Главная > Принципы когерентной связи
НАПИШУ ВСЁ ЧТО ЗАДАЛИ
СЕКРЕТНЫЙ БОТ В ТЕЛЕГЕ
<< Предыдущий параграф Следующий параграф >>
Пред.
След.
Макеты страниц

Распознанный текст, спецсимволы и формулы могут содержать ошибки, поэтому с корректным вариантом рекомендуем ознакомиться на отсканированных изображениях учебника выше

Также, советуем воспользоваться поиском по сайту, мы уверены, что вы сможете найти больше информации по нужной Вам тематике

ДЛЯ СТУДЕНТОВ И ШКОЛЬНИКОВ ЕСТЬ
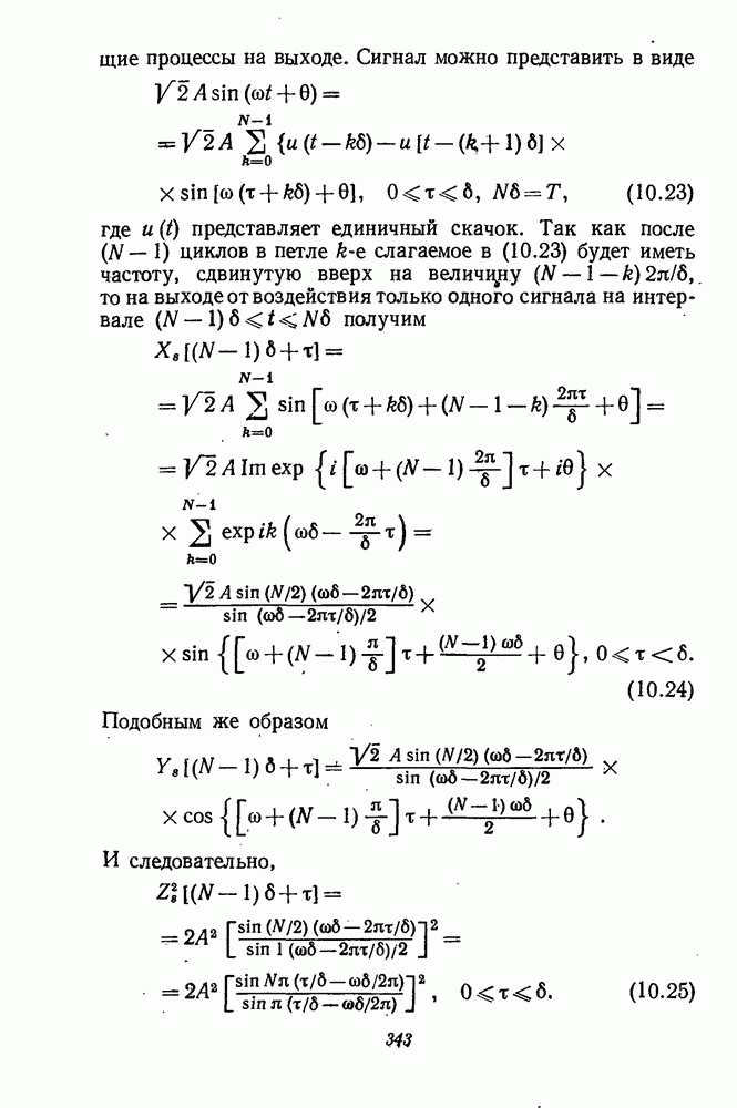
ZADANIA.TO

