное отношение должно быть менее тангенса половины заднего угла резца).

Особенность сил, действующих на заднюю поверхность резца, приводит к существенному различию частотных характеристик процесса резания, получаемых при двух пах изменения толщины срезаемого слоя: в процессе колебаний резца относительно отовки и при резании заготовки с периодически изменяющимся припуском, так сила на задней поверхности изменяется только при наличии относительных смешений резца и заготовки.

Описанные особенности изменения силы резания отражены в следующем выражении частотной динамической характеристики процесса резания (процесса стружкообраэования) при радиальном врезании резца:

где

где сила резания; у — колебание толщины срезаемого слоя, равное колебательному смещению резца относительно заготовки в радиальном направлении; коэффициент резания; удельная сила резания; ширина стружки; постоянная времени стружкообразования; Та — постоянная времени заднего угла.

Если толщина срезаемого слоя изменяется в зависимости от припуска заготовки, а колебания ЭУС под действием силы резания малы, то Такое же значение эта характеристика имеет при пренебрежимо малых Та (при резании острозаточенным резцом пластичных материалов). В этих случаях Постоянные времени определяются следующими выражениями:

где постоянный коэффициент; с — заданная толщина срезаемого слоя, усадка стружки; толщина стружки, скорость резания, — контактная жесткость (линеаризованное значение отношения Давления к контактной деформации) при внедрении задней поверхности резца в обработанную поверхность детали, ширина площадки контакта задней поверхности резца с деталью (фаски, площадки износа резца и т. п.), — некоторые усредненные значения пути движения резца в заготовке, определяющие формирование сил на передней и задней поверхностях резца, (по аналогии с постоянными времени их можно назвать постоянными пути).

Характеристики рассчитывают по экспериментальным значениям удельной силы резания (для углеродистой стали усадки стружки (для стали ); жесткости контакта (для стали

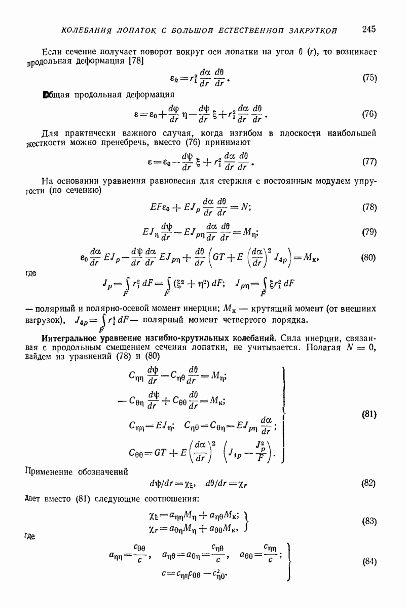
Применение частотного критерия устойчивости Найквиста сводится к построению характеристики так называемой разомкнутой системы как произведения характеристик ЭУС и процесса резания. Пример такой характеристики показан на рис. охвате этой характеристикой точки —1 на вещественной оси динамическая система станка будет неустойчивой, т. е. возникнут нарастающие колебания (такая форма критерия Найквиста достаточна для рассматриваемых условий). Ограниченные влиянием той или иной нелинейности, эти колебания и являются так называемыми автоколебаниями. Таким образом оценивается граница появления автоколебаний при речи «по чистому» без повторного прохода резца по обработанной им же

поверхности, т. е. «по следу», например, при резании резьбы резцом. На рис. 3 эта граница показана прямой 1 в параметрах предельная ширина срезаемого слоя — частота вращения

