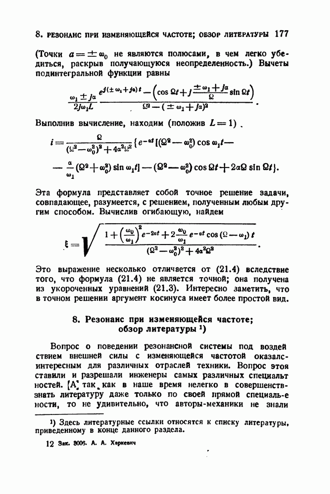
Главная > Спектры и анализ
НАПИШУ ВСЁ ЧТО ЗАДАЛИ
СЕКРЕТНЫЙ БОТ В ТЕЛЕГЕ
<< Предыдущий параграф Следующий параграф >>
Пред.
1
2
3
4
5
6
7
8
9
10
11
12
13
14
15
16
17
18
19
20
21
22
23
24
25
26
27
28
29
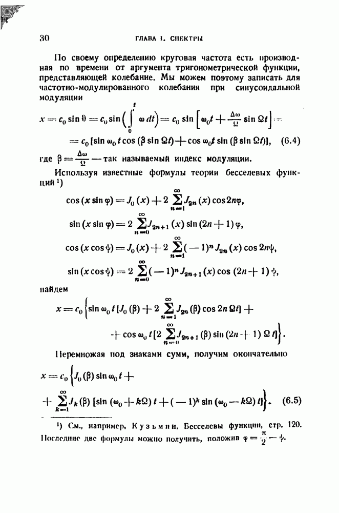
30
31
32
33
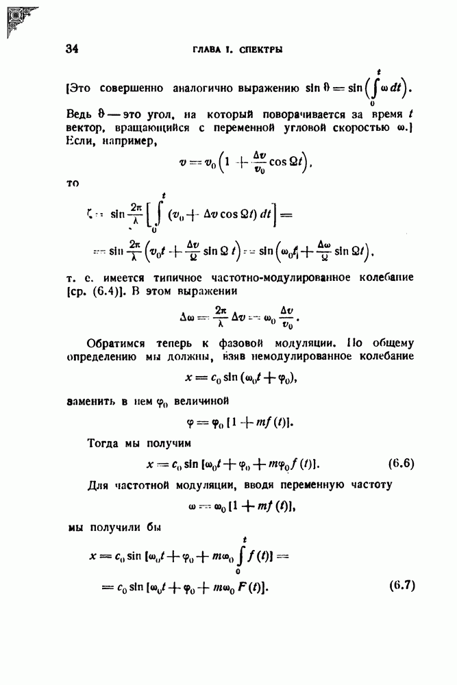
34
35
36
37
38
39
40
41
42
43
44
45
46
47
48
49
50
51
52
53
54
55
56
57
58
59
60
61
62
63
64
65
66
67
68
69
70
71
72
73
74
75
76
77
78
79
80
81
82
83
84
85
86
87
88
89
90
91
92
93
94
95
96
97
98
99
100
101
102
103
104
105
106
107
108
109
110
111
112
113
114
115
116
117
118
119
120
121
122
123
124
125
126
127
128
129
130
131
132
133
134
135
136
137
138
139
140
141
142
143
144
145
146
147
148
149
150
151
152
153
154
155
156
157
158
159
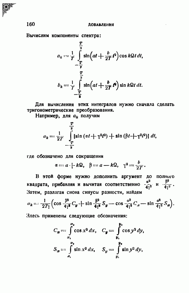
160
161
162
163
164
165
166
167
168
169
170
171
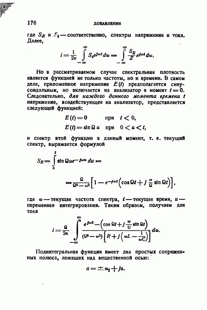
172
173
174
175
176
177
178
179
180
181
182
183
184
След.
Макеты страниц

Распознанный текст, спецсимволы и формулы могут содержать ошибки, поэтому с корректным вариантом рекомендуем ознакомиться на отсканированных изображениях учебника выше

Также, советуем воспользоваться поиском по сайту, мы уверены, что вы сможете найти больше информации по нужной Вам тематике

ДЛЯ СТУДЕНТОВ И ШКОЛЬНИКОВ ЕСТЬ
ZADANIA.TO

3. К теории частотно-модулированного радиоальтиметра

В 1938 г. был предложен радиоальтиметр с частотной модуляцией. С тех пор и до наших дней принцип действия этого устройства описывается примерно следующим образом. Представим себе, что с самолета посылается сигнал в виде колебания, модулированного по частоте по треугольному закону. После отражения от земли будет принят сигнал такого же характера, но с запозданием на

где — высота, с — скорость электромагнитной волны. Если обратимся к рис. 52, а, на котором мрямой сигнал изображен сплошной линией, а отраженный — пунктирной, то можно заметить, что существует постоянная (на пр тяжении большей части периода модуляции) разность частот (рис. 52, б), пропорциональная а следовательно, и . Путем детектирования эта разностная частота может быть извлечена из

результирующего сигнала и измерена частотомером. Таким образом, получается прямопоказываюший высотомер с непрерывным отсчетом.