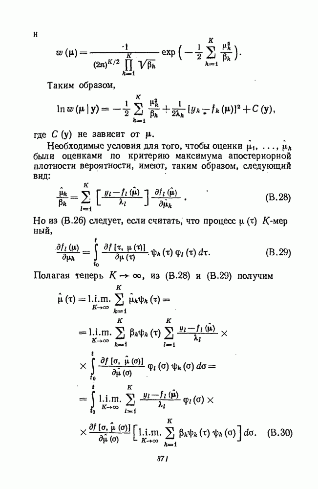
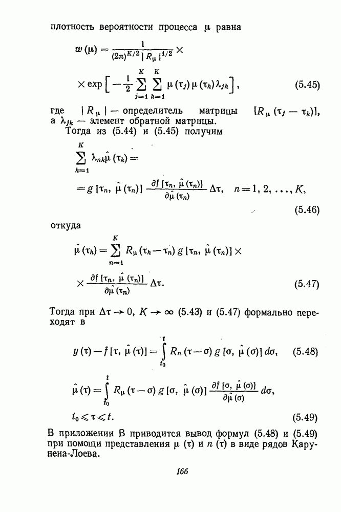
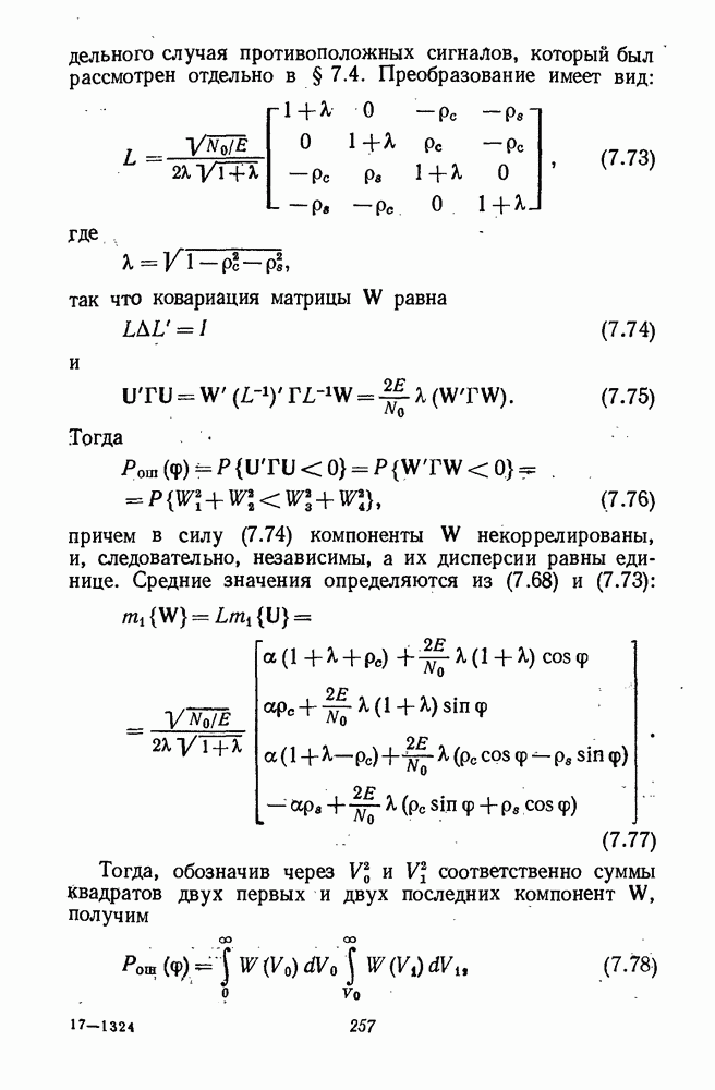
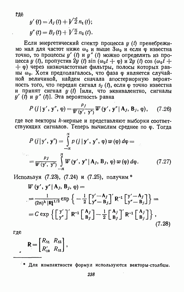
3.4. Система второго порядка с неидеальным интегратором

Если в системе используется RС-фильтр или если интегратор в системе второго порядка не идеален, то передаточная функция фильтра имеет вид

Подставив эту функцию в (3.1), получим

При предположений, что частота входного сигнала постоянна, т. е. . уравнение (3.30) принимает вид

Если нормировать время, так что , то (3.31) переходит в

где

Разделив на , получим

Это соотношение показывает, что особые точки лежат там, где

и

из чего следует, что при

не существует устойчивой точки, и, следовательно, система не может достичь состояния захвата. Условие (3.34) определяет верхнюю границу для захвата фаз; а именно: если частота сигнала на входе отличается от центральной частоты управляемого генератора больше, чем на , то захват фазы невозможен, что следует из свойств особой точки.