При обработке «по следу» резец полностью (при врезном точении и т. п.) или частично (при продольном точеини и т. п.) срезает слой материала, на поверхности которого сохраняются следы (например, волнистый след от колебаний) предыдущего прохода резца. В этом случае область отсутствия автоколебаний сужается. При полном перекрытии следа граница области определяется расположением частотной характеристики разомкнутой системы справа от прямой (см. рис. 2, г) и проходящей параллельно мнимой оси через точку —0,5 на вещественной оси. В зависимости от степени перекрытия следа эта прямая смещается в сторону точки —I, которая служит предельной точкой пересечения при перекрытии, равном нулю, т. е. при обработке «по чистому». Уравнения, описывающие динамическую систему станка при резании «по следу», являются уравнениями с запаздывающим аргументом. Запаздывание определяется временем между образованием следа и возвратом к нему резца на последующем проходе. При токарной обработке оно равно времени оборота детали, при фрезеровании — времени поворота на угол между зубьями фрезы и т. д. Указанная выше оценка границы устойчивости справедлива при любом времени запаздывания и соответствует прямой 2 на рис. 3. Однако при определенных значениях времени запаздывания (т. е. частоте вращения обрабатываемой детали, фрезы и возможно расширение области устойчивости, как показано кривой 3 на рис. 3. Такую границу устойчивости некоторые авторы называют «лепестковой». Для условий резания, существующих в настоящее время, отмеченное расширение области устойчивости и отсутствия автоколебаний не имеет большого практического значения.

Рис. 3

Изложенные представления позволяют проанализировать влияние различных параметров сисгемы (включая режимы резанкя) на условия появления автоколебаний в станках при резании и рассмотреть некоторые распространенные модели системы.

Рис. 4

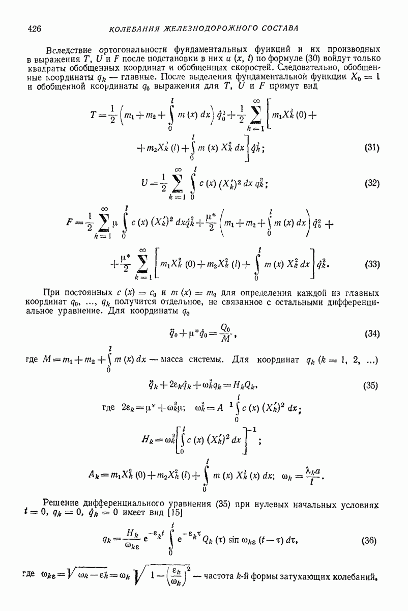
Простейшая модель системы станок — процесс резания показана на рис. 4, а и представляет собой колебательную систему с одной степенью свободы (перемещение резца в направлении изменения толщины срезаемого слоя), на которую воздействует сила резания в виде составляющее по этому же направлению. Потеря устойчивости и появление автоколебаний возможно только при фазовом отставании изменения силы от смещения. Причиной эгого отставания является указанная выше зависимость силы от толщины стружки. На рис. 4, схематически показано последовательное положение 1—6 резца в

течение одного колебания, а на рис. 4, в — соответствующее изменение составляющей силы резания.

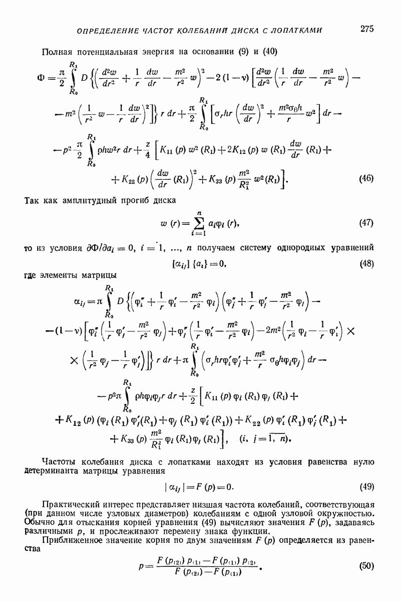
Сушествуют и другие объяснения причин фазового отставания силы. Наиболее пространено объяснение «падающей» зависимостью силы резания от скорости, приводящее к классической модели Ван дер Поля. Однако более глубокий анализ и специальные экспериментальные исследования показывают, что скоростная зависимость силы резания определяется образованием на резце нароста (в некотором диапазоне) еловыми процессами. Инерционность тепловых процессов приводит к тому, что при быстром изменении скорости при колебаниях температура и состояние стружки, а также и резца, почти не меняются, следовательно, почти не меняется и сила резания. Тем самым не создаются условия притока энергии в систему, необходимые для поддержания колебаний незатухающими. Это в равной степени относится к условиям образования устойчивого нароста. Специфика влияния периодически срывающегося неустойчивого нароста рассмотрена ниже.

