Главная > Вычислительные основы линейной алгебры
НАПИШУ ВСЁ ЧТО ЗАДАЛИ
СЕКРЕТНЫЙ БОТ В ТЕЛЕГЕ
<< Предыдущий параграф Следующий параграф >>
Пред.
След.
Макеты страниц

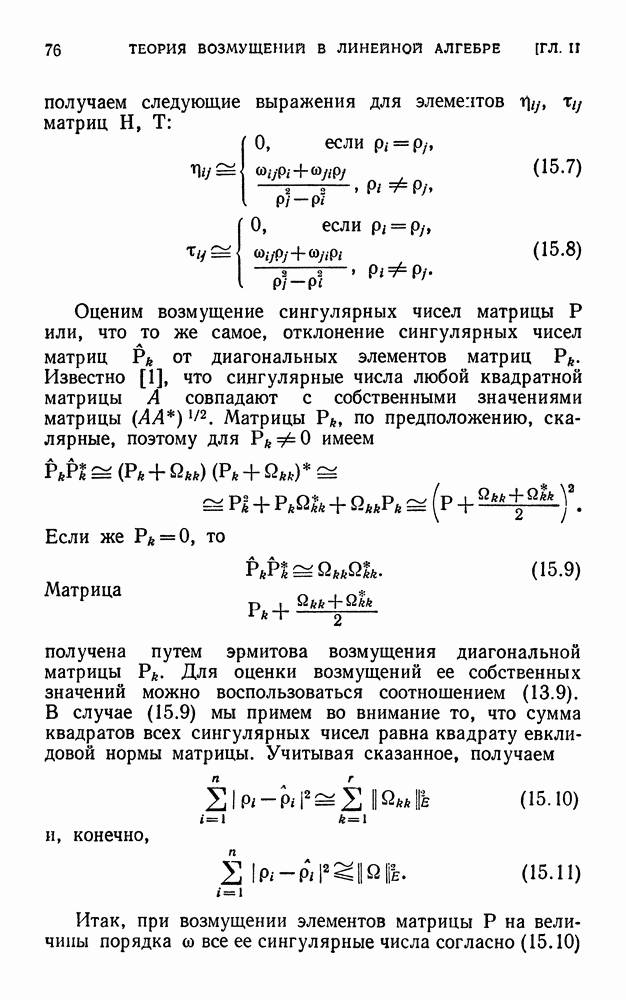
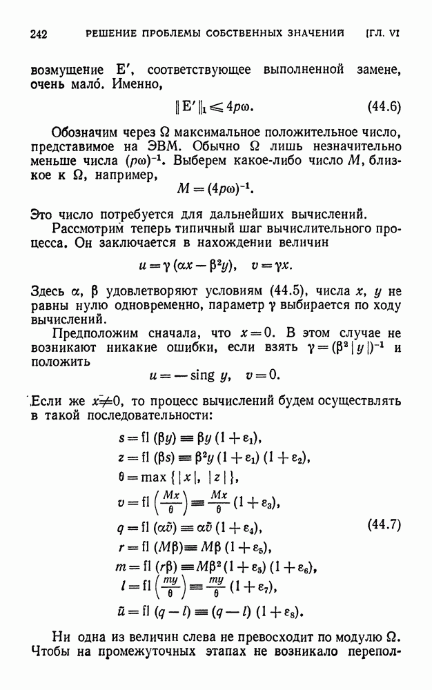
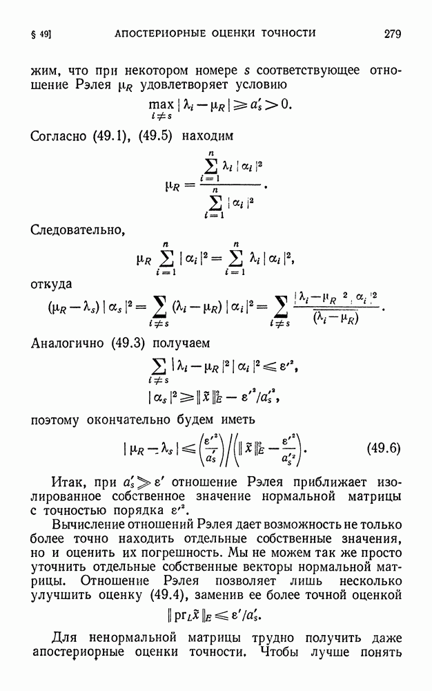
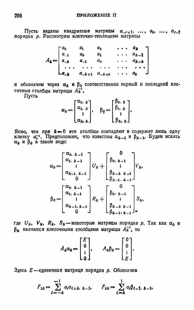
Распознанный текст, спецсимволы и формулы могут содержать ошибки, поэтому с корректным вариантом рекомендуем ознакомиться на отсканированных изображениях учебника выше

Также, советуем воспользоваться поиском по сайту, мы уверены, что вы сможете найти больше информации по нужной Вам тематике

ДЛЯ СТУДЕНТОВ И ШКОЛЬНИКОВ ЕСТЬ
ZADANIA.TO

§ 10. Невырожденные матрицы

Исследование возмущения невырожденной матрицы тесно связано с матрицами вида где элементы достаточно малы, единичная матрица. Известно [1], что матрица невырожденная, если для какой-либо нормы. При этом

Пусть невырожденная матрица. Рассмотрим возмущенную матрицу где для величины справедливо неравенство

Тогда из (10.1) следуют такие разложения:

откуда получаем, что

Введем относительные величины возмущений матриц Именно,

В этих обозначениях соотношение (10.4) означает, что

где

Предположим теперь, что решаются точная система линейных алгебраических уравнений

с невырожденной матрицей А и возмущенная система

Если возмущение удовлетворяет условию (10.2), то матрица будет невырожденной и обе системы имеют единственные решения.

Введем дополнительно к (10.5) относительные величины возмущений векторов т. е.

Ясно, что

поэтому

и далее для любых согласованных норм имеем

Принимая во внимание неравенство находим окончательно, что

или, в обозначениях (10.5), (10.7), (10.9),

Полученные формулы (10.6), (10.10) дают количественные оценки возмущения обратной матрицы и решения системы линейных алгебраических уравнений при

изменении матрицы и правой части системы. Из них вытекает, что в окрестности любой невырожденной матрицы обратная матрица и решение системы являются непрерывными функциями входных данных. При этом соотношение (10.2) определяет окрестность, в которой гарантируется непрерывность по матрице. Непрерывность решения по правой части имеет место всюду.

В заключение остановимся на одном следствии из разложения (10.1). Пусть матрица унитарная. Это будет тогда и только тогда, когда выполняется равенство

Но согласно (10.3) асимптотически при малых оно эквивалентно соотношению

откуда следует, что

Итак, для того, чтобы матрица асимптотически была унитарной, необходимо и достаточно, чтобы матрица асимптотически была косоэрмитовой.

УПРАЖНЕНИЯ

(см. скан)

1
Оглавление
email@scask.ru