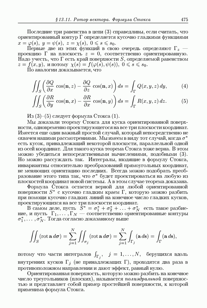
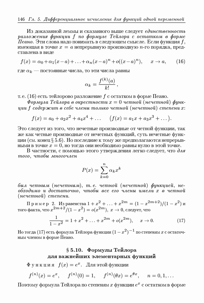
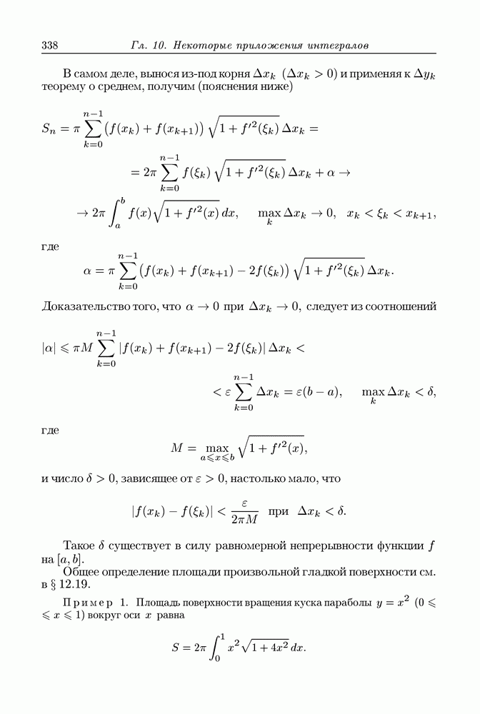
Главная > Курс математического анализа
НАПИШУ ВСЁ ЧТО ЗАДАЛИ
СЕКРЕТНЫЙ БОТ В ТЕЛЕГЕ
<< Предыдущий параграф Следующий параграф >>
Пред.
След.
Макеты страниц

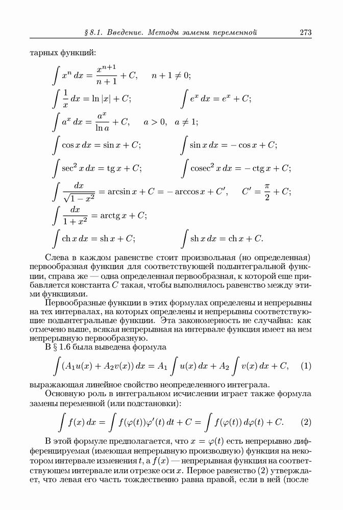
Распознанный текст, спецсимволы и формулы могут содержать ошибки, поэтому с корректным вариантом рекомендуем ознакомиться на отсканированных изображениях учебника выше

Также, советуем воспользоваться поиском по сайту, мы уверены, что вы сможете найти больше информации по нужной Вам тематике

ДЛЯ СТУДЕНТОВ И ШКОЛЬНИКОВ ЕСТЬ
ZADANIA.TO

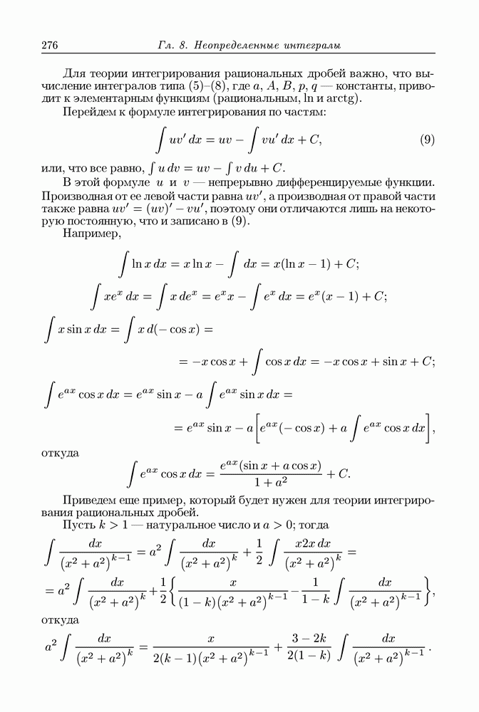
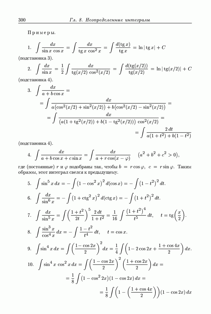
§ 8.7. Интегрирование алгебраических иррациональностей

Рациональную функцию от (букв конечное число) будем обозначать символом Она является результатом применения к арифметических операций (сложения, вычитания, умножения и деления), взятых в конечном числе.

Интеграл

где — рациональные числа, имеющие общий наименьший знаменатель при помощи подстановки

сводится к интегралу от рациональной функции. В самом деле, есть рациональная функция, а вместе с ней рациональна и ее производная Поэтому, обозначая через числители (целые числа) соответственно дробей приведенных к общему знаменателю получим, что интеграл (1) после подстановки (2) сводится к следующему:

где рациональная функция от

Примеры.

1
Оглавление
email@scask.ru