Модель с «падающей» скоростной зависимостью силы резания не может объяснить появление интенсивных автоколебаний на участках, где сила резания увеличивается с ростом скорости, или в условиях отсутствия зависимости силы от скорости (при обработке чугуна, дерева и т. п.).

Рис. 5

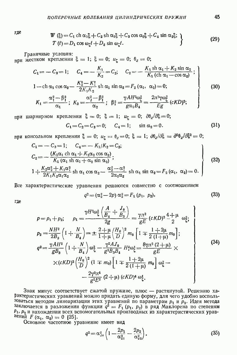
Более сложная модель системы показана на рис. 5; она представляет собой систему с двумя степенями свободы перемещения резца в плоскости действия силы резания. Показан типичный случай, когла система имеет разную жесткость в различных направлениях и сила резания по направлению не совпадает ни с одной из главных осей жесткости. В этом случае смещение вершины резца не совпадает с направлением действия силы. Возникает связь (координатная, статическая, упругая) между перемещениями по направлению действия силы и в перпендикулярном к ней направлении (в системе возможны другие виды связей — инерционная, скоростная). Учитывая сказанное, нетрудно представить себе возникновение фазового отставания тангенциальной составляющей силы резания от перемещения вершины резца в направлении Действия этой силы. Величина силы зависит от толщины срезаемого слоя, определяемо смещением вершины резца в направлении, нормальном к этой силе, и происходящем с фазовым сдвигом по отношению к тангенцнальному смещению. Вершина резца при этом движется по эллиптической траектории (рис. 5, а). При движении (рис. 5, б) в сторону действия силы резания (положения 1—3) резец врезается на большую глубину, увеличивая тем самым силу. При движении в обратном направлении (положения 4-6) резец снимает слой меньшей толщины и сила уменьшается. За цикл колебаний сила совершает работу (рис. 5, в), пропорциональную площади эллипса перемещений и идущую в данном случае на поддержание колебаний. Направление обхода по эллипса перемещений зависит от устойчивости системы, определяемой, например, по критерию Найквиста: в устойчивой системе направление обхода обратное

описанному, и площадь эллипса пропорциональна работе демпфирования колебаний. На границе устойчивости эллипс вырождается в прямую линию.

В данной модели системы не является обязательным наличие особенностей процессов, отмеченных выше (наличие фазовых смещений между силами и перемещениями) и играющих определяющую роль в модели с одной степенью свободы. Главными являются особенности кинематики колебаний сложных упругих систем. Поэтому составляющая силы резания (рис. 5, г) в этой модели является консервативной упругой силой.

Одной из первых моделей системы, предложенной Н. А. Дроздовым, является модель колебательной системы с одной степенью свободы, взаимодействующей с процессом резания детали, несущей следы от предыдущего прохода резца. Любое, в том числе случайное, возмущение вызывает затухающие колебания системы ее собственной частоты. При этом резец оставляет волнистый след на поверхности детали. При следующем проходе резец срезает слой, имеющий вследствие этого переменную толщину. Изменяющаяся с частотой волнистости, т. е. с собственной частотой системы, сила резания вызывает вновь колебания системы, и так далее. При некоторых условиях происходит «раскачка» системы, т. е. увеличение амплитуды колебаний до значения, ограничиваемого той или иной нелинейностью. Эта модель отражает важную особенность динамической системы станок—резание, существенно влияющую на ее устойчивость. Метод определения условий потери устойчивости, т. е. появления «раскачки», описанный выше, показывает, что область отсутствия автоколебаний сужается (по амплитудному значению характеристики разомкнутой системы) по меньшей мере в 2 раза.

