Главная > Факторный анализ (Иберла К.)
НАПИШУ ВСЁ ЧТО ЗАДАЛИ
СЕКРЕТНЫЙ БОТ В ТЕЛЕГЕ
<< Предыдущий параграф Следующий параграф >>
Пред.
След.
Макеты страниц

Распознанный текст, спецсимволы и формулы могут содержать ошибки, поэтому с корректным вариантом рекомендуем ознакомиться на отсканированных изображениях учебника выше

Также, советуем воспользоваться поиском по сайту, мы уверены, что вы сможете найти больше информации по нужной Вам тематике

ДЛЯ СТУДЕНТОВ И ШКОЛЬНИКОВ ЕСТЬ
ZADANIA.TO

7.4. ОСНОВНЫЕ ВЫВОДЫ ПО РЕЗУЛЬТАТАМ МОДЕЛИРОВАНИЯ

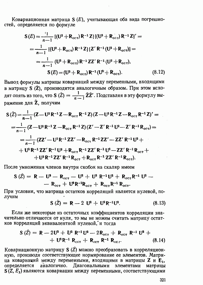
В предыдущих главах на отдельных моделях и экспериментах, имеющих методологический характер, было показано, что факторный анализ может по наблюдаемым переменным обнаружить скрытые за ними, непосредственно не измеряемые величины и дать оценку этих величин (факторов) для отдельного индивидуума. Этот вывод, полученный на основе моделей, не может быть безоговорочно распространен на все случаи. Выявление структуры исходных данных с помощью факторного анализа было продемонстрировано на специально подобранных примерах, но строго не доказано. Поэтому к выводам о точности оценок значений факторов тоже нужно относится критически.

Поиск простой структуры, заранее заложенной в исходные данные моделей, производился по определенной методике, включающей в себя оценку общностей; как можно более точное определение числа факторов, подлежащих выделению; выделение факторов центроидным методом или методом главных факторов и вращение с целью определения простой структуры. При проведении аналогичного исследования следует иметь в виду, что если не обеспечивается ортогональность факторов, как это выполняется при моделировании на ЭВМ, то необходимо производить вращение осей координат до нахождения косоугольной простой структуры. Факторы, являющиеся значимыми по критерию Баргмана, большей частью содержательно интерпретируются. Нами еще не было проведено исследование на моделях метода максимального правдоподобия.

К сожалению, при решении задачи группировки переменных, кроме концепции простой структуры, не имеется других критериев. Задача группировки переменных заключается в разбиении переменных на такие группы, что переменные, входящие в одну группу, сильно коррелируют между собой, а переменные, входящие в разные группы, — слабо. Вполне допустим такой подбор переменных на моделях или при практических исследованиях, что не может быть найдено однозначного положения системы координат, удовлетворяющего принципу простой структуры. В этом случае число выделенных факторов дает лишь формальное описание размерности исследуемого факторного пространства. Но эти факторы не могут быть содержательно проинтерпретированы и оценки их значений носят произвольный характер. В этом случае нельзя сделать никакого определенного вывода о структуре данных.

С другой стороны, вполне возможно путем вращения обнаружить простую структуру, обеспечивающую наиболее простое описание переменных в терминах факторов, лежащих в основе данного явления. Но в то же время нахождение простой структуры, удовлетворяющей критерию значимости Баргмана, еще не гарантирует, что выделенные факторы существуют реально. Они могут служить лишь основой для первоначальной гипотезы, которая отличается особой простотой, но требует дополнительной проверки. На все это одним из первых указал Оверолл [217; 2] в своей критике исследований на моделях и привел соответствующие примеры.

Известные до сих пор исследования на моделях показывают принципиальную возможность выявления простой структуры, если она действительно присуща исходным данным. В этом случае размерность исследуемого факторного пространства вполне согласуется с выявленными функциональными единицами, причинно обусловливающими взаимодействие переменных. И это нельзя рассматривать как случайное совпадение, особенно если оно подтверждается дальнейшими исследованиями. Но данный вывод, полученный на основе отдельных экспериментов, к сожалению, не может быть обобщен. Мы можем сослаться только на такие поразительные факты, что результаты факторного анализа, примененного различными исследователями к одним и тем же данным с четкой структурой, совпадают друг с другом. Следовательно, методика факторного анализа позволяет исследователям вслепую обнаружить число и вид независимых функциональных единиц, вызывающих вариацию переменных и действительно присущих данному явлению. Примеры (один из которых приведен Овероллом [217; 2]), отрицающие эти утверждения, не могут рассматриваться в качестве опровержения объективности процедур факторного анализа, так же как приведенные здесь примеры поиска простой структуры не могут служить доказательством их объективности.

