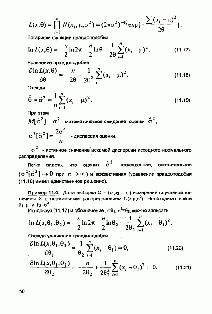
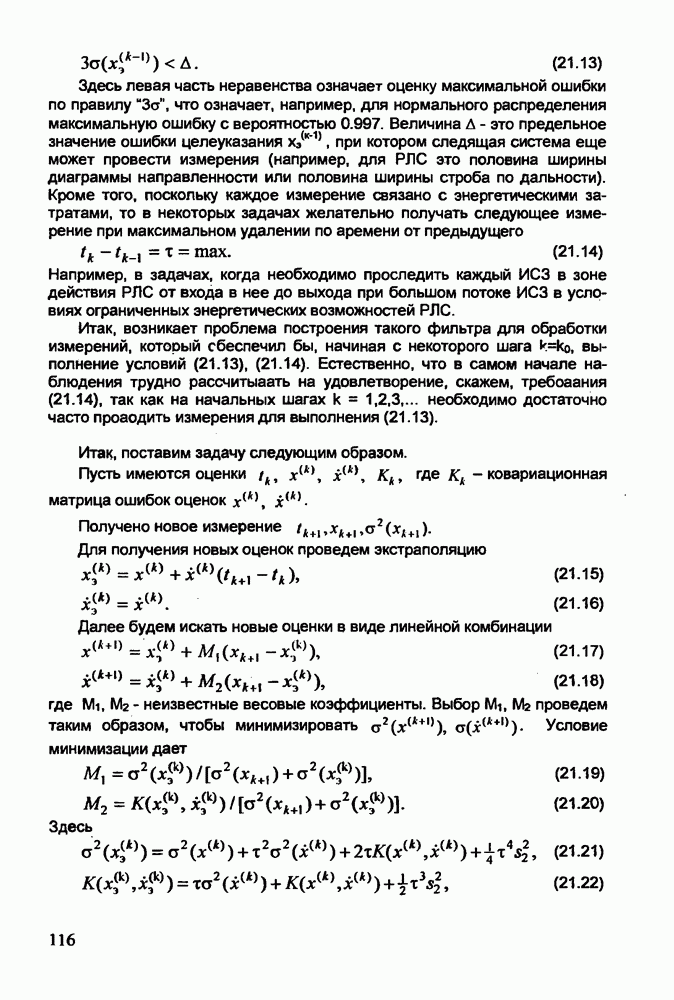
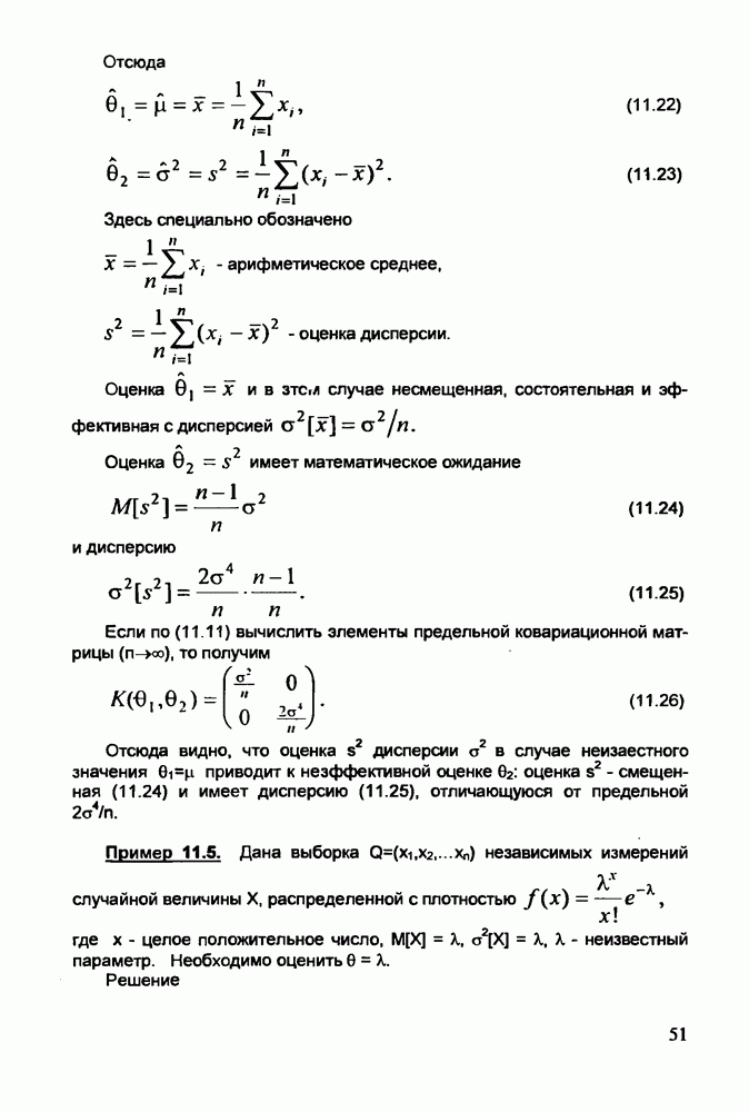
Главная > Оптимальные решения
НАПИШУ ВСЁ ЧТО ЗАДАЛИ
СЕКРЕТНЫЙ БОТ В ТЕЛЕГЕ
<< Предыдущий параграф Следующий параграф >>
Пред.
1
2
3
4
5
6
7
8
9
10
11
12
13
14
15
16
17
18
19
20
21
22
23
24
25
26
27
28
29
30
31
32
33
34
35
36
37
38
39
40
41
42
43
44
45
46
47
48
49
50
51
52
53
54
55
56
57
58
59
60
61
62
63
64
65
66
67
68
69
70
71
72
73
74
75
76
77
78
79
80
81
82
83
84
85
86
87
88
89
90
91
92
93
94
95
96
97
98
99
100
101
102
103
104
105
106
107
108
109
110
111
112
113
114
115
116
117
118
119
120
121
122
123
124
125
126
127
128
129
130
131
132
133
134
135
136
137
138
139
140
141
142
143
144
145
146
147
148
След.
Макеты страниц

