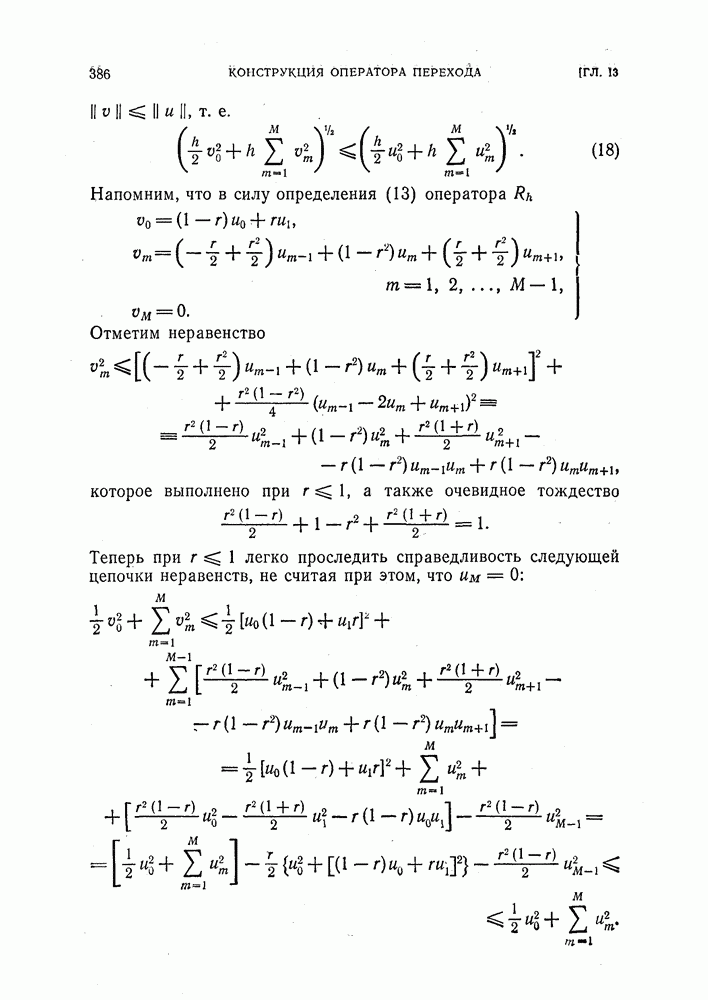
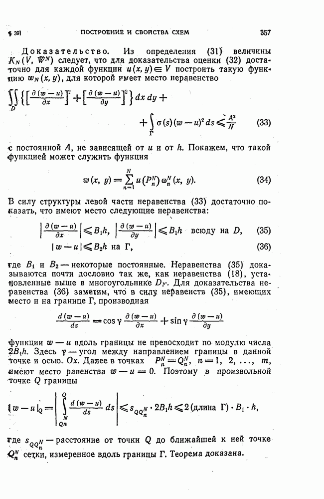
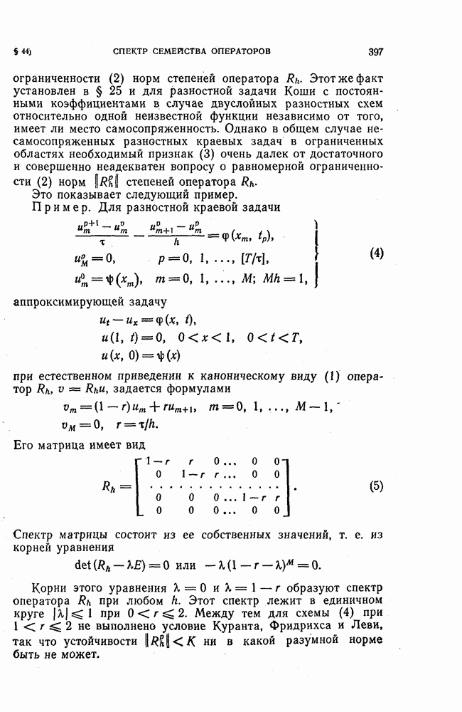
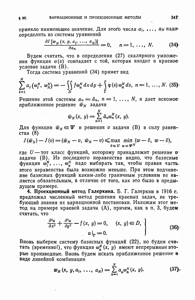
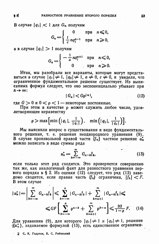
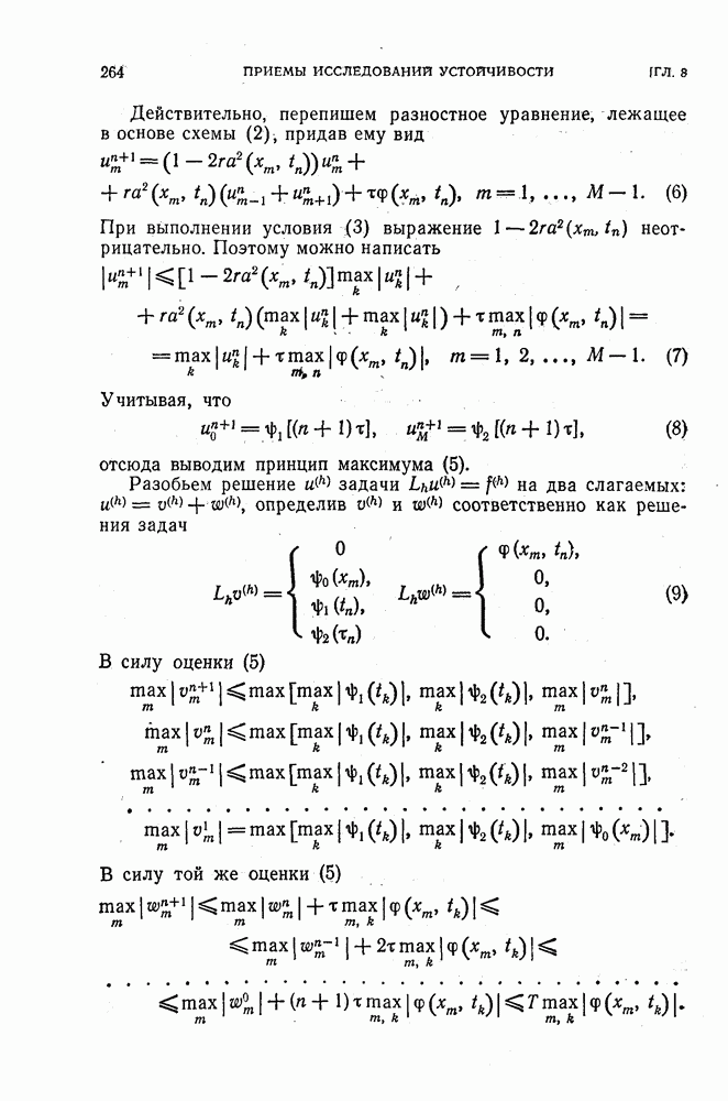
Главная > Разностные схемы
НАПИШУ ВСЁ ЧТО ЗАДАЛИ
СЕКРЕТНЫЙ БОТ В ТЕЛЕГЕ
<< Предыдущий параграф Следующий параграф >>
Пред.
След.
Макеты страниц

