Главная > Дроссели переменного тока радиоэлектронной аппаратуры
НАПИШУ ВСЁ ЧТО ЗАДАЛИ
СЕКРЕТНЫЙ БОТ В ТЕЛЕГЕ
<< Предыдущий параграф Следующий параграф >>
Пред.
След.
Макеты страниц

Распознанный текст, спецсимволы и формулы могут содержать ошибки, поэтому с корректным вариантом рекомендуем ознакомиться на отсканированных изображениях учебника выше

Также, советуем воспользоваться поиском по сайту, мы уверены, что вы сможете найти больше информации по нужной Вам тематике

ДЛЯ СТУДЕНТОВ И ШКОЛЬНИКОВ ЕСТЬ
ZADANIA.TO

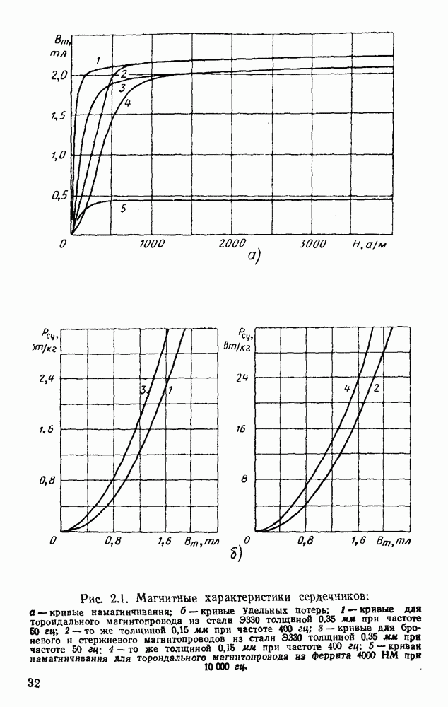
2.2. Экспериментальное определение магнитных характеристик магнитопроводов дросселей

Все магнитные характеристики, рассмотренные в § 2.1, снимались при синусоидальной магнитной индукции и при определенной методике измерения, описываемой ниже, для образцов без крепящих сердечник обойм. Измерения проводились в лабораторных условиях с дросселями, выполненными с магнитопроводами

Рис. 2.6. Схема установки для снятия магнитных характеристик дросселя.

ШЛ 20X32, и и с добавочной измерительной обмоткой. При проведении эксперимента образцы дросселей подвергались обдуву вентилятором.

Магнитные характеристики снимались по схеме, приведенной на рис. 2.6.

Напряжение U измерялось с помощью вольтметра, выпрямительной системы с входным сопротивлением, равным . Величина определялась по формуле

коэффициент входящий в (2.3), определялся взвешиванием магнитопровода; ток в обмотке измерялся амперметром электромагнитной системы, напряженность поля рассчитывалась по формуле

При измерениях напряжения амперметр шунтировался с помощью кнопки .

Опытные кривые удельных потерь снимались при синусоидальной магнитной индукции и перемагничивании переменным током различной частоты для дросселя без зазора в магнитопроводе. Измерения проводились по схеме, представленной на том же рис. 2.6. Потери в сердечнике определялись по формуле

где — удельные потери в стали, — мощность, определяемая ваттметром, — расчетная мощность потерь в вольтметровой обмотке ваттметра, — вес сердечника, кг.

При измерениях потерь амперметр А шунтировался. Значения базисной магнитной индукции и удельных потерь в сердечнике из стали для разных типов дросселей приведены в табл. 2.1.

ТАБЛИЦА 2.1

1
Оглавление
email@scask.ru