Главная > Элементарная математика с точки зрения высшей, Т.1. Арифметика. Алгебра. Анализ
НАПИШУ ВСЁ ЧТО ЗАДАЛИ
СЕКРЕТНЫЙ БОТ В ТЕЛЕГЕ
<< Предыдущий параграф Следующий параграф >>
Пред.
След.
Макеты страниц

Распознанный текст, спецсимволы и формулы могут содержать ошибки, поэтому с корректным вариантом рекомендуем ознакомиться на отсканированных изображениях учебника выше

Также, советуем воспользоваться поиском по сайту, мы уверены, что вы сможете найти больше информации по нужной Вам тематике

ДЛЯ СТУДЕНТОВ И ШКОЛЬНИКОВ ЕСТЬ
ZADANIA.TO

АРИФМЕТИКА

I. ДЕЙСТВИЯ НАД НАТУРАЛЬНЫМИ ЧИСЛАМИ

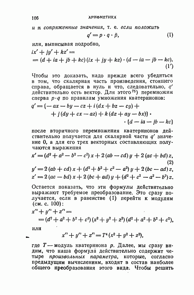
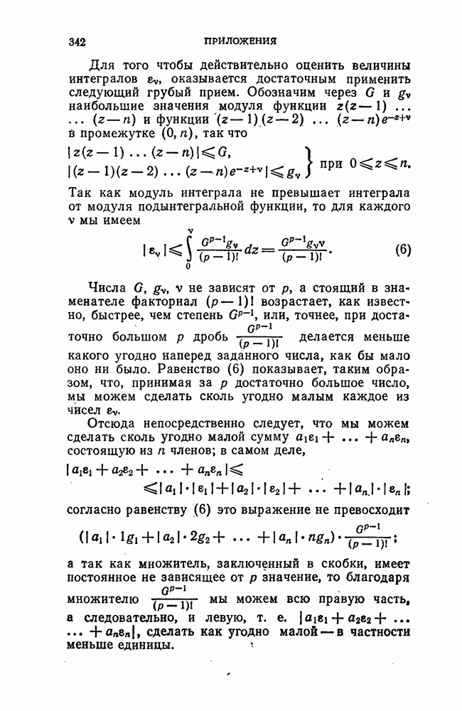
Естественно, что мы начнем прежде всего с основного вопроса всей арифметики, т. е. с действий над целыми положительными числами. Здесь, как и во всем своем изложении, я намерен прежде всего поставить вопрос о том, как этот предмет трактуется в школе, а затем уже займусь исследованием того, что он, собственно, в себе содержит с более глубокой точки зрения.

1. Введение чисел в школе

Я ограничусь здесь краткими указаниями, так как вы, несомненно, еще помните, как вы сами учились этим вещам в школе. Я, конечно, отнюдь не имею в виду действительно ввести вас в практику школьного обучения, как это делается на семинарских занятиях в средних учебных заведениях. Я только приведу материал, который поможет нам ориентироваться в наших критических рассуждениях.

Ознакомить детей с учением о целых числах, приспособляясь к их пониманию, научить их действиям над ними так, чтобы они этим предметом вполне овладели, в высшей степени трудно и требует многолетних усилий, начиная с первого года обучения вплоть до третьего класса гимназии. Тот способ изложения, который в настоящее время господствует почти во всех наших школах, можно лучше всего характеризовать словами «наглядно» и «генетически». Это значит, что весь материал развивается постепенно на почве хорошо известных, наглядных представлений. В этом заключается коренное отличие от логического и систематического метода обучения, который практикуется в высшей школе. Весь материал расчленяется приблизительно следующим образом (в точности, конечно, этого указать невозможно).

Весь первый год обучения посвящается счету в пределах первых двух десятков, а примерно первое полугодие — даже счету в пределах одного десятка. Числа вводятся как числовые образы, составленные из точек, или как количества всевозможных доступных детям предметов. Сложение и умножение объясняются детям и усваиваются ими на наглядных представлениях. На второй ступени разрабатывается числовая область от единицы до ста; в этот период обучения, а зачастую еще и раньше вводятся арабские цифры, выясняется значение места, занимаемого цифрой в числе, и вообще вводится десятичная система. Хочу здесь попутно указать, что установившееся название «арабские цифры», как и многое в обычной терминологии, исторически неправильно. Эта система счисления в действительности ведет начало от индусов, а не от арабов.

