Главная > Квантовая электродинамика
НАПИШУ ВСЁ ЧТО ЗАДАЛИ
СЕКРЕТНЫЙ БОТ В ТЕЛЕГЕ
<< Предыдущий параграф Следующий параграф >>
Пред.
След.
Макеты страниц

Распознанный текст, спецсимволы и формулы могут содержать ошибки, поэтому с корректным вариантом рекомендуем ознакомиться на отсканированных изображениях учебника выше

Также, советуем воспользоваться поиском по сайту, мы уверены, что вы сможете найти больше информации по нужной Вам тематике

ДЛЯ СТУДЕНТОВ И ШКОЛЬНИКОВ ЕСТЬ
ZADANIA.TO

4.5.4. Аннигиляция пары в два и три фотона.

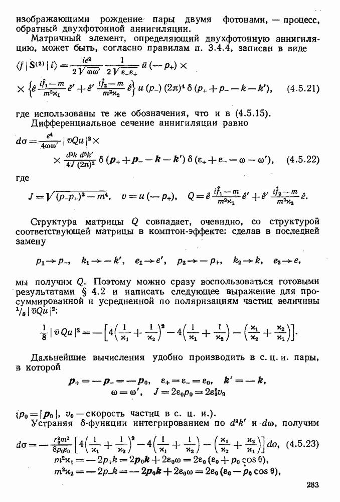
Наряду с образованием электронно-позитронных пар фотонами возможны процессы превращения пар в фотоны. Эти процессы называются аннигиляцией пары. Если электрон и позитрон являются свободными, то аннигиляция с испусканием одного фотона невозможна, так как этот процесс не допускается законами сохранения энергии и импульса.

Рис. 4.14.

Наиболее важным является процесс, при котором сталкивающиеся свободные позитрон и электрон превращаются в два фотона [25, 26]. Двухфотонной аннигиляции пары соответствуют две диаграммы на рис. 4.14. Они совпадают с диаграммами,

изображающими рождение пары двумя фотонами, — процесс, обратный двухфотонной аннигиляции.

Матричный элемент, определяющий двухфотонную аннигиляцию, может быть, согласно правилам п. 3.4.4, записан в виде

где использованы те же обозначения, что и в (4.5.15). Дифференциальное сечение аннигиляции равно

где

Структура матрицы Q совпадает, очевидно, со структурой соответствующей матрицы в комптон-эффекте: сделав в последней замену

мы получим Q. Поэтому можно сразу воспользоваться готовыми результатами § 4.2 и написать следующее выражение для просуммированной и усредненной по поляризациям частиц величины :

Дальнейшие вычисления удобно производить в с. ц. и. пары, в которой

( - скорость частиц в с. ц. и.).

Устраняя -функции интегрированием по , получим

где элемент телесного угла, в котором заключен импульс фотона k, и - угол между . Таким образом,

Чтобы найти интегральное сечение аннигиляции пары, нужно проинтегрировать по от 0 до и по от 0 до (такие пределы соответствуют тому обстоятельству, что возникающие в конечном состоянии частицы — фотоны — неразличимы). В результате мы получим

Так как эта величина представляет собой релятивистский инвариант, то для перехода в другую систему достаточно выразить через энергию частиц в этой системе.

Рассмотрим наиболее интересный случай, когда аннигиляция происходит в результате столкновения позитрона с покоящимся электроном. Подставляя в (4.5.24)

где — энергия позитрона в системе покоя электрона, получим

где При малых энергиях позитрона сечение обратно пропорционально скорости позитрона:

    (4.5.26)

а вероятность аннигиляции w не зависит от скорости;

    (4.5.27)

где — число атомов в единице объема. Время жизни медленного позитрона равно для свинца . При больших энергиях позитрона

Приведем теперь выражение для сечения трехфотонной аннигиляции пары (см. диаграмму рис. 4.16), ограничиваясь случаем больших энергий, в с. ц. и.

    (4.5.29)

где

( — энергия позитрона).

1
Оглавление
email@scask.ru