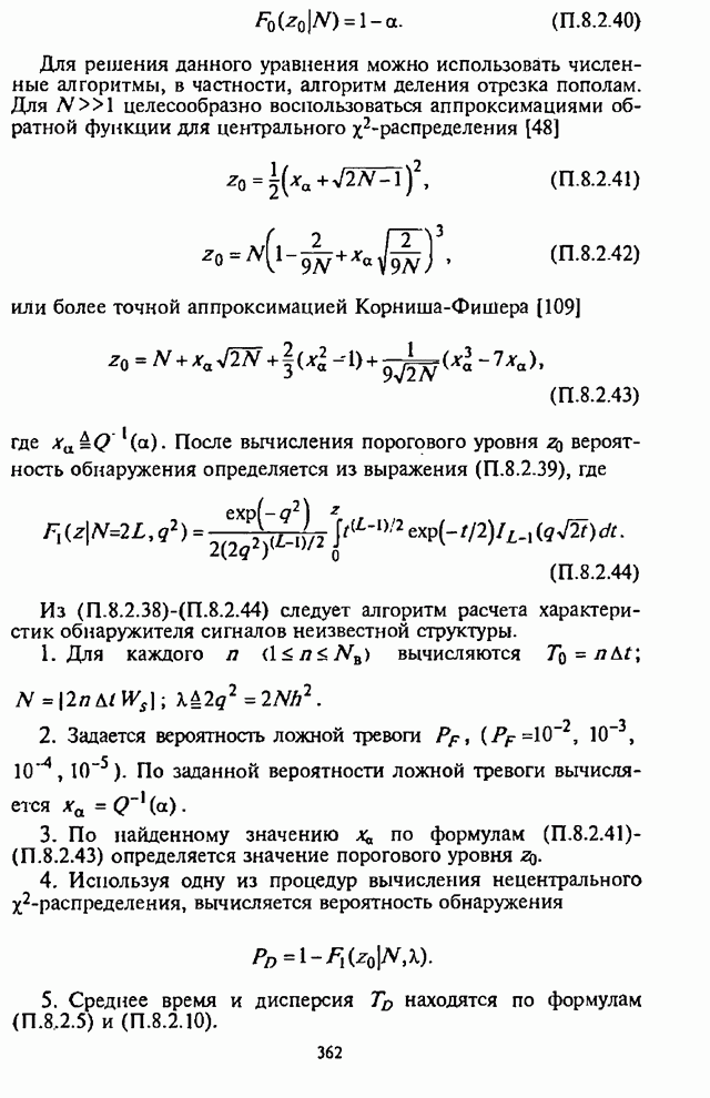
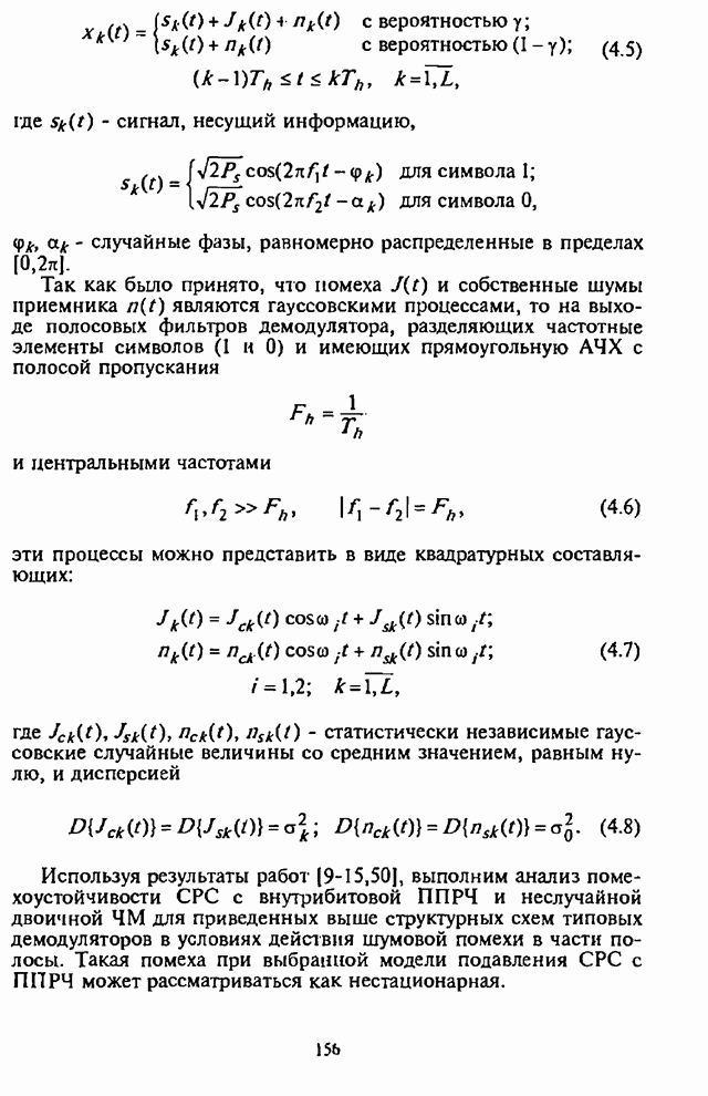
Главная > Помехозащищенность систем радиосвязи
НАПИШУ ВСЁ ЧТО ЗАДАЛИ
СЕКРЕТНЫЙ БОТ В ТЕЛЕГЕ
<< Предыдущий параграф Следующий параграф >>
Пред.
След.
Макеты страниц

