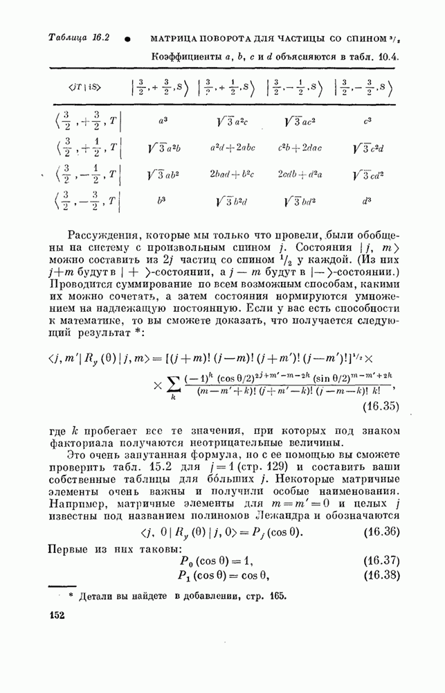
Главная > Фейнмановские лекции по физике. Т.9. Квантовая механика. Ч.2
НАПИШУ ВСЁ ЧТО ЗАДАЛИ
СЕКРЕТНЫЙ БОТ В ТЕЛЕГЕ
<< Предыдущий параграф Следующий параграф >>
Пред.
След.
Макеты страниц

Распознанный текст, спецсимволы и формулы могут содержать ошибки, поэтому с корректным вариантом рекомендуем ознакомиться на отсканированных изображениях учебника выше

Также, советуем воспользоваться поиском по сайту, мы уверены, что вы сможете найти больше информации по нужной Вам тематике

ДЛЯ СТУДЕНТОВ И ШКОЛЬНИКОВ ЕСТЬ
ZADANIA.TO

Глава 15. СИММЕТРИЯ И ЗАКОНЫ СОХРАНЕНИЯ

§ 1. Симметрия

В классической физике немало величин (таких, как импульс, энергия и момент количества движения) сохраняется. Теоремы о сохранении соответствующих величин существуют и в квантовой механике. Самое прекрасное в квантовой механике это то, что теоремы сохранения в определенном смысле удается в ней вывести из чего-то другого; в классической же механике они сами практически являются исходными для других законов. (Можно, правда, и в классической механике поступать так же, как в квантовой, но это удается только на очень высоком уровне.) В квантовой механике, однако, законы сохранения очень тесно связаны с принципом суперпозиции амплитуд и с симметрией физических систем относительно различных изменений. Это и есть тема настоящей лекции. Хотя идеи эти мы будем применять главным образом к сохранению момента количества движения, но существенно здесь то, что все теоремы о сохранении каких угодно величин всегда связаны - в квантовой механике - с симметриями системы.

Начнем поэтому с изучения вопроса о симметриях систем. Очень простым примером служат молекулярные ионы водорода (впрочем, в равной степени подошли бы и молекулы аммиака), у которых имеется по два состояния. У молекулярного иона водорода за одно базисное состояние мы принимали такое состояние, когда электрон расположен возле протона №1, а за другое базисное состояние то, в котором электрон располагался возле протона №2. Эти два состояния (мы их называли  и ) мы снова показываем на фиг. 15.1,а. И вот, поскольку оба ядра в точности одинаковы, в этой физической системе имеется определенная симметрия. Иначе сказать, если бы нам пришлось отразить систему в плоскости, поставленной посредине между двумя протонами (имеется в виду, если бы все находящееся с одной стороны плоскости симметрично перешло на другую сторону), то возникла бы картина, представленная на фиг. 15.1,б. А коль скоро протоны тождественны, операция отражения переводит  в , а  в . Обозначим эту операцию отражения  и напишем

.                 (15.1)

Значит, наше  - это оператор, в том смысле, что он «что-то делает» с состоянием, чтобы вышло новое состояние. Интересно здесь то, что , действуя на любое состояние, создает какое-то другое состояние системы.

104.gif

Фиг. 15.1. Если состояния  и  отразить в плоскости , они перейдут соответственно в состояния  и .

Далее, у , как у всякого другого оператора, с которыми мы встречались, есть матричные элементы, которые можно определить с помощью обычных очевидных обозначений. Именно

 и

суть матричные элементы, которые получаются, если  и  умножить слева на . Согласно уравнению (15.1), они равны

                   (15.2)

Таким же путем можно получить и , и . Матрица  относительно базисной системы  и  есть

.               (15.3)

Мы снова убеждаемся, что слова оператор и матрица в квантовой механике практически взаимозаменяемы. Есть, конечно, легкие технические различия, как между словами «числительное» и «число», но мы не такие педанты, чтобы забивать себе этим голову. Так что будем именовать  то оператором, то матрицей, независимо от того, определяет ли оно операцию или реально использовано для получения численной матрицы.

