Главная > Радиосигналы и переходные явления в радиоцепях
НАПИШУ ВСЁ ЧТО ЗАДАЛИ
СЕКРЕТНЫЙ БОТ В ТЕЛЕГЕ
<< Предыдущий параграф Следующий параграф >>
Пред.
След.
Макеты страниц

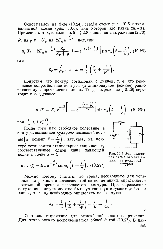
Распознанный текст, спецсимволы и формулы могут содержать ошибки, поэтому с корректным вариантом рекомендуем ознакомиться на отсканированных изображениях учебника выше

Также, советуем воспользоваться поиском по сайту, мы уверены, что вы сможете найти больше информации по нужной Вам тематике

ДЛЯ СТУДЕНТОВ И ШКОЛЬНИКОВ ЕСТЬ
ZADANIA.TO

ГЛАВА 7. ПРОХОЖДЕНИЕ АМПЛИТУДНО-МОДУЛИРОВАННЫХ КОЛЕБАНИЙ ЧЕРЕЗ РЕЗОНАНСНЫЕ СИСТЕМЫ

§ 7.1. Общие соображения

Пусть модулированная по амплитуде электродвижущая сила, определяемая условиями:

действует на линейный четырёхполюсник с коэффициентом передачи

Напряжение (или ток) на выходе системы может быть найдено на основании выражения (2.28), которое, конечно, сохраняет силу и для модулированной эдс. Не накладывая пока на огибающую каких-либо ограничений, найдём изображение для функции заданной условиями (7.1). В соответствии с ф-лой (2.4), получаем:

Применение непосредственно к огибающей даёт для последней изображение

Можно поэтому выражение (7.2) записать в виде:

Напряжение на выходе четырёхполюсника согласно ф-лам (2.28) и (7.2) даётся выражением:

Изображение в первом интеграле имеет полюс при во втором — при

На основании ф-лы (2.22) можно ограничиться одним первым слагаемым в правой части (7.3), отбросив коэффициент 1/2 и выделив вещественную часть:

Здесь коэффициент передачи цепи, получаемый из частотной характеристики заменой на

Применительно к колебательным системам с резко выраженными резонансными свойствами коэффициент передачи удобно выражать в виде функции расстройки текущей частоты относительно резонансной частоты

или

Тогда выражение (7.4) может быть записано в виде:

Переходя к новой переменной получим окончательное решение в виде:

Анализируя полученное выражение, приходим к выводу, что комплексная огибающая выходного напряжения или тока может быть выражена формулой:

в которой — постоянная расстройка частоты эдс относительно резонансной частоты сор, изображение огибающей на входе.

Из соотношения (7.6), рассматриваемого как обратное преобразование Лапласа, следует, что изображение огибающей может быть записано в виде равенства:

подобного равенству (2.27) для изображения мгновенного значения

Вычисление интеграла (7.6) при подстановке точного выражения для требует обычно очень громоздких преобразований. Целесообразно использовать упрощения, вытекающие из того факта, что в реальных избирательных системах коэффициент передачи существенно больше нуля только в относительно узкой области частот вблизи резонансной частоты системы.

Это очевидное для радиотехнических колебательных цепей условие позволяет настолько упростить выражение для что вычисление интеграла (7.6) в большинстве случаев не представляет труда.

Решение особенно упрощается при т. е. при совпадении частоты заполнения эдс с резонансной частотой цепи. Применение выражения (7.6) к некоторым распространённым в практике колебательным системам рассматривается в последующих параграфах данной главы. Сделаем предварительна несколько замечаний относительно огибающей и его изображения

Если огибающая определяется условием вида (6.12), т. е. представляет собой единичный скачок, то выражение (7.5) определяет напряжение на выходе системы, соответствующее включению на входе в момент гармонической эдс с амплитудой, равной одному вольту.

Изображение для огибающей в виде скачка при согласно ф-ле (2.4) в обозначениях, принятых для выражений (7.4 — 7.5), напишется в виде:

Следовательно, выражение

можно рассматривать как переходную функцию для огибающей, т. е. как функцию, определяющую закон изменения комплексной огибающей на выходе четырёхполюсника при единичном скачке огибающей эдс на входе.

Если зададим огибающую в виде линейно нарастающей функции то изображение в соответствии с ф-лой (2.4) будет Вообще из определения переменной следует, что изображение для может быть получено из выражений для спектральной плотности огибающей (см. § 6.2) простой заменой на или, что то же самое, на

1
Оглавление
email@scask.ru