Главная > Математический анализ. Часть II. (Зорич В.А.)
НАПИШУ ВСЁ ЧТО ЗАДАЛИ
СЕКРЕТНЫЙ БОТ В ТЕЛЕГЕ
<< Предыдущий параграф Следующий параграф >>
Пред.
След.
Макеты страниц

Распознанный текст, спецсимволы и формулы могут содержать ошибки, поэтому с корректным вариантом рекомендуем ознакомиться на отсканированных изображениях учебника выше

Также, советуем воспользоваться поиском по сайту, мы уверены, что вы сможете найти больше информации по нужной Вам тематике

ДЛЯ СТУДЕНТОВ И ШКОЛЬНИКОВ ЕСТЬ
ZADANIA.TO

5. Асимптотические разложения интегралов Лапласа.

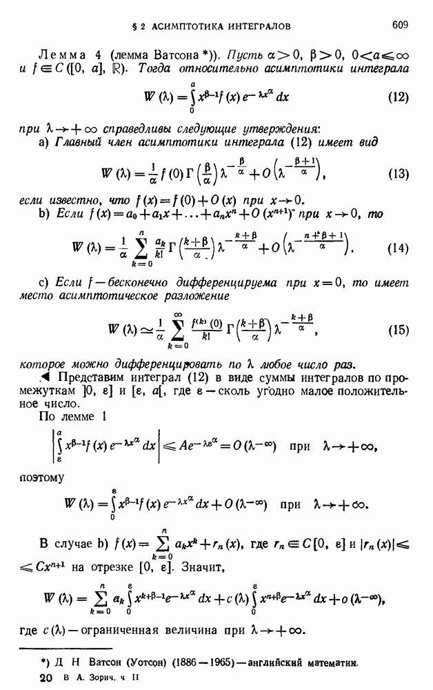
Теорема 1 дает только главные члены характерной асимптотики интеграла Лапласа (1) и к тому же при условии, что целом это, конечно, наиболее типичная ситуация, и поэтому теорема 1, несомненно, является ценным результатом. Однако уже лемма Ватсона показывает, что асимптотика интеграла Лапласа порой может быть доведена до асимптотического разложения. Такая возможность особенно важна, когда и теорема 1 ничего не дает.

Совсем отбросить условие , не заменив его ничем, разумеется, нельзя, оставаясь в рамках метода Лапласа: ведь если в окрестности точки максимума функции или если очень быстро стремится к нулю при то точка может и не быть ответственной за асимптотику интеграла. Теперь, когда в результате проведенных рассмотрений мы уже пришли к определенному типу цоследовательностей, асимптотических при можно говорить об асимптотическом нуле по отношению к такой последовательности и, не предполагая, что можно следующем образом сформулировать принцип локализации: асимптотика интеграла Лапласа (1) при с точностью до асимптотического нуля по отношению к асимптотической последовательности совпадаем с асимптотикой порции этого интеграла, взятой по сколь угодно малой окрестности точки если то единственная точка максимума функции на промежутке интегрирования.

Мы не будем, однако, возвращаться к рассмотрению и уточнению этих вопросов, а, считая функциями класса дадим вывод соответствующих асимптотических разложений, использующий лемму 1 об экспоненциальной оценке, лемму 3 о замене переменной и лемму 4 Ватсона.

Теорема 2 (об асимптотическом разложении). Пусть конечный отрезок, достигается только в одной точке в некоторой окрестности точки Тогда относительно асимптотики интеграла (1) справедливы следующие утверждения.

где

где

главный член асимптотики в случаях а) и b) соответственно имеет вид

Разложения (16), (17) можно дифференцировать по X любое число раз.

Из леммы 1 следует, что в наших условиях с точностью до величины вида при интеграл (1) можно заменить интегралом по сколь угодно малой окрестности точки Сделав в такой окрестности замену переменной указанную в лемме 3, приведем последний интеграл к виду

где

Окрестность, в которой производилась замена можно, считать столь малой, что обе функции в ней бесконечно дифференцируемы. Тогда и полученную под знаком интеграла (20) функцию можно считать бесконечно дифференцируемой.

Если т. е. в случае к интегралу (20) непосредственно. применима лемма 4 Ватсона и наличие разложения (16) тем самым уже доказано.

Если же т. е. в случае приводим интеграл (20) к виду

и, вновь применяя лемму Ватсона, получаем разложение (17).

