Главная > Механика гибких стержней и нитей
НАПИШУ ВСЁ ЧТО ЗАДАЛИ
СЕКРЕТНЫЙ БОТ В ТЕЛЕГЕ
<< Предыдущий параграф Следующий параграф >>
Пред.
След.
Макеты страниц

Распознанный текст, спецсимволы и формулы могут содержать ошибки, поэтому с корректным вариантом рекомендуем ознакомиться на отсканированных изображениях учебника выше

Также, советуем воспользоваться поиском по сайту, мы уверены, что вы сможете найти больше информации по нужной Вам тематике

ДЛЯ СТУДЕНТОВ И ШКОЛЬНИКОВ ЕСТЬ
ZADANIA.TO

7. Двойное векторное произведение. Тождество Лагранжа.

Двойное векторное произведение а представляет собой вектор перпендикулярный к векторам т. е. он лежит в плоскости векторов бис.

Вектор равный

можно преобразовать к виду [6]

Рассмотрим два вектора, получающиеся из (1.34) при циклической перестановке векторов :

Сложив векторы получим тождество

которое называется тождеством Лагранжа.

1
Оглавление
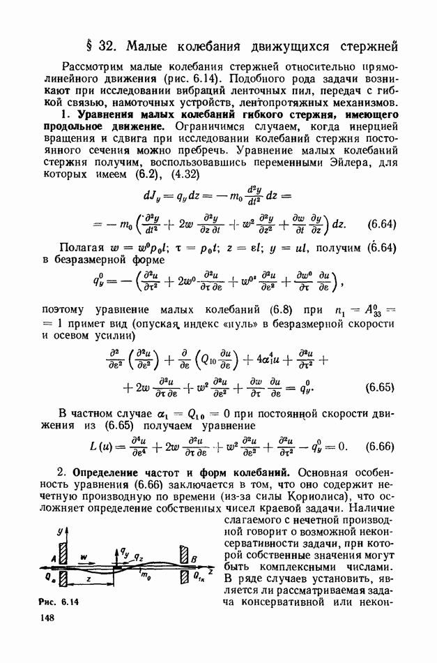
email@scask.ru