Странно, что это наивное и в корне неверное описание удерживается в течение долгих лет в технической литературе, тогда как общие ошибочные представления о частотной модуляции давно уже разоблачены и отброшены. Ошибка настолько очевидна, что прямо - таки бросается в глаза. Она основана на смешении спектральной и временной точек зренья и вытекающим из этого смешения легкомысленном обращении с понятием частоты.

Рис. 52.

Дело в том, что периодически модулированное по частоте колебание есть киазипериодический процесс. Следовательно, такой сигнал обладает дискретным спектром с интервалами между линиями, равными частоте модуляции. Но спектр отраженного сигнала имеет точно такой же вид, так как сдвиг по времени не влияет на спектр амплитуд. Следовательно, и спектр результирующего сигнала ( т. е. суммы прямого и отраженного сигналов) будет обладать спектром из так же расположенных дискретных линий, и никаких плавно изменяющихся частот, пропорциональных запаздыванию, не возникает и не может возникнуть, какую бы нелинейную обработку этого спектра мы ни предприняли.

Это простое и совершенно бесспорное рассуждение, основанное на последовательном применении спектральных (т. е. «частотных») представлений, вскрывает полную несостоятельность ходячего описания действия ЧМ альтиметра.

Однако бесспорен также и тот факт, что эти альтиметры давно уже осуществлены практически и применяются в огромных количествах. Описаны детали их схем и конструкций, причем схема (рис. 53) на первый взгляд основана на неверном представлении о действии альтиметра и тем не менее работает.

Рис. 53.

Попытаемся разобраться в вопросе заново. Спектральная трактовка для этого непригодна; будем рассматривать явления во времени.

Пусть прямой сигнал записан в виде

Мы выбрали синусоидальную, а не треугольную модуляцию.

В новейших устройствах так и делается; для анализа это, конечно, проще.

Отраженный сигнал отличается от прямого только запаздыванием:

В этих выражениях — несущая частота, — частота модуляции, — полоса качания.

Результирующий сигнал получим, сложив

или

где обозначено

В последнем выражении первый множитель представляет собой модулированное по частоте высокочастотное (со средней частотой колебание. Второй множитель

представляет собой сложный периодический процесс с основной частотой Таким образом, частотно - модулированное колебание, выражаемое первым множителем, оказывается еще модулированным по амплитуде. Второй множитель дает выражение для огибающей. Выпишем его отдельно:

Выражение в квадратных скобках представляет собой периодически колеблющуюся с частотой величину. Но благодаря наличию перед скобкой возрастающего с х множителя размах колебаний всего аргумента будет возрастать с увеличением Когда этот размах достигает на протяжении одного периода функция будет обращаться в нуль раз, соответственно. Таким образом, мы получаем за период максимумов, а в одну секунду

Рис. 54.

Эти соотношения показаны на рис. 54, на котором функция построена для при причем принято, что

Если теперь продетектировать результирующий сигнал (Д.З) и, получив таким образом огибающую (Д.4), подать ее на частотомер типа счетчика импульсов, то такой частотомер сможет измерить число импульсов, т. е. число максимумов функции Е. Но так как это число пропорционально то показание частотомера может служить мерой высоты. Однако ясно, что число максимумов на протяжении периода может выражаться только целым числом.

Мы приходим, таким образом, к следующим заключениям:

1. Альтиметр описанного типа может служить для измерения высоты; он дает, однако, не непрерывный отсчет, а последовательность дискретных значений высоты ступенями через

2. Альтиметр описанного типа дает отсчет, пропорциональный высоте, по формуле

Однако эта пропорциональность сохраняет силу лишь до тех пор, пока

т.е. пока

При нарушении последнего условия шкала делается сначала непропорциональной, затем показание альтиметра перестает нарастать с высотой, при дальнейшем увеличении высоты показание альтиметра падает, и наконец, при

альтиметр показывает нуль.

Приведенные соотношения позволяют сознательно отнестись к выбору данных альтиметра. Так, например, для уменьшения т. е. для получения более точного отсчета,

следует увеличивать абсолютную ширину полосы качания; для получения пропорциональной шкалы нужно применять модулирующие частоты эвукового диапазона.

Подставим в вышеприведенные соотношения данные американской аппаратуры (для высоты до Отсчет высоты возможен через интервалы

т. е. получаем немного более Об этом, впрочем, упоминается в описании весьма глухо и всяких пояснений; говорится о «неопределенности