Специальный интерес представляет рассмотрение модели системы при собственно неустойчивом процессе резания, т. е. при образовании элементной или суставчатой стружки, а также при формировании периодически срывающегося нароста. Условия, в частности режимы резания (скорость резания, толщина срезаемого слоя), при которых эти явления возникают, могут быть определены из рассмотрения упругопласти-ческого деформирования как сложной системы взаимодействия деформации, напряжений и изменения свойств материала в процессе деформирования и теплообразования. Например, локализация деформирования стружки в тонком подповерхностном слое, как и локализация зоны сдвиговых деформаций материала заготовки при переходе в стружку (при суставчатой стружке), может быть объяснена локализацией высокой температуры в средней части пластически деформируемого слоя. Такая локализация получила название «температурного ножа». Разупрочнение материала в зоне высокой температуры приводит к дальнейшей локализации и резкому возрастанию сдвиговых деформаций. При этом сила резания уменьшается. Поскольку при резании деформируемый материал постоянно обновляется, описанный процесс периодически повторяется с частотой, увеличивающейся с ростом скорости резания. Периодическое изменение силы резания породило ошибочное представление о вынужденных колебаниях системы станка при возникновении периодичности стружкообразования. Более правильная модель системы представляется как взаимодействие автоколебательной системы стружкообразования и «пассивной» колебательной упругой системы станка. Колебания резца под действием периодически изменяющейся силы резании изменяют условия деформирования (объем деформируемого материала — толщину срезаемого слоя, скорость деформирования — скорость резания). При динамически жесткой упругой системе и небольшой амплитуде колебания силы резания, т. е. при небольшой ширине срезаемого слоя, влияние колебаний упругой системы будет незначительным. При этом колебания имеют характер вынужденных, частота которых возрастает с увеличением скорости резания. Так как амплитуды колебаний при этом малы, то практики считают такой режим обработки условно устойчивым. Если упругая система обладает меньшей динамической жесткостью или ширина срезаемого слоя увеличена, то колебания резца настолько существенно влияют на стружкообразование, что подчиняют себе формирование наростов или элементов стружки, а следовательно, и колебания силы резания. Эти колебания происходят с частотой, близкой к собственной частоте колебаний упругой системы и не меняющейся с изменением скорости резания. Амплитуда колебаний силы резания и соответственно размер нароста или элемента стружки изменяются в зависимости от скорости резания. Наибольшего значения амплитуда колебаний силы резания, а соответственно и колебаний резца

дотигает при такой скорости, при которой частота собственных колебаний равна «естественной» частоте формирования наростов или элементов стружки. Возникает своеобразный «резонанс». Амплитуды колебаний в этом случае велики, и практики считают такой режим обработки недопустимым, систему — неустойчивой, а колебания - автоколебаниями. На рис. 6 показано изменение частоты и амплитуды колебаний полученное расчетом по некоторым исходным экспериментальным данным и экспериментальным путем для режимов, соответствующих образованию периодически срывающегося нароста. Расчет показал, что граница перехода от одного режима колебаний к другому определяется равенством коэффициентов «жесткости резания» и жесткости том понимании, как это показано выше) (кривые 1 при кэус кривые при Мэус кривая 3 для абсолютно жесткой системы Обычно элементная стружка образуется при низких скоростях, и «естественная» частота формирования элементов оказывается значительно ниже собственной частоты колебаний системы. Поэтому при резании с элементной стружкой значительно чаще встречаются колебания, близкие к вынужденным. Однако при появлении суставчатой стружки на высоких скоростях резания (вследствие потери устойчивости деформирования из-за локального теплового разупрочнения) «естественная» частота автоколебательного процесса формирования элементов оказывается близкой к высокочастотным составляющим спектра собственных колебаний системы. В этих условиях могут возникать также два режима колебаний системы, близких по характеру к вынужденным и автоколебательных с высокой частотой (порядка нескольких тысяч герц).

При установочных перемещениях рабочих органов станков условия возникновения автоколебаний имеют много общих черт с условиями их появления при резании. Это объясняется общностью характеристик сил резания и контактного трения. Поэтому для выяснения условий появления автоколебаний, т. е. условий потери устойчивости заданного движения, могут быгь успешно применены некоторые аналогичные модели системы, а также частотные методы анализа. Трение имеет и свои особенности, которые необходимо учитывать при анализе.

