Главная > Теория поглощения и испускания света в полупроводниках
НАПИШУ ВСЁ ЧТО ЗАДАЛИ
СЕКРЕТНЫЙ БОТ В ТЕЛЕГЕ
<< Предыдущий параграф Следующий параграф >>
Пред.
След.
Макеты страниц

Распознанный текст, спецсимволы и формулы могут содержать ошибки, поэтому с корректным вариантом рекомендуем ознакомиться на отсканированных изображениях учебника выше

Также, советуем воспользоваться поиском по сайту, мы уверены, что вы сможете найти больше информации по нужной Вам тематике

ДЛЯ СТУДЕНТОВ И ШКОЛЬНИКОВ ЕСТЬ
ZADANIA.TO

Время задержки генерации.

Теория нестационарной генерации твердотельных лазеров, основанная на решении уравнений баланса, наиболее полно изложена в [696]. Временным характеристикам излучения инжекционных лазеров посвящены обзоры [697, 698]. Рассчитаем время задержки генерации, опираясь на результаты, полученные в предыдущих параграфах этой главы.

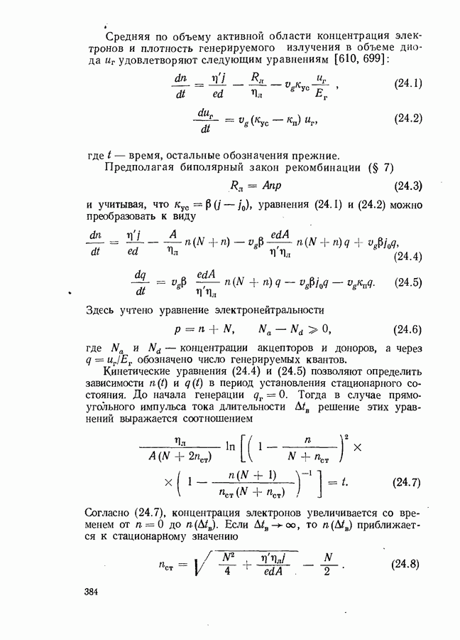
Средняя по объему активной области концентрация электронов и плотность генерируемого излучения в объеме диода удовлетворяют следующим уравнениям [610, 699]:

где время, остальные обозначения прежние.

Предполагая биполярный закон рекомбинации (§ 7)

и учитывая, что уравнения (24.1) и (24.2) можно преобразовать к виду

Здесь учтено уравнение электронейтральности

где концентрации акцепторов и доноров, а через обозначено число генерируемых квантов.

Кинетические уравнения (24.4) и (24.5) позволяют определить зависимости в период установления стационарного состояния. До начала генерации Тогда в случае прямоугольного импульса тока длительности решение этих уравнений выражается соотношением

Согласно (24.7), концентрация электронов увеличивается со временем от до Если то приближается к стационарному значению

После прекращения возбуждения уменьшение концентрации электронов описывается формулой

Из анализа (24.7) следует, что с увеличением плотности тока время установления стационарного режима уменьшается.

Если за время импульса тока концентрация электронов достигает порогового значения то из уравнения (24.4) можно оценить время задержки между началом генерации и импульсом накачки. Учитывая, что величина определяется формулой (24.8) при получаем

где порог генерации в стационарном режиме,

По сравнению с выражением, приведенным в работе [700], в формуле (24.10) учитывается зависимость времени жизни электронов от плотности тока, что необходимо делать при малых значениях Для достаточно больших коэффициенты порядка 1 и формула (24.10) упрощается

При параметр равен времени жизни электронов обусловленному спонтанной рекомбинацией, а выражение (24.12) совпадает с известной формулой работы [700].

Согласно (24.10), значение уменьшается с увеличением при фиксированном превышении порога генерации Увеличение степени легирования также уменьшает время задержки, - а зависимость становится слабее. Если полагать, что обратно пропорционально то уменьшение например, с ростом температуры или из-за дефектов, кристалла приводит к уменьшению С другой стороны, изменения инжекционной эффективности не отражаются на величине задержки.

При учете радиационного шума в уравнение (24.1) надо добавить член, описывающий вынужденные оптические переходы под действием люминесценции. Если реабсорбция люминесценции существенна, то в случае, когда величина уменьшается с увеличением ширины диода (§ 23), задержка может возрасти по сравнению с при малой плотности радиации шума. Таким образом, изменения плотности люминесценции в объеме диода при изменении его размеров могут явиться одной из причин наблюдаемой на опыте [701] зависимости времени задержки от площади -перехода.

Как видно из (24.12), график зависимости 4 от выражается отрезком прямой, тангенс угла наклона которой равен Это позволяет по измеренной на опыте зависимости времени задержки от плотности тока определить время жизни электронов То. Для GaAs инжекционных лазеров получено нсек, а время нарастания стимулированного испускания было менее 0,2 нсек [700].

Формула (24.10) связывает время задержки генерации с многими параметрами, характеризующими активный слой. Поэтому не удивительно, что на опыте обнаружена зависимость от технологии получения -переходов, от концентрации легирующих примесей, от термообработки и геометрических размеров диодов [697, 698]. Значительное влияние на время задержки оказывает температура. В ряде диодов обнаружено увеличение значения на два. порядка в небольшом интервале температур около некоторой переходной температуры [702—704]. Характерно, что одновременно с увеличением времени задержки при небольшом превышении плотности тока над порогом наблюдается генерация в

Рис. 125. Зависимость порогового тока гетеролазера на основе от температуры: I — область свободной генерации; II — область модулированной добротности; III — область спонтанного испускания [705]. Вертикальная черта соответствует переходной температуре

режиме модулированной добротности. Это иллюстрируется рис. 125.

Механизм модуляции добротности и причины больших значений времени задержек связываются с наличием в кристалле особых поглощающих центров (ловушек), которые становятся активными при определенных температурах. До тех пор, пока не наступит насыщение поглощения света ловушками, инверсная населенность не может достигнуть уровня, необходимого для получения генерации [703]. В литературе предложено несколько моделей поглощающих центров, однако вопрос этот нельзя считать окончательно решенным [706].

1
Оглавление
email@scask.ru