Главная > Основы оптики
НАПИШУ ВСЁ ЧТО ЗАДАЛИ
СЕКРЕТНЫЙ БОТ В ТЕЛЕГЕ
<< Предыдущий параграф Следующий параграф >>
Пред.
След.
Макеты страниц

Распознанный текст, спецсимволы и формулы могут содержать ошибки, поэтому с корректным вариантом рекомендуем ознакомиться на отсканированных изображениях учебника выше

Также, советуем воспользоваться поиском по сайту, мы уверены, что вы сможете найти больше информации по нужной Вам тематике

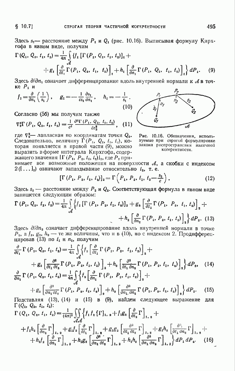
ДЛЯ СТУДЕНТОВ И ШКОЛЬНИКОВ ЕСТЬ
ZADANIA.TO

§ 8.4. Переход к скалярной теории

При выводе интегральной теоремы Кирхгофа мы воспользовались только одним свойством функции а именно тем, что она удовлетворяет однородному скалярному волновому уравнению. Следовательно, эта теорема и заключения предыдущей главы применимы к каждой декартовой компоненте векторов поля, векторного потенциала, векторов Герца и т. д. в областях, где не существует ни токов, ни зарядов. Для того чтобы полностью описать поле, теорему Кирхгофа следует применять отдельно к каждой декартовой компоненте. Однако в силу удачного стечения обстоятельств в большинстве оптических задач вполне достаточно приближенного описания поля одной комплексной скалярной волновой функцией.

Для полного описания электромагнитного поля необходимо знать величины векторов поля, а также их направления (поляризацию) как функции положения и времени. Но в оптическом поле вследствие его очень высокой частоты (порядка измеряются не мгновенные значения этих величин, а лишь значения, усредненные по времени в интервале, большом по сравнению с периодом световых колебаний. Более того, обычно имеют дело с естественным светом, где в наблюдаемом (макроскопическом) поле нет преимущественных направлений поляризации. В этом случае первостепенное значение имеет интенсивность I, уже определенная в п. 1.1.4 как средняя повремени энергия, протекающая в единицу времени через единицу площади, содержащую электрический и магнитный векторы, т. е.

Мы покажем, что интенсивность электромагнитного поля, связанного с прохождением естественного света через правильно рассчитанные оптические приборы с отверстием средней величины, можно приближенно выразить через одну комплексную скалярную волновую функцию с помощью формулы

и что функцию можно вычислить, зная эйконал системы.

8.4.1. Поле изображения, создаваемое монохроматическим осциллятором.

Рассмотрим симметричную оптическую систему, освещенную точечным

источником света, находящимся в (рис. 8.7) и испускающим естественный квазимонохроматический свет с частотой Предположим, что угол наклона лучей, прошедших сквозь систему, к оси невелик, скажем, не больше 10° или 15°. Поместим начало декартовой системы координат в точку и будем считать, что ось направлена вдоль главного луча. Можно рассматривать источник как диполь с моментом которого со временем изменяется и величина и ориентация.

Рис. 8.7. Распространение электромагнитной волны через оптическую систему.

Запишем компоненты по трем направлениям в виде интегралов Фурье, т. е.

Так как действительно, комплексные величины удовлетворяют соотношениям

где звездочка означает комплексное сопряжение. Следовательно, (1) можно записать в виде

Каждая компонента Фурье в (3) представляет собой монохроматический осциллятор Герца с осью вдоль направления

Пусть — амплитуда и фаза , т. е.

Так как предполагается, что наш источник излучает квазимонохроматический свет, модуль для каждого заметно отличается от нуля только в узком интервале Предположение о том, что источник испускает естественный свет, означает, что функции быстро и беспорядочно изменяются по частотному диапазону.

Так как исследуемое поле можно рассматривать как суперпозицию строго монохроматических полей, то удобнее сначала исследовать вклад, вносимый в интенсивность каждым монохроматическим осциллятором Герца, находящимся в . Поле такого осциллятора слабо вблизи его оси, и можно принять, что углы, под которыми из видны диаметры входного зрачка, малы; поэтому существенный вклад в поле вносят только компоненты а именно Возьмем в качестве произвольного осциллятора такой, ось которого лежит в плоскости .