Рис. 6

Динамическая система станка схематически показана на рис. 7, а. Взаимодействие упругой системы и процесса трения показано стрелками. Эквивалентная упругая система (ЭУС) в этом случае учитывает влияние процессов в двигателе на характеристики упругой системы. Амплитудно-фазовая частотная характеристика ЭУС определяется, как правило, расчетным путем, поскольку экспериментальное ее получение связано со значительными трудностями. Распределенный характер сил трения не только в пределах одной направляющей поверхности, но и по нескольким направляющим, очень часто расположенным в различных плоскостях, и замена этих сил равнодействующей делает соответствующие модели системы еще более приближенными. На рис. 7, б показана частотная характеристика ЭУС такой модельной системы. Там же показана частотная характеристика контактного трения как отношение силы трения к нормальной контактной деформации поверхности трения. Статическое значение (статический коэффициент трения) представляется видоизменением известного коэффициента трения в законе Амонтона, где берется отношение силы трения к нормальной нагрузке. Отставание по фазе изменения силы трения от нормальной контактной деформации связано с явлением так называемого предварительного смещения, т. е. с тангенциальной деформацией контакта трущихси поверхностей, предшествующей их взаимному скольжению. Практически это отставание имеет значение лишь при очень малых скоростях скольжения ввиду малости смещения.

Характеристика разомкнутой системы (рис. 7, г) позволяет по критерию Найквиста определить границу области устойчивости по тому или иному параметру системы. Например возрастание коэффициента трения или увеличение амплитудного значения характеристики разомкнутой системы при частотах, близких к тем, на которых эта характеристика пересекает отрицательную вещественную ось, означает уменьшение области устойчивости, облегчение появления автоколебаний при перемещении рабочих органов — так называемых фрикционных автоколебаний.

Рис. 7

Изложенное представление позволяет проанализировать влияние других параметров системы и ряд существующих моделей динамической системы станок — процесс трения.

Простейшей широко известной моделью является модель, показанная на рис. 8; она имеет одну колебательную степень свободы в направлении скольжения. Необходимое для потери устойчивости и появления автоколебаний условие фазового отставания изменения силы трения от колебаний системы объясняется падающей зависимостью силы трения от скорости скольжения. Такая зависимого экспериментально наблюдается при малых скоростях скольжения смазанных поверхностей. При колебаниях скорость скольжения увеличивается или уменьшается на величину скорости колебаний. Соответственно изменяется сила трения: при движении скользящего тела при колебаниях в сторону действия силы трения скорость уменьшается и сила трения возрастает; при движении против силы трения — скорость увеличивается и сил трения уменьшается. Работа переменной составляющей силы трения за цикл колебаний идет на поддержание колебаний. Чем круче зависимость силы трения от скорости - тем шире область неустойчивости движении и существования автоколебаний. Однако применительно к станкам и ряду других конструкций это объяснение является чрезмерно условным. При наличии смазки сила трения уменьшается в области так

Рис. 8

называемого смешанного трения в результате гидродинамических процессов, создающих 8 "одинамическую подъемную силу, которая уменьшает фактическую нагрузку контакты трущихся тел. Эта сила возрастает со скоростью, вызывая возрастающее «вспльшание» тела на слое смазки. Когда подъемная сила оказывается больше внешней нормальной нагрузки, тело полностью всплывает, контактное трение исключается и остается толька жидкостное трение, увеличивающееся с ростом скорости скольжения. Инерция «всплывающего» тела (рабочего органа станка и т. п.) и вязкое сопротивление смазки проникновению или вытеснению ее из узкой щели между поверхностями скольжения при быстром изменении скорости скольжения задерживает во времени процесс всплывания (или оседания) тела, а соответственно — изменение контактной деформации и силы контактного трения. Сила трения изменяется при колебаниях не так, как это следует из описанной выше статической зависимости, а значительно меньше. В этой связи эффект влияния падающей характеристики трения оказывается очень малым, что подтверждается многими фактами.

Можно предположить существование другой физической природы падающей характеристики силы трения по скорости. В условиях граничной смазки при отсутствии гидродинамического эффекта такую характеристику предложено объяснять нормальными к поверхности скольжения колебаниями, вызванными взаимодействием неровностей контактирующих тел, усиливающимися с ростом скорости скольжения. Применительно к малым скоростям скольжения, характерным для механизмов подач металлорежущих станков, рассматриваемая модель усложняется необходимостью учета нелинейности силы трения при изменении знака скорости и остановке перемещаемою тела. Сила трения покоя, возрастающая со временем неподвижного контакта, больше снлы трения движения. Сложный переходный процесс, происходящий в нелинейной системе двух контактирующих тел при приложении внешней тангенциальной силы, моделируется скачком силы трения при переходе от покоя к скольжению. Колебания системы при этом сопровождаются остановками, становятся релаксационными. Их иногда называют «скачками» при трении скольжения. Основная трудность при практическом пользовании описанной моделью заключается в отсутствии достоверных данных о величине скачка силы трения и о закономерностях ее изменении в различных условиях.