Распознанный текст, спецсимволы и формулы могут содержать ошибки, поэтому с корректным вариантом рекомендуем ознакомиться на отсканированных изображениях учебника выше

Также, советуем воспользоваться поиском по сайту, мы уверены, что вы сможете найти больше информации по нужной Вам тематике

ДЛЯ СТУДЕНТОВ И ШКОЛЬНИКОВ ЕСТЬ
ZADANIA.TO

П.8.1.5. Гауссовская аппроксимация

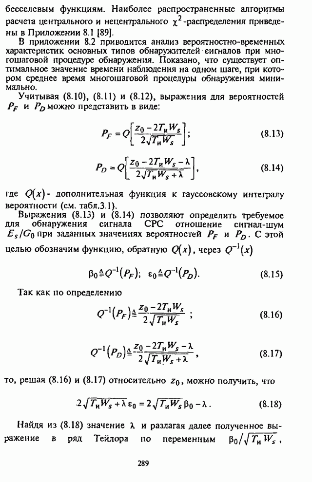
Для  центральное и нецентральное -распределение в силу центральной предельной теоремы может быть аппроксимировано гауссовским распределением с параметрами ,  для центрального и  и  для нецентрального -распределения. Аппроксимацию гауссовским распределением -распределения можно использовать не только в асимптотическом случае. В [48] приведены аппроксимирующие формулы для нецентрального -распределения.

Первая аппроксимация нецентрального -распределения

,                        (П.8.1.70)

где

;              (П.8.1.71)

;             (П.8.1.72)

 - функция распределения стандартной гауссовской величины.

Вторая аппроксимация. Для  приемлемой оказывается аппроксимация вида (П.8.1.70), где

;              (П.8.1.73)

величины  и  как и раньше определяются по формуле (П.8.1.72).

Гауссовская аппроксимация центрального -распределения является частным случаем аппроксимации нецентрального -распределения. При этом параметр нецентральности  следует положить равным нулю. Таким образом, имеют место следующие соотношения

,                 (П.8.1.74)

где

                (П.8.1.75)

для первой гауссовской аппроксимации и

              (П.8.1.76)

для второй гауссовской аппроксимации.

 

1
Оглавление
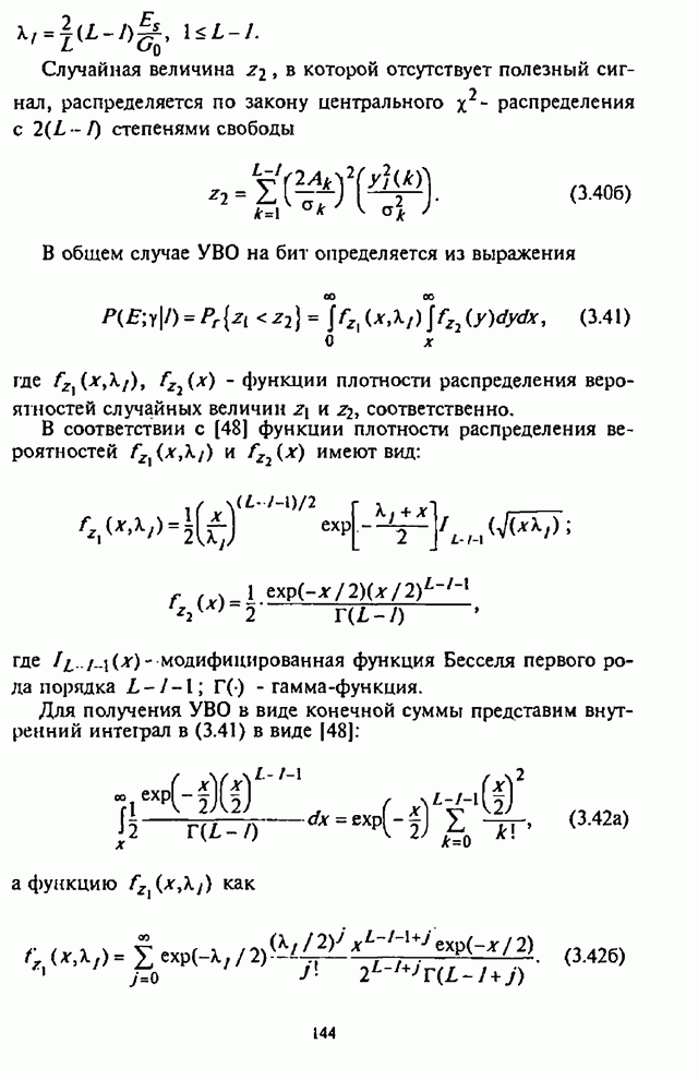
email@scask.ru