Возможность дифференцировать разложения (16), (17) следует из того, что при наших условиях интеграл (1) можно дифференцировать по Х, и при этом снова получается интеграл, удовлетворяющий условиям теоремы. Для него выписываются разложения (16), (17), и можно непосредственно убедиться в том, что эти разложения действительно совпадают с теми, которые получаются формальным дифференцированием разложений (16), (17) исходных интегралов.

Остановимся теперь на формулах для - коэффициентов и с. По лемме Ватсона где

Учитывая, однако, что

получаем

где

Аналогично получаются формулы для коэффициентов применением леммы Ватсона к интегралу (21).

Полагая можно записать, что при

ввиду четности функции поэтому последнее асимптотическое разложение можно переписать в виде

Остается заметить, что где Теперь формула для получается из уже установленной формулы коэффициента а заменой в ней на и удвоением результата такой подстановки.

Для получения главных членов (18), (19) асимптотических разложений (16), (17) при указанном в с) условии где достаточно вспомнить, что т. е.

и

при поскольку если

Остается подставить полученные выражения соответственно в интегралы (20), (21) и воспользоваться формулой (13) из леммы Ватсона.

Замечание 2. Из формулы (18) при вновь получаем формулу (2).

Аналогично из (19) при получаем соотношение (3). Наконец, равенство (4) получается из равенства (18) при

Все это, разумеется, в условиях теоремы 2.

Замечание 3. Теорема относится к случаю, когда функция имеет на отрезке единственную точку максимума. Если же таких точек несколько то интеграл (1) разбивают в сумму таких интегралов, асимптотика каждого из которых уже описывается теоремой 2. То есть в этом случае асимптотика получается как сумма вкладов указанных точек максимума.

Легко себе представить, что при этом могут произойти некоторые или даже полные взаимные уничтожения.

Пример 11. Если при то

Значит, в этом случае такая интерференция вкладов заведомо должна иметь место. С формальной точки зрения приведенный пример может показаться неубедительным, поскольку раньше речь шла о конечном отрезке интегрирования. Однако этот вопрос снимает следующее важное

Замечание 4. В теоремах 1 и 2 для облегчения и без того громоздких формулировок мы считали, что промежуток интегрирования I — конечный, а интеграл (1) — собственный. На самом же деле, если вне любой окрестности точки максимума выполнено неравенство то лемма 1 уже позволяет заключить, что интегралы, взятые по промежуткам, лежащим вне экспоненциально малы в сравнении с при (разумеется, при условии, что интеграл (1) абсолютно сходится хотя бы при некотором значении

Таким образом, и теорема 1, и теорема 2 применимы также к несобственным интегралам, если выполнены указанные только что условия.

Замечание 5. Полученные в теореме 2 формулы для коэффициентов ввиду их громоздкости обычно удается использовать лишь для получения нескольких первых членов асимптотики, нужных в конкретных вычислениях. Общий вид асимптотического разложения, более простой, чем указанный в теореме 2, по этим формулам для коэффициентов получить удается крайне редко. И все же такие ситуации встречаются. Рассмотрим для разъяснения самих формул следующие примеры.

Пример 12. Асимптотику функции

при легко получить интегрированием по частям:

откуда после очевидных оценок следует, что

Получим теперь это разложение, исходя из теоремы 2.

Сделав замену приходим к представлению

Полагая здесь и обозначая переменную интегрирования, как и в теореме 2, буквой х, сводим вопрос к отысканию асимптотики интеграла

поскольку

Интеграл (23) с учетом замечания 4 удовлетворяет условию теоремы 2: при

Итак,

Значит,

Полагая находим, что

Выписав теперь асимптотическое разложение (16) для интеграла (23), с учетом соотношения получаем разложение (22) для функции

Пример 1-3. В примере 7, исходя из представления

мы получили главный член асимптотики функции при Попробуем теперь, пользуясь теоремой уточнить нашейную ранее формулу.

Для некоторого упрощения дальнейшей записи заменим в интеграле на Тогда получим, что

и дело свелось к исследованию асимптотики интеграла

при Здесь т. е. с учетом замечания 4 выполнены условия теоремы 2, где надо положить еще , так как

Функция в данном случае имеет следующий вид:

Если мы хотим найти первые два члена асимптотики, то нам надо вычислить при

Это вычисление, как видно, легко сделать, если найти значения которые в свою очередь можно получить из тейлоровского разложения функции в окрестности нуля:

Таким образом,

Значит, при

т. е. при

Полезно иметь в виду, что асимптотические разложения (16), (17) можно находить также, следуя доказательству теоремы 2, без привлечения указанных в формулировке теорем 2 выражений для коэффициентов.