Более сложные модели системы учитывают специфику влияния колебательной упругой системы станка, имеющей много степеней свободы. Схема одной из таких моделей показана на рис. 9, а. Система представляется имеющей две степени свободы в плоскости действия силы трения, перпендикулярной поверхности скольжения. Главные оси жесткости системы, несущей скользящее тело, не совпадают с направлением силы трения и нормальной нагрузки. Суммирование колебаний по направлениям главных осей жесткое! и, происходящих со сдвигом по фазе, дает эллиптическую траекторию движения трущегося тела. Если система неустойчива, то при колебательном Движении (рис. 9, б) в сторону действия силы трения (положения 1—3) тело сильнее прижимается к направляющим, и сила трения возрастает, а при движении против силы трения (положения давление меньше, и сила трения уменьшается. Работа силы трения за цикл колебания (рис. 9, в), пропорциональная площади эллипса перемещений, идет на поддержание колебаний незатухающими, т. е. определяет существование автоколебаний. При этом нормальная сила изменяется (рис. 9, г) консервативная упругая сила.

В описанной модели учтена одна из возможных форм связи двух колебаний — ординатная. Возможны также и другие виды связи: скоростная (по первой производной координаты по времени) и инерционная (по второй производной). На стр. 126 описана по существу модель с двумя степенями свободы (тангенциальные и нормальное смещения скользящего тела) со скоростной — гидродинамической связью, в которой нагрузка на контакт изменяется по циклу колебаний вследствие всплывания и оседания тела, определяемого действием гидродинамических сил, зависящих от скорости скольжения.

Инерционная связь существенно выявляется при движении рабочего органа по финальным направляющим при условии, что центр тяжести не совпадает с плоскосью направляющих. Сила трения зависит от момента внешних сил, который при колебаниях изменяется моментом сил инерции. Возникают сложные качательные и поступательные колебания рабочего органа. При определенном фазовом сдвиге

между этими колебаниями сила трения изменяется в такт поступательным колебаниям. Заданное поступательное движение становится неустойчивым, и возникают автоколебания.

Такое сложное колебательное движение может возникать и в плоскости скольжения, изменяя направление силы трения или величину силы трения на боковых гранях направляющих В общем случае упругая система станка является сложной и включаег все виды связей В конкретных случаях система приводится к более простым моделям описанным выше.

Применительно к анализу фрикционных автоколебаний в станках модели системы при собственно неустойчивом процессе трения не рассматриваются, поскольку явления схватывания или наростообразовании недопустимы. При необходимости такого анализа могут быть использованы модели системы, аналогичные описанным на стр. 124.

Рис. 9

Вынужденные колебания в станках при резании возникают вследствие периоди чеоких внешних воздействий на упругую систему или при заданном периодическом изменении срезаемого инструментом слоя металла. При внешнем сходстве (периодическое изменение срезаемого слоя представляют как заданное периодическое изменение силы резания) эти колебания имеют существенные различия.

Источниками внешних периодических воздействий на упругую систему станка являются центробежные силы быстровращающихся несбалансированных детален (роторов электродвигателей, шпинделей, валов и так называемая магнитная неуравновешенность электродвигателей, пульсация гидравлических приводов, пересопряжение зубьев зубчатых колес, периодические возмущения от шарикоподшипни и возмущения, передаваемые через фундамент станка от посторонних источников воздействия и Переменность сечения срезаемого слоя возникает при фрезеровании, протягивании, при обработке заготовок с переменным припуском и т. п. Сложный несинусоидальный характер многих периодических возмущений в станках создает сложный и широкий спектр колебаний системы, включающий как первые гармоники возмущений, так и ряд субгармоник. Некоторые возмущения имеют статистическую природу и для оценки колебаний приходится использовать методы статистической

динамики. Отмеченные особенности внешних возмущений и резонансные свойства упругой системы станка приводят к тому, что в спектре вынужденных колебаний обязательно присутствуют колебания на собственных частотах системы (при видимом отсутствии периодических воздействий с соответствующей частотой). Те же особенности объясняют относительно малые амплитуды этих колебаний, несмотря на их резонансное происхождение.

