Главная > Радиолокационные сигналы
НАПИШУ ВСЁ ЧТО ЗАДАЛИ
СЕКРЕТНЫЙ БОТ В ТЕЛЕГЕ
<< Предыдущий параграф
Пред.
След.
Макеты страниц

Распознанный текст, спецсимволы и формулы могут содержать ошибки, поэтому с корректным вариантом рекомендуем ознакомиться на отсканированных изображениях учебника выше

Также, советуем воспользоваться поиском по сайту, мы уверены, что вы сможете найти больше информации по нужной Вам тематике

ДЛЯ СТУДЕНТОВ И ШКОЛЬНИКОВ ЕСТЬ
ZADANIA.TO

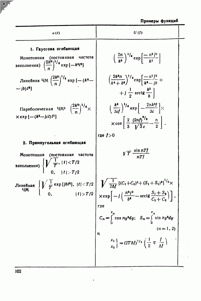
14.8. Ультразвуковой модулятор света

Использование фотопленки для регистрации и перемещения сигналов относительно входной плоскости оптического согласованного фильтра обычно не позволяет получить выходные сигналы, которые можно было бы рассматривать как сигналы в реальном масштабе времени. Класс оптических согласованных фильтров для применения в радиолокации, которые функционируют в реальном масштабе времени, может быть построен на основе использования ультразвуковых модуляторов света для эквивалентного перемещения сигнала во входной плоскости.

Такой модулятор света представляет собой ультразвуковую линию задержки, выполненную из прозрачного материала (обычно это вода, кварц или стекло), которая устанавливается поперек направления распространения коллимированного светового пучка, как показано на рис. 14.28. Электрический сигнал, соответствующий по форме входному сигналу, возбуждает электромеханические преобразователи на входе ультразвукового модулятора света. Этот сигнал обычно преобразуется в продольные ультразвуковые волны,

которые распространяются в задерживающей среде снизу вверх. По мере распространения ультразвуковых волн в линии задержки» происходящие при этом изменения оптической плотности задерживающей среды вызывают изменения коэффициента ее преломления, которые пропорциональны возбуждающему сигналу [321. Это, в свою очередь, приводит к пространственной фазовой модуляции коллимированного светового пучка, проходящего через ультразвуковой модулятор света. Такая фазовая модуляция прямо пропорциональна изменениям коэффициента преломления и следовательно, изменениям функции сигнала, когда он проходит через некоторую фиксированную точку линии задержки.

Рис. 14.28. Схема ультразвукового модулятора света.

Для входной функции общего вида световой поток с пространственной фазовой модуляцией может быть записан в виде

где пиковое значение фазовой модуляции, зависящее от мощности входного сигнала, и функция модуляции сигнала.

Используя хорошо известное разложение по функциям Бесселя, запишем приведенное выше выражение в виде

Учитывая свойства рассеянного светового потока, можно найти такую пространственную область вблизи ультразвукового модулятора, где члены равенства (14.44), содержащие находятся в фазе, а не в квадратуре. В этой области пространственное распределение светового потока в направлении оси х является модулированным по амплитуде, что эквивалентно существованию плюс-первого, нулевого и минус-первого порядков, полученных с помощью записанной на пленке решетчатой функции, которая содержит исходный сигнал на входе, плюс смещение. Если велико

то другими членами в равенства (14.44) нельзя пренебрегать, так как в результате могут возникнуть модуляционные искажения, на что указывалось в разд. 11.5 при рассмотрении случая перекрытия входных сигналов.

В литературе описано несколько методов использования ультразвуковых модуляторов света в радиолокационных согласованных фильтрах. Райх и Слободин [33, 34] применили их в системе общего типа, показанной на рис. 14.28. Ламберт и др. [35], Арм и др. [36] и Слободин и др. [37] описали использование таких модуляторов в устройствах обработки сигнала, действующих на основе свертки, которые содержат опорную согласованную функцию во входной плоскости, как показано на рис. 14.29.

Рис. 14.29. Схема устройства для обработки сигналов с помощью ультразвукового модулятора света.

Опорная решетчатая функция может быть расположена внутри или рядом с задерживающей средой; в рассматриваемых случаях такой средой служила вода. В оптическом фильтре, рассмотренном Слободиным, использовались ЛЧМ сигналы и сигналы с псевдослучайной ЧМ при значениях произведения длительности на полосу 120, при длительности сигнала 60 мксек и ширине полосы 2 Мгц. Ширина сжатого импульса составляла 0,5 мксек. Опорная решетчатая функция была получена на основе фотографического метода и оптическая система была использована для формирования кодированного сигнала путем подачи импульсов на вход ультразвукового модулятора света.

На рис. 14.30, а показан растянутый ЛЧМ импульс, полученный Слободиным, а на рис. 14.30, б — соответствующий ему сжатый импульс. Сужающаяся по сторонам форма растянутого импульса возникает вследствие неидеальности общих полосовых характеристик устройства обработки. На рис. 14.31, а и б показаны растянутый и сжатый импульсы для сигнала с псевдослучайной ЧМ. Сжатый импульс на выходе фотоэлемента содержит ультразвуковую несущую, так что для дальнейшего превращения его в видеосигнал необходимо детектирование. В работе Арма и др. [36] обсуждается

(кликните для просмотра скана)

использование приема рассогласования частоты опорного сигнала с целью достижения большего разделения интересующего нас первого порядка дифракции от других компонент светового потока, если интерференция между ними превышает допустимую. Это приводит к улучшению динамического диапазона сигналов на выходе устройства обработки практически в пределах от 40 до 60 дб.

В частном случае использования ЛЧМ сигнала можно применять ультразвуковой модулятор света в качестве фильтра сжатия при значительно более простой схеме его построения, при которой отпадает необходимость использовать опорную решетчатую функцию.

Рис. 14.32. Дифракция света на решетке с линейной ЧМ.

Хоэфер 124] указывает, что первый порядок светового потока, рассеянного на линейной ЧМ решетке, сходится как показано на рис. 14.32. Это явление рассматривали также Гериг, и Монтегю 38], предложившие схему, показанную на рис. 14.33, в которой использован этот эффект. Линза фокусирует нулевой порядок света на оптической оси. Свойство сходимости первого порядка светового потока заставляет его фокусироваться в точке вне оптической оси, и эквивалентное фокусное расстояние определяется формулой

где фокусное расстояние для первого порядка светового потока в отсутствие линзы волновое число светового потока в радианах, с — скорость распространения акустических волн в ультразвуковых модуляторах света; длительность сигнала и ширина полосы ЛЧМ сигнала в радианах.

По мере поступления ЛЧМ сигнала в ультразвуковой модулятор света точка сходимости первого порядка светового потока перемещается вниз по плоскости совпадая с указанной фокальной точкой лишь тогда, когда сигнал полностью войдет в линию задержки. Щель в экране, расположенном в плоскости в этой точке пропускает сходящийся пучок к фотодетектору, находящемуся за щелью.

Рис. 14.33. Схема устройства оптической обработки ЛЧМ сигналов, исполь зующего дифракционные свойства решетки с линейной ЧМ.

Фотодетектор превращает интенсивность падающего на него света в выходное напряжение. Точка схождения светового потока первого порядка скользит по щели в течение интервала времени, определяемого соотношением Таким, образом длительность пикового отклика от фотодетектора будет равна по величине длительности сжатого импульса.

ЛИТЕРАТУРА

(см. скан)

(см. скан)

(см. скан)

ДОПОЛНИТЕЛЬНАЯ ЛИТЕРАТУРА

(см. скан)

(см. скан)

(см. скан)

1
Оглавление
email@scask.ru