Моделирование на ЭВМ (гл. 7.3) позволяет утверждать, что задача, которая ставится перед факторным анализом, — выявить величины, не поддающиеся непосредственному измерению, и представить их в виде измеренных — вполне разрешима. Факторный анализ в подавляющем большинстве случаев приводит к оценкам значений факторов, которые более тесно коррелируют с действительными их значениями, чем наблюдаемые переменные.

Таким образом, объективность процедур факторного анализа эмпирически считается доказанной.

Достоверность оценок значений факторов зависит главным образом от степени связи между переменными и факторами. Чем теснее эта связь, тем больше точность оценки. Число переменных, приходящихся на фактор, также оказывает влияние, но в значительно меньшей степени. Большой точности оценивания можно достигнуть только при тесной корреляционной связи между переменными и факторами. Слабая корреляционная связь не может быть компенсирована увеличением числа переменных, связанных с фактором. Увеличение объема выборки не улучшает точности оценок, если связь между переменными и факторами слабая. Если же эта связь тесная, то уменьшение объема выборки не приводит к резкому снижению точности оценивания. При коэффициентах корреляции, занимающих промежуточное положение между этими крайними случаями, возможно некоторое повышение точности за счет увеличения объема выборки. Более сильное рассеяние факторных нагрузок приводит к увеличению точности оценок. При этом сравнение производится с результатами оценивания при одинаковых факторных нагрузках и при совпадении средних значений нагрузок в обеих сериях опытов. Преобразование нормально распределенных случайных величин в переменные с альтернативной вариацией, особенно при неравномерном распределении значений переменных в альтернативных группах, снижает точность оценивания. Это объясняется тем, что уже перед вычислением корреляционной матрицы происходит потеря информации. Если коэффициенты корреляции между переменными с альтернативной вариацией равны коэффициентам корреляции между нормально распределенными переменными, то точность оценок значений факторов будет не хуже. Точность оценок, полученных методом множественной регрессии, только тогда выше точности оценок, полученных с помощью факторного анализа, когда связь между переменными и факторами слабая.

Эти выводы были получены в результате моделирования процедур факторного анализа на ЭВМ при одном существенном ограничении — факторы не перекрывались. Переменные нагружали либо первый из двух факторов, либо второй, но не оба сразу. В принципе вполне возможно провести аналогичное исследование с перекрывающимися факторами. Опираясь на приобретенный опыт, можно предположить, что точность оценок значений перекрывающихся факторов будет незначительной в случае отсутствия четкой простой структуры.

Приведенные выше выводы справедливы только для той методики факторного анализа, которая была применена при моделировании (в качестве оценок общностей принимались наибольшие значения коэффициентов корреляции в каждом столбце матрицы R, использовались метод главных факторов и варимакс-вращение). Эти процедуры факторного анализа наиболее распространены. Как изменяются точности оценок при других методах факторного анализа, не исследовано. Генерируемые на ЭВМ факторы были ортогональны. Поэтому с помощью варимакс-критерия добивались наилучшей ортогональной аппроксимации простой структуры.

В силу того что аналитические методы косоугольного вращения не всегда приводят к эффективным результатам, они не привлекались при моделировании на ЭВМ. В исследованиях на модели выделяли два фактора, так как заранее было известно, что корреляция переменных обусловлена именно двумя факторами. На практике число факторов, подлежащих выделению, оценивается заранее одним из разработанных для этого способов. Однако этот вопрос наряду с различными подходами к решению проблемы общностей остался неисследованным при моделировании процедур факторного анализа на ЭВМ.

Итак, хотя ряд частных вопросов еще не решен, в общем можно сделать вывод, что результаты факторного анализа эмпирически подтверждены. Точность метода была изучена при некоторых конкретных условиях. Моделирование на ЭВМ дает возможность получить ответы на вопросы, связанные с применением факторного анализа.

1
Оглавление
email@scask.ru