Распознанный текст, спецсимволы и формулы могут содержать ошибки, поэтому с корректным вариантом рекомендуем ознакомиться на отсканированных изображениях учебника выше

Также, советуем воспользоваться поиском по сайту, мы уверены, что вы сможете найти больше информации по нужной Вам тематике

ДЛЯ СТУДЕНТОВ И ШКОЛЬНИКОВ ЕСТЬ
ZADANIA.TO

Лекция 9. Оценки и их свойства

1. Рассмотрим измерения некоторой физической величины 0 или группы физических величин

Уравнение измерения

где

X - результат измерения,

0 - измеряемая неизвестная физическая величина (0 может быть вектором),

4 - ошибка измерения.

Ошибка измерения 4 - случайная величина, которую полностью характеризует плотность распределения .

Измерение X - тоже случайная величина (как сумма постоянной 0 и случайной величины ), имеющая по (6.1) плотность

Если проведен ряд измерений неизвестной величины 0, то в результате имеем выборку измерений

где каждое измерение - случайная величина с плотностью

В том случае, когда ошибки разных измерений в выборке (9.3) имеют одни и те же свойства (например, все измерения проведены в примерно одних и тех же условиях на одних и тех же приборах), то они являются значениями случайной величины X с плотностью

2. На основе вышеизложенного, отвлекаясь от физической природы эксперимента, будем в дальнейшем рассматривать следующую абстрактную задачу.

Дана выборка измерений случайной величины X

Плотность вероятности каждого измерения известна с точностью до параметра

(напомним, что может быть как скаляром, так и вектором).

Необходимо по (9.4), (9.5) найти .

Назовем значение , полученное в результате решения задачи (9.4), (9.5), оценкой и обозначим через Оценка - это прежде всего некоторая функция выборки измерений [5,6,7,8]

Способ получения 0 назовем задачей оценивания.

3. Прежде, чем говорить о методе решения задачи (9.4), (9.5), выясним, какие свойства желательны для сценки.

