Главная > Спектральный анализ и его приложения. Выпуск 1
НАПИШУ ВСЁ ЧТО ЗАДАЛИ
СЕКРЕТНЫЙ БОТ В ТЕЛЕГЕ
<< Предыдущий параграф Следующий параграф >>
Пред.
След.
Макеты страниц

Распознанный текст, спецсимволы и формулы могут содержать ошибки, поэтому с корректным вариантом рекомендуем ознакомиться на отсканированных изображениях учебника выше

Также, советуем воспользоваться поиском по сайту, мы уверены, что вы сможете найти больше информации по нужной Вам тематике

ДЛЯ СТУДЕНТОВ И ШКОЛЬНИКОВ ЕСТЬ
ZADANIA.TO

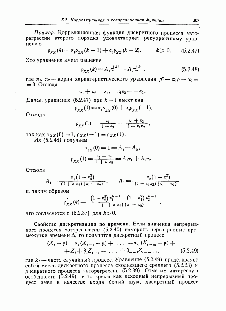
5.4.5. Оценивание параметров смешанного процесса авторегрессии — скользящего среднего

Так как при дискретизации непрерывного процесса авторегрессии порядка согласно (5.2.49), получается смешанный дискретный процесс авторегрессии — скользящего среднего, было бы естественно ожидать, что смешанные модели окажутся полезными при подгонке ко многим временным рядам. Для иллюстрации того, как при этом можно построить поверхность логарифмической функции правдоподобия, рассмотрим смешанный процесс

Рис. 5-21. Остаточные дисперсии для смешанных моделей, подобранных к данным о партиях продукта, изображенным на рис. 5.2.

При фиксированных значениях параметров последовательность можно получить из равенств

и т. д. Поверхность суммы квадратов в таком случае можно представить, строя

как функцию от . С помощью вычислительной машины нетрудно произвести перебор этих моделей, сначала фиксируя порядок процесса авторегрессии, а затем меняя -порядок процесса скользящего среднего. Затем можно построить остаточную дисперсию

как функцию .

На рис. 5.21 показаны в зависимости от для данных о партиях продукта, изображенных на рис. 5.2. Видно, что при наилучшее согласие получается для модели чистой авторегрессии порядка 3. Основываясь на значениях остаточных дисперсий, можно заключить, что наилучшее согласие с этими данными достигается для модели авторегрессии третьего порядка. Однако, как показано в разд. 5.4.3, в действительности адекватной является модель авторегрессии второго порядка.

ЛИТЕРАТУРА

(см. скан)

1
Оглавление
email@scask.ru