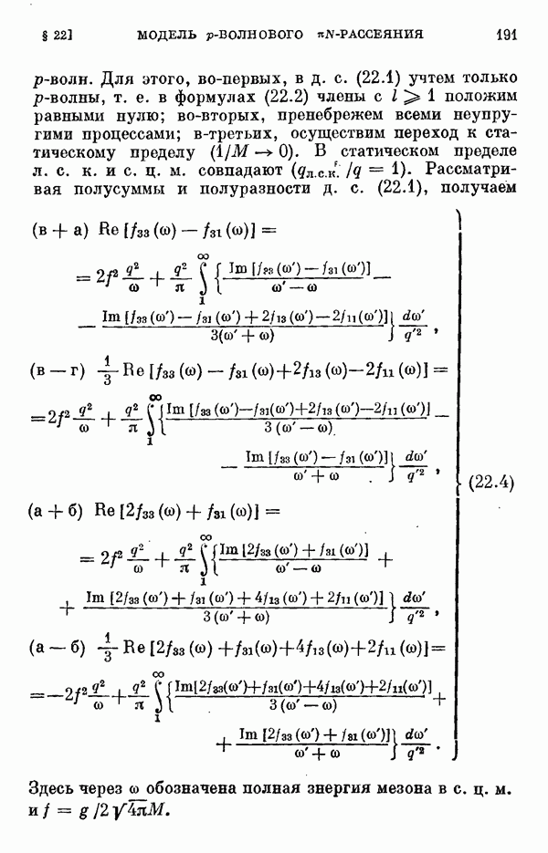
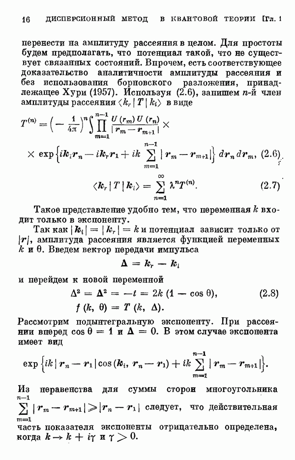
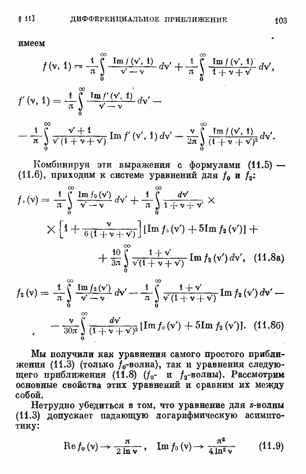
Главная > Дисперсионные теория сильных взаимодействий при низких энергиях
НАПИШУ ВСЁ ЧТО ЗАДАЛИ
СЕКРЕТНЫЙ БОТ В ТЕЛЕГЕ
<< Предыдущий параграф Следующий параграф >>
Пред.
След.
Макеты страниц

Распознанный текст, спецсимволы и формулы могут содержать ошибки, поэтому с корректным вариантом рекомендуем ознакомиться на отсканированных изображениях учебника выше

Также, советуем воспользоваться поиском по сайту, мы уверены, что вы сможете найти больше информации по нужной Вам тематике

ДЛЯ СТУДЕНТОВ И ШКОЛЬНИКОВ ЕСТЬ
ZADANIA.TO

14.2. Адиабатическая ветвь.

Рассмотрим простейшую ветвь решений — адиабатические решения, когда суть постоянные величины, не зависящие от z. Так как при функция и, следовательно, становится больше любой константы, то мы сначала ограничимся областью . В этой области в первом порядке по k, пользуясь условием (14.1), (14.5) и пороговым условием для р-волны, получим

Ясно, что величину к следует взять положительной, так как из (14.1) следует положительность длин рассеяния.

Перейдем к следующему порядку по А, и представим -волны в виде

С -волной дело обстоит несколько сложнее. Поскольку в первом порядке по к амплитуда — тождественный нуль, то это означает, что в представлении (14.6) для функция имеет полюс первого порядка по k, а функция — полюс второго порядка по k. Иными словами, при

Поэтому амплитуду можно представить в виде

В области во втором порядке по k, делая переобозначение, получаем

где функция имеет только правый разрез и обращается в нуль в точке . Постоянная определяется пороговым условием

Во втором порядке по условия кроссинг-симметрии (14.1) принимают вид

где h определены в (13.3). Условие (14.5) имеет вид

Решая эту алгебраическую систему, находим

Функция определена выражением (14.4).

Таким же способом можно получить члены разложения и в следующих порядках по . В области это решение численно близко к решению Чу — Мандельстама — Нойеса (1960). Здесь доминируют -волны, р-волна мала .

Перейдем теперь к области больших z. Нетрудно понять, что в любом порядке разложения по фигурируют интегралы, имеющие только логарифмические асимптотики, причем подынтегральные выражения в при больших z разлагаются по целым степеням / Поэтому при

Обозначая , подучаем систему асимптотических дифференциальных уравнений для парциальных волн:

где h и определены в (13.3). Здесь мы воспользовались унитарным представлением (14.6) для всех парциальных волн и пренебрегли в области Система дифференциальных уравнений (14.11) имеет асимптотическое решение

где определены в (13.11).

Таким образом, доказано, что адиабатическая ветвь решений имеет падающую асимптотику (13.10а), вследствие чего низкоэнергетические свойства решений практически не зависят от высокоэнергетического их поведения.

Интересно отметить, что асимптотики численно не сильно отличаются от точных асимптотик (13.11). Поэтому для -волн решению во втором порядке по X можно верить в широких пределах изменения X и z. Поскольку в -волнах мы не предполагали связанных состояний, то величина X не может быть сколь угодно велика. При больших положительных X знаменатель функции может обратиться в нуль в интервале , что дает полюс в т. е. связанное состояние.

Это связанное состояние возникает у порога в окрестности точки Поэтому интервал значений X, при которых этого не происходит, определяется из (14.8) в виде

Из-за малости коэффициента и функции -волну с изоспином 0 в низкоэнергетической области

в достаточно хорошем приближении можно описать формулой

Величина является, так же как и в квантовомеханическом случае, аналитической функцией от z, в данном случае — в круге с центром в и радиусом, равным 2. Действительно,

Функция равная верхнем берегу правого разреза, имеет спектральное представление

Поэтому

Разлагая это выражение по степеням получим формулы «приближения эффективного радиуса»:

1
Оглавление
email@scask.ru