Пусть

— момент такого произвольного диполя, а — единичный вектор в направлении оси диполя. Поле этого диполя в точке Т в вакууме на расстоянии от точки большом по сравнению с длиной волны определяется (см, (2.2.64)) выражениями

где — обозначает единичный радиальный вектор.

Пусть — произвольный геометрический волновой фронт в пространстве предметов на расстоянии от большом по сравнению с длиной волны. Так как мы предположили, что углы, которые лучи составляют с осью системы, малы, то из (6) непосредственно следует, что в любой данный момент векторы незначительно изменяются по величине и по направлению по всему фронту

Первая поверхность оказывает на падающее поле двойное действие. Во-первых, амплитуды векторов поля уменьшаются вследствие потерь при отражении и, во-вторых, изменяются направления колебаний. Формулы Френеля показывают, что оба эффекта зависят главным образом от величины утла падения. Если угол мал (около 10°), потери на отражение также малы (около а поворот плоскостей колебаний не превышает нескольких градусов (см. § 1.5). Кроме того, эти эффекты практически одинаковы по всей поверхности Так как независимые от времени части незначительно изменяются по волновому фронту они столь же мало изменяются и по преломленному волновому фронту распространяющемуся после (см. рис. 8.7). Те же рассуждения применимы к обоим нолям и на любом другом волновом фронте, движущемся в пространстве между и второй поверхностью а. В самом деле, в п. 3.1.3 было показано, что в однородной среде направление колебаний вдоль каждого луча остается постоянным и, так как волновые фронты близки к сферическим (с центром в параксиальном изображении точки первой поверхностью), то амплитуды уменьшаются почти в отношении параксиальных радиусов кривизны волновых фронтов.

Повторяя те же рассуждения, мы в конце концов перейдем к волновому фронту проходящему через центр С выходного зрачка, и снова отмстим, что независимые от времени части не изменяются заметным образом по этому волновому фронту. Такой результат позволяет сразу написать приближенное математическое выражение для векторов поля в области изображения.

Пусть начало прямоугольной системы декартовых координат находится в параксиальном изображении точки а ось направлена вдоль Поле во всех точках отверстия, за исключением точек, находящихся в непосредственной близости от его края, можно приближенно представить в виде выражений (см. гл. 3)

которые мы вправе рассматривать как обобщение (6). Здесь — длина оптического пути от точки предмета до точки и — взаимно ортогональные вещественные векторы . В однородной немагнитной среде с показателем преломления эти векторы удовлетворяют соотношению (см. уравнения (3.1.19) и (3.1.20))

Рассмотрим опорную сферу с центром в проходящую через центр С выходного зрачка, и обозначим ее радиус через Практически расстояние между и V нигде не превышает нескольких десятков длин волн. Следовательно, на , так же как и на векторные амплитуды практически постоянны по величине и по направлению.

Пусть Р (X, — точка в области изображений, где определяется интенсивность. Если углы, под которыми из Р видны диаметры выходного зрачка, малы, то, используя формулу Кирхгофа с теми же допущениями, как и в предыдущем параграфе, и интегрируя выражение (7) по части поверхности

5, приблизительно покрывающей выходной зрачок, найдем, пренебрегая изменением коэффициента наклона на

Здесь — расстояние от произволыюйточки на опорной сфере до точки Р.

Так как векторы не меняются заметно по поверхности интегрирования, можно заменить их значениями и которые они принимают в центре С выходного зрачка. Тогда, поскольку эти векторы взаимно ортогональны и удовлетворяют (8), можно принять, если вдобавок считать что

где ортогональнце единичные векторы, лежащие в плоскости перпендикулярной к направлению Соотношение (9) принимает вид

где — скалярная волновая функция вида

Вычисляя вектор Пойнтинга и усредняя по времени, получим непосредственно из (11), что интенсивность в точке обусловленная одиночным диполем (определяемым формулой (5)), помещенным

в пропорциональна квадрату модуля скалярной волновой функции Однако, чтобы использование одной скалярной волновой функции для расчета интенсивности было оправдано, усреднение по времени следует выполнять не для одной монохроматической компоненты, а для всего поля.

1
Оглавление
email@scask.ru