Следующая важная задача, относящаяся к этой ступени обучения, есть разучивание таблицы умножения. Сколько составит 5X3 или 3X8, нужно всегда помнить наизусть, а поэтому и заставляют детей выучить табличку наизусть, пояснив им ее предварительно на наглядных примерах. Для этого служит главным образом «счетная машина», обычно называемая счетами. Она состоит из десяти параллельно укрепленных проволок, по которым свободно передвигаются по десяти шариков на каждой. Передвигая надлежащим образом шарики, мы можем прочесть на счетах результат умножения, написанный уже в десятичной форме.

Третий год обучения посвящается действиям над многозначными числами по известным простым правилам, справедливость которых детям обыкновенно ясна, или, по крайней мере, должна была бы быть ясна. Правда, этой ясности еще обыкновенно недостаточно для того, чтобы ученик вполне усвоил правило, и учитель нередко прибегает к очень действенному средству: «если ты этого не будешь знать, то тебе придется плохо!».

Я хочу здесь подчеркнуть еще одну сторону всего этого обучения, ибо этой стороной дела обыкновенно пренебрегают в высшей школе; именно, с самого начала уделяется особенное внимание приложениям счета к потребностям практической жизни.

Числа с самого начала вводятся на конкретных примерах практической жизни; ученик очень скоро начинает считать монетами, мерами, весами, и вопросом «Сколько стоит?», столь важным в повседневной жизни, начинается обыкновенно немалая часть наших школьных задач. Отсюда преподаватель постепенно восходит к таким задачам (к так называемым «скрытым» задачам), в которых ход вычисления предполагает уже некоторое самостоятельное рассуждение; это приводит к задачам на пропорциональное деление, смешение. К словам «наглядно» и «генетически», которыми мы старались охарактеризовать школьное обучение, в качестве третьей характеристики мы могли бы присоединить «практические приложения».

Если бы мы, наконец, еще хотели охарактеризовать в немногих словах и цель обучения арифметике, то мы должны были бы сказать следующее: она заключается в том, чтобы приучить детей уверенно владеть арифметическими действиями, пользуясь при этом различными параллельно развивающимися психологическими соображениями, к которым приходится апеллировать, не настаивая глубоко на логичной концепции, связывающей этот материал.

Упомяну здесь кстати о некоторой вражде, играющей для школы нередко фатальную роль, — именно, о вражде между преподавателями, получившими образование в учительских семинариях, и преподавателями, вышедшими из высших учебных заведений. Начиная с третьего класса, на место преподавателя, получившего образование в семинарии, вступает лицо с высшим образованием. Вследствие этого в ходе обучения часто происходит разрыв, достойный всякого сожаления. Бедные дети часто бывают вынуждены внезапно оперировать совершенно другими выражениями, нежели те, к которым они до того привыкли и над которыми теперь даже издеваются. Небольшим примером является, скажем, различие в знаках умножения: крест, который предпочитает учитель начальных классов, и точка, которой охотнее пользуются математики. Это враждебное отношение можно сгладить только в том случае, если преподаватели, приходящие из высшей школы, отнесутся с большим вниманием к своим коллегам из семинарии и будут стараться сойтись с ними.

Это вам легко удастся выполнить, если вы всегда будете помнить, с каким уважением вы должны относиться к народному учителю. Подумайте только, какую нужно выработать в себе методическую выдержку, чтобы постоянно обучать арифметике сотни тысяч неразумных мальчишек, не приносящих в школу никакой предварительной подготовки. Попытайтесь это сделать, и вы убедитесь, что вся ваша академическая подготовка принесет вам здесь мало пользы.

Однако после этого краткого отступления возвратимся к школьному преподаванию. В третьем и, в особенности, в четвертом классе обучение счету постепенно принимает уже благородное облачение математики, что характеризуется прежде всего переходом к буквенному исчислению. Буквами а, b, с или х, у, z обозначают какие-нибудь числа, хотя первоначально все же целые положительные; над этими числовыми значениями, изображаемыми буквами, производят действия, исходя из конкретного, наглядного содержания, которое присваивается числам. Это представляет уже существенный шаг вперед в переходе от конкретного к абстрактному; математика, собственно, и начинается с действий над буквами. Конечно, этот переход не должен совершаться в школе внезапно; напротив, нужно приучить юношу к абстракции постепенно.

Но уже здесь в деле обучения становится совершенно необходимым, чтобы сам преподаватель был хорошо знаком с логическими законами и основами счета и теории целых чисел, хотя бы ему, естественно, и не приходилось непосредственно сообщать их ученикам. Займемся поэтому теперь несколько подробнее основными законами счета.

1
Оглавление
email@scask.ru