Однако при меньшей величине разности захват может не произойти даже при наличии на фазовой плоскости устойчивой точки. Это выявляется из рассмотрения рис. 3.13-3.17, представляющих решения уравнения (3.33), полученные на аналоговом вычислительном устройстве. На всех рисунках . Поведение системы зависит от величины разности . Согласно условию (3.34) для захвата необходимо, чтобы

Рис. 3.13. Траектории на фазовой плоскости для петли второго порядка с неидеальным интегратором .

На рис. 3.13 , так что указанное выше соотношение равно 0,4 и захват хорошо заметен. Если начальная частота управляемого генератора равна его центральной частоте и начальная ошибка по фазе равна нулю, то начальное значение нормированной ошибки по частоте равно

С другой стороны, если в начальный момент частота управляемого генератора не равна его центральной частоте, так как он следил за сигналом иной частоты, то начальное значение не ограничивается. На рис. 3.13 видно, что захват имеет место при любых начальных значениях при данных значениях параметров.

На рис. 3.15 представлено решение при Около значения имеется предельный цикл, к которому сходятся все более высокие траектории. Если в начальный момент частота управляемого генератора равна , то , и система стремится к этому предельному циклу, причем ошибка по частоте изменяется периодически, пока частота входного сигнала остается постоянной. Если в начальный момент частота управляемого

Рис. 3.14. Траектории на фазовой плоскости для петли второго порядка с неидеальным интегратором

Рис. 3.15. Траектории на фазовой плоскости для петли второго порядка с неидеальным интегратором

Рис. 3.16. Траектории на фазовой плоскости для петли второго порядка с неидеальным интегратором

Рис. 3.17. Траектории на фазовой плоскости для петли второго порядка с неидеальным интегратором

генератора не равна может иметь место один из трех случаев (рис. 3.18).

а) Начальная частота управляемого генератора отличается от частоты сигнала со больше, чем центральная частота этого генератора от частоты сигнала; тогда начальное значение больше и траектория будет стремиться к предельному циклу.

б) Частота лежит между тогда в начальный момент и система будет захвачена при достаточно малом значении а в противном случае будет стремиться к предельному циклу. На самом деле на рис. 3.15 видно такое поведение системы в виде неустойчивого предельного цикла, расположенного Ниже устойчивого предельного цикла.

Рис. 3.18. Относительное расположение частоты сигнала, собственной и начальной частот управляемого генератора.

Если начальное значение расположено ниже этого неустойчивого предельного цикла, то имеет место захват. Если оно расположено между предельными циклами, то система стремится к верхнему циклу.

в) Частота лежит с другой стороны от частоты , чем частота тогда в начальный момент отрицательна и система, по-видимому, всегда захватывается.

На рис. 3.14 представлено поведение системы, являющееся промежуточным по отношению к рассмотренным выше. Захват происходит всегда, но быстрота захвата меньше вблизи той области, в которой на рис. 3.15 находился предельный цикл. Таким образом, выявляется, что если начальная частота управляемого генератора равна

при то пределы для наличия захвата лежат в области

На рис. 3.16 и 3.17 представлены решения для и 9/2. Если начальная частота управляемого генератора равна то начальные значения равны соответственно 4 и 9/2 и захвата, конечно, не происходит. И в этом случае проявляется устойчивый предельный цикл, и, кроме того, при отрицательном начальном значении , что соответствует рис. 3.18, в, захват не имеет места, так как траектории, проходящие через полосу, определяемую асимптотами седловой точки, будут стремиться к предельному циклу.

Приведем приближенное аналитическое определение диапазона захвата. Умножив уравнение (3.33) на и проинтегрировав затем в пределах от до , получим меру уменьшения или увеличения ошибки по частоте за один цикл:

Интегрируя по частям, и используя (3.33), получим

Если ошибка по частоте велика, то слагаемые, содержащие в подынтегральном выражении, не будут существенно изменяться на протяжении одного цикла, так что в пределах

цикла при . Тогда

Если правая часть этого уравнения отрицательна, то траектории будут спадать, а это будет иметь место в следующем диапазоне значений разности :

В рассмотренных случаях и , так что если начальная частота управляемого генератора близка к его центральной частоте, то приближенное условие для достижения захвата будет

Это значение попадает в область (3.35), определенную при помощи аналогового вычислителя.

1
Оглавление
email@scask.ru