Распознанный текст, спецсимволы и формулы могут содержать ошибки, поэтому с корректным вариантом рекомендуем ознакомиться на отсканированных изображениях учебника выше

Также, советуем воспользоваться поиском по сайту, мы уверены, что вы сможете найти больше информации по нужной Вам тематике

ДЛЯ СТУДЕНТОВ И ШКОЛЬНИКОВ ЕСТЬ
ZADANIA.TO

3. Проверка сходимости разностной схемы.

Не будем пока заниматься построением разностных схем и поставим задачу несколько иначе. Пусть разностная схема позволяющая надеяться, что сходимость

имеет место, на основании тех или иных соображений уже построена. Как проверить, является ли она в самом деле сходящейся?

Предположим, что разностная задача (11) имеет единственное решение Если бы при подстановке в левую часть (11) вместо сеточной функции равенство (11) оказалось бы в точности выполненным, то ввиду единственности

решения имело бы место равенство идеальное с точки зрения сходимости. Это означало бы, что решение разностной задачи совпадает с искомой сеточной функцией , которую мы условились считать точным решением.

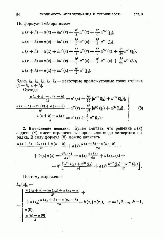
Однако, как правило, систему (11) не удается выбрать так, чтобы в точности ей удовлетворяла. При подстановке в уравнении (11) возникает некоторая невязка:

Если эта невязка «стремится к нулю» при так что удовлетворяет уравнению (11) все точнее, то будем говорить, что разностная схема аппроксимирует дифференциальную краевую задачу на решении и последней.