В качестве примера получим вновь, но несколько иначе, асимптотику интеграла (25).

Используя принцип локализации и делая в окрестности нуля замейу такую, что — сводим вопрос к исследованию асимптотики интеграла

Где Асимптотическое разложение последнего интеграла получается на основании леммы Ватсона

что с учетом соотношений дает асимптотический ряд

Итак, для интеграла (25) получаем асимптотическое разложение

где такая гладкая функция, что в окрестности нуля (по х и по

Если мы хотим найти первые два члена асимптотики, то в общую формулу (27) надо подставить конкретные значения

Быть может, не бесполезно продемонстрировать следующий прием для вычисления этих значений, который вообще можно использовать для получения тейлоровского разложение обратной функции по разложению прямой функции.

Считая, что при из соотношения последовательно получаем

Но при поэтому, используя уже полученное представление х, можно продолжить эту выкладку и получить, что при

Таким образом, для интересующих нас величин

получаем следующие значения: Подставляя их в формулу (27), находим, что

откуда вновь можно получить формулу (26).

В заключение сделаем еще два замечания, относящиеся к обсуждаемым в этом параграфе вопросам.

Замечание 6 (о методе Лапласа в многомерном случае).

Отметим, что метод Лапласа с успехом применяется и при исследовании асимптотики кратных интегралов Лапласа

в которых — область в — вещественнозначные функции в X.

Для таких интегралов справедлива лемма 1 об экспоненциальной оценке, в силу которой исследование асимптотики такого интеграла сводится к исследованию асимптотики его порции

взятой по окрестности точки максимума функции

Если это невырожденный максимум, т. е. то по лемме Морса (см. ч. I, гл. VIII, § 6) существует замена переменной такая, что где Тем самым дело сводится к каноническому интегралу

который в случае гладких функций применяя теорему Фубини, можно исследовать, опираясь на доказанную выше лемму Ватсона (см. в этой связи задачи

Замечание 7 (о методе стационарной фазы). Метод Лапласа в его расширенной трактовке, как мы уже отмечали, это:

Г определенный принцип локализации (лемма 1 об экспоненциальной оценке),

2° способ локального приведения интеграла к каноническому виду (лемма Морса) и

3° описание асимптотики канонических интегралов (лемма Ватсона).

Идея локализации нам уже ранее встречалась при изучении -образных семейств функций, а также при исследовании ряда и преобразования Фурье (лемма Римана, гладкость функции и скорость убывания ее преобразования Фурье, сходимость ряда и интеграла Фурье).

Важное местов математике и ее приложениях занимают интегралы вида

где называемые интегралами Фурье Интеграл Фурье отличается от интеграла Лапласа лишь скромным множителем

в показателе. Это приводит, однако, к тому, что при вещественных получается и, значит, идея доминантного максимума при исследовании асимптотики интеграла Фурье непригодна.

Пусть — финитна на на

Интегрируя по частям и используя лемму Римана (см. задачу 12), получаем, что

Таким образом, если на отрезке то за счет все увеличивающейся при частоты осцилляции функции интеграл Фурье по отрезку оказывается величиной типа .

Функция в интеграле Фурье называется фазовой функцией. Таким образом, для интеграла Фурье имеет место свой принцип локализации, называемый принципом стационарной фазы. Согласно этому принципу асимптотика интеграла Фурье (в случае с точностью до величины при совпадает с асимптотикой порции, интеграла Фурье, взятой по окрестности стационарной точки фазовой функции точки о, в которой

После этого заменой переменной дело приводится к каноническому интегралу

асимптотика которого описывается специальной леммой (Эрдейи), имеющей для интеграла Фурье ту же роль, что и лемма Ватсона для интеграла Лапласа.

Указанная схема исследования асимптотики интеграла Фурье называется методом стационарной фазы.

Природа принципа локализации в методе стационарной фазы совсем иная, чем в случае интеграла Лапласа, но общая схема метода Лапласа, как видно, оказывается пригодной и здесь

Некоторые, подробности, относящиеся к методу стационарной фазы, читатель найдет в Задачах 12—17

Задачи и упражнения

(см. скан)

(см. скан)

(см. скан)

(см. скан)

(см. скан)

(см. скан)

1
Оглавление
email@scask.ru