В общем виде оценка - это любая функция измерений. Построим, к примеру, по выборке (9.4) несколько произвольных оценок.

где - случайная ошибка измерения с математическим ожиданием и дисперсией

Заметим, что опираясь на определение оценки только как функции выборки, можно иметь бесконечное множество оценок.

Продолжая рассматривать примеры (9.7),...(9.10), попробуем выяснить предпочтительность каждой из этих оценок.

4. Во-первых, желательно, чтобы выбранная нами оценка при увеличении объема выборки как можно “ближе" приближалась к искомому параметру Такое свойство оценки называется состоятельностью и формулируется следующим образом.

Оценка называется состоятельной, если для любых положительных начиная с некоторого выполняется неравенство

или, что тоже самое.

Здесь - вероятность выполнения - оценка неизвестного - истинное значение параметра.

Свойство состоятельности означает, по-существу, что если мы затрачиваем усилия и средства на проведение новых измерений, то в результате хотелось бы иметь более точное значение неизвестного параметра.

5. Во-вторых, крайне желательно, чтобы в среднем при любом оценка совпадала с неизвестным параметром

(при любом объеме выборки

Свойство (9.13) называется несмещенностью оценки.

Несмещенность означает, что, если на практике можно было бы неограниченное число раз получать все новые и новые выборки измерений и по каждой выборке вычислять оценку то математическое ожидание должно совпадать с как функция случайных величин сама является случайной величиной, для которой можно вычислить математическое ожидание и дисперсию).

6. Покажем, что несмещенная оценка состоятельна, если ее дисперсия стремится к нулю при возрастании

Пусть дана некоторая функция случайной величины X. Тогда

Из (9.14) вытекает

для любой положительной функции и любого

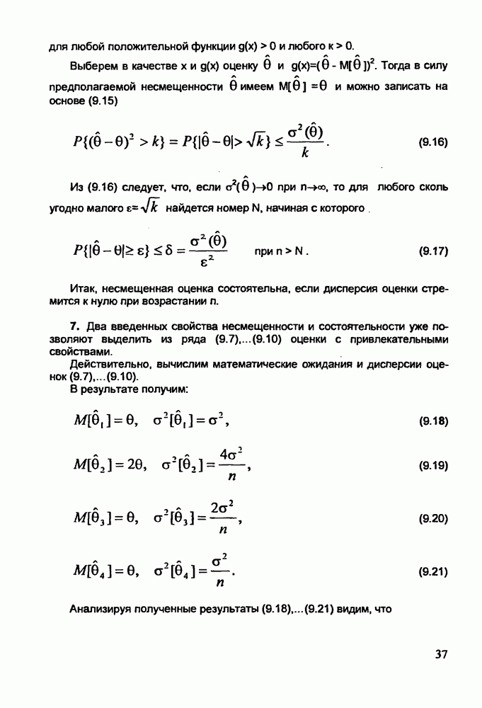
Выберем в качестве оценку Тогда в силу предполагаемой несмещенности и можно записать на основе (9.15)

Из (9.16) следует, что, если при то для любого сколь угодно малого найдется номер начиная с которого

Итак, несмещенная оценка состоятельна, если дисперсия оценки стремится к нулю при возрастании

7. Два введенных свойства несмещенности и состоятельности уже позволяют выделить из ряда оценки с привлекательными свойствами.

Действительно, вычислим математические ожидания и дисперсии оценок

В результате получим:

Анализируя полученные результаты видим, что

- оценка несмещенная, но несостоятельная ( не стремится к нулю),

- оценка смещенная, но состоятельная,

- оценка несмещенная и состоятельная,

- оценка тоже несмещенная и состоятельная.

Таким образом, желательным свойствам несмещенности и состоятельности удовлетворяют только две оценки из рассмотренных

Из двух оставшихся оценок нам более подходит оценка 0 4, так как у нее при прочих рааных условиях меньшая дисперсия.

Возникает вопрос, а существует ли какая-либо несмещенная оценка по аыборке (9.4) объема с еще меньшей дисперсией?

1
Оглавление
email@scask.ru