В случае аппроксимации можно считать, что уравнение (14), которому удовлетворяет получается из уравнения (11) путем прибавления некоторой малой (при малом h) добавки к правой части Следовательно, если решение задачи (11) устойчиво относительно возмущения правой части , т. е. мало изменяется при малом изменении правой части, то решение задачи (11) и решение задачи (14) отличаются мало, так что из аппроксимации

следует сходимость

Намеченный нами путь проверки сходимости (12) состоит в том, чтобы разбить этот трудный вопрос на более простых: сначала проверить, имеет ли место аппроксимация задачи (1) задачей (11), а затем выяснить, устойчива ли задачи (11). В этом содержатся и указание на способы построения сходящихся разностных, схем для численного решения задачи надо строить аппроксимирующую ее разностную схему; из многих возможных способов аппроксимации надо выбирать такие, при которых разностные схемы оказываются устойчивыми.

Изложенный общий план исследования сходимости, естественно, предполагает, что введены математически строгие понятия аппроксимации и устойчивости, позволяющие доказать теорему о том, что из аппроксимации и устойчивости следует сходимость. Намеченные выше определения аппроксимации и устойчивости не являются строгими. Для определения аппроксимации надо еще уточнить, что такое невязка в общем случае и что такое ее величина, а для определения устойчивости — придать точный смысл словам «малому возмущению правой

части соответствует малое возмущение решения разностной задачи

Строгим определениям понятий аппроксимации и устойчивости мы посвятим отдельные параграфы.

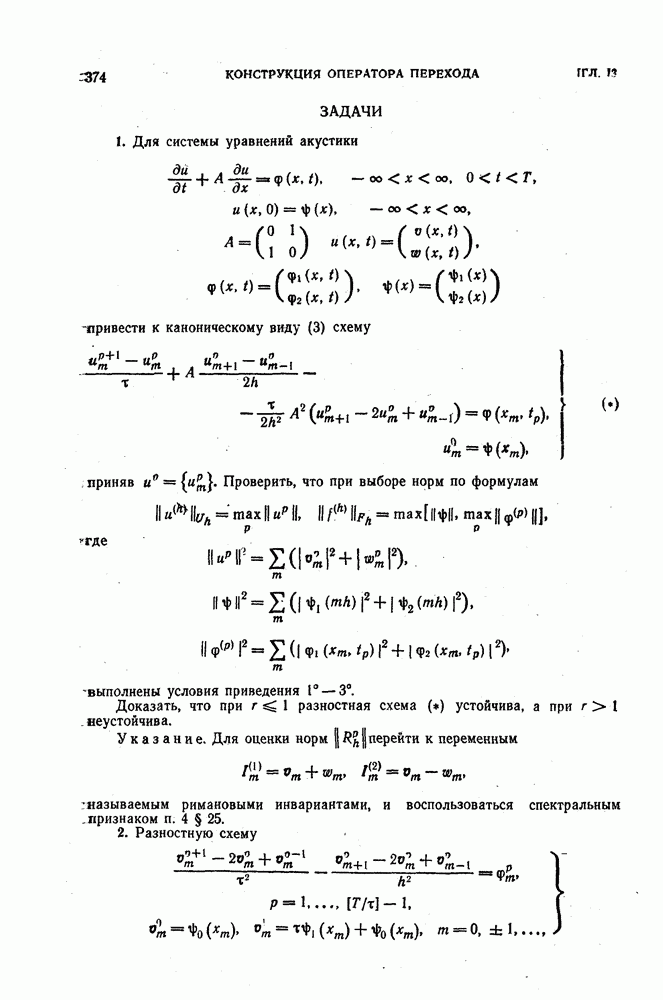
ЗАДАЧИ

1. Разделить отрезок [0, 1] на N частей точками так, чтобы

и выяснить, можно ли последовательность таких сеток при не зависящая от N постоянная) использовать для приближенного решения задачи

с помощью разностной схемы

Стремится ли к нулю при максимальный из шагов Указание. Проще всего разобрать случай и убедиться, что

1
Оглавление
email@scask.ru