Внешние периодические воздействия на упругую систему при отсутствии резания дают так называемые колебания станка при холостом ходе. Их оценка с позиций Точности и долговечности деталей станка выполняется известными методами. Специфична для станков оценка по влиянию вынужденных колебаний на точность обработки Точность формы и размера обрабатываемой заготовки определяется смещениями инструмента по нормали к обрабатываемой поверхности. Особое значение оценка колебании имеет для прецизионных отделочных станков, для которых требования к точности обработки особенно высоки. На рис. 10 показан экспериментально полученный спектр колебаний шлифовального станка при холостом ходе, измеренных по нормали к обрабатываемой поверхности между шлифовальным кругом и обрабатываемой заготовкой. Кроме колебаний с частотами первых гармоник известных возбудителей (частота вращения ротора электродвигателя, частота пульсации переменного электрического тока и т. д.) в спектре находятся колебания на собственной частоте системы. По такому спектру устанавливаются и известными методами (уравновешивание, виброизоляция и т. п.) устраняются источники воздействий, а соответственно и колебания на первых гармониках возмущений. Значительно сложнее устранение или уменьшение вынужденных колебаний системы на собственных частотах, которые возбуждаются практически микросейсмами. Расчетное построение спектра колебаний инструмента относительно обрабатываемой заготовки при заданных возмущениях и месте их приложения производится с помощью методов теории колебании.

Рис. 10

Знание уровня и частот колебаний станка при холостом ходе, а также амплитуд и частот заданного колебания слоя металла, срезаемого инструментом, позволяет определить амплитуды (а при необходимости и фазы) колебаний при резании. Амплитуда колебаний равна амплитуде волнистости обработанной поверхности, и допустимый уровень определяется требованиями к качеству поверхности обрабатываемой заготовки. Влияние процесса резания на колебания определяется степенью устойчивости системы и различно для разных частот. При отклонениях в пределах линеаризуемости системы амплитуды колебаний на заданной частоте при резании

где амплитуда колебаний с частотой вызываемых внешними воздействиями на упругую систему; амплитуда колебаний с частотой при холостом ходе станка. вызываемых внешними воздействиями на упругую систему, амплитуда колебаний с частотой вызываемых переменностью срезаемого слоя; амплитуда геометрически заданных колебаний толщины срезаемого слоя с частотой амплитудное значение частотной характеристики разомкнутой системы на частоте определяемое как показано на рис. амплитудное значение знаменателя выражения на частотах или определяемое по характеристике разомкнутойи системы как показано на рис. 2.

Из этих выражений следует, что колебания на низких частотах, как правило уменьшаются по сравнению с колебаниями при холостом ходе или геометрически заданными колебаниями срезаемого слоя При более высоких частотах близких к лежащим на характеристике разомкнутой системы в области пересечения ею отрицательной ветви вещественной оси, амплитуды соответствующих колебаний возрастают При периодическом изменении срезаемого слоя соотношение является предельным и соответствует границе устойчивости при обработке по следу. Важным практическим выводом является возможность [за счет повышения устойчивости системы добиться существенного снижения вынужденных колебаний при периодическом изменении толщины срезаемого слоя даже при так называемых резонансных режимах обработки, например при фрезеровании, когда произведение частоты вращения на число режущих зубьев совпадает с одной из собственных частот системы. Колебания при резании, вызываемые воздействием на упругую систему станка, повышением устойчивости системы при резанин доводятся только до уровня колебаний при холостом ходе. Из этого вытекает практическая необходимость уменьшения амплитуд колебаний станков при холостом ходе и их нормирования.

СПИСОК ЛИТЕРАТУРЫ

(см. скан)

1
Оглавление
email@scask.ru