Теперь мы хотели бы кое на что обратить ваше внимание. Предположим, что физика всей системы молекулярного иона водорода сама по себе симметрична. Этого могло бы и не быть - это зависит, например, от того, что находится с нею рядом. Но если система симметрична, то с необходимостью должна быть справедлива следующая идея. Предположим, что вначале, при , система находится в состоянии , а через промежуток времени  мы обнаруживаем, что система оказалась в более сложном положении - в какой-то линейкой комбинации обоих базисных состояний. Вспомните, что в гл. 6 (вып. 8) мы привыкли представлять «эволюцию во времени» умножением на оператор . Это означает, что система через мгновение (скажем для определенности, через 15 сек) окажется в каком-то ином состоянии. Например, это состояние на  может состоять из состояния  и на  из состояния , и мы бы написали

.                    (15.4)

Теперь спросим: что же произойдет, если вначале мы запустим систему в симметричном состоянии  и при тех же условиях подождем 15 сек? Ясно, что если мир симметричен (что мы и предполагаем), то обязательно получится состояние, симметричное с (15.4):

.                    (15.5)

Те же идеи схематично изображены на фиг. 15.2. Итак, если физика системы симметрична относительно некоторой плоскости и мы рассчитали поведение того или иного состояния, то нам также известно поведение состояния, которое получилось бы после отражения исходного состояния в плоскости симметрии.

106.gif

Фиг. 15.2. Если в симметричной системе чистое состояние  развивается во времени так, как показано в части (а), то чистое состояние  будет во времени развиваться так, как показано в части (б).

То же самое можно высказать чуть более общо, т. е. чуть более отвлеченно. Пусть  - любая из множества операций, которые вы можете произвести над системой, не меняя физики. К примеру, за  мы можем принять операцию отражения в плоскости, расположенной посредине между двумя атомами молекулы водорода. Или в системе с двумя электронами можно было бы под  подразумевать операцию обмена двумя электронами. Третьей возможностью явилась бы в сферически симметричной системе операция поворота всей системы на конечный угол вокруг некоторой оси; от этого физика не изменится. Конечно, в каждом отдельном случае мы бы обозначали  по-своему. В частности, через  мы обычно будем обозначать операцию «поверни систему вокруг оси  на угол ». Под  мы просто понимаем один из названных операторов или любой другой, который оставляет всю физическую ситуацию неизменной. Оператор  мы будем называть оператором симметрии для системы.

Вот вам еще примеры операторов симметрии. Если у нас имеется атом, а внешнее магнитное или внешнее электрическое поле отсутствует, то после поворота системы координат вокруг любой оси физическая система остается той же самой. Опять-таки молекула аммиака симметрична относительно отражения в плоскости, параллельной той, в которой лежат три атома водорода (пока нет электрического поля). Если есть электрическое поле, то при отражении надо было бы обратить и поле, а это меняет всю физическую задачу. Но пока внешнего поля нет, молекула симметрична.

Теперь рассмотрим общий случай. Положим, мы начали с состояния , а через некоторое время или под влиянием других физических условий оно превратилось в состояние . Напишем

.            (15.6)

[Посмотрите на формулу (15.4).] Теперь вообразите, что над всей системой мы проводим операцию . Состояние  преобразится в состояние , которое также записывается в виде . А состояние  превращается в . И вот, если физика симметрична относительно  (не забывайте про это, если это отнюдь не общее свойство системы), тогда, подождав в тех же условиях то же время, мы должны получить

.            (15.7)

[Как в (45.5).] Но вместо  можно написать , а вместо  написать , так что (15.7) переписывается в виде

.                  (15.8)

Теперь, если  заменить на  [см. (15.6)], то получим

.               (15.9)

Нетрудно понять, что это значит. В отношении атома водорода это означает, что «отразить и после немного подождать» [правая часть (15.9)] - это то же самое, что «немного подождать, а после отразить» [левая часть (15.9)]. Они должны совпасть, если только  при отражении не меняется.

А поскольку (15.9) справедливо при любом исходном состоянии , то на самом деле это уравнение для операторов

.                 (15.10)

Это-то мы и хотели получить - математическую формулировку симметрии. Когда соблюдается (15.10), мы говорим, что операторы  и  коммутируют. Тогда «симметрию» можно определить следующим образом: физическая система симметрична относительно операции , когда  коммутирует с  (с операцией прошествия времени). [На языке матриц произведение двух операторов равнозначно матричному произведению, так что (15.10) в системе, симметричной относительно преобразования , выполняется и для матриц  и .]

Кстати, поскольку для бесконечно малого времени  мы имеем , где  - обычный гамильтониан [см. гл. 6 (вып. 8)], то легко видеть, что когда (15.10) выполнено, то выполнено и

.                (15.11)

Так что (15.11) есть математическая формулировка условий на симметричность физической ситуации относительно оператора . Она определяет симметрию.

 

1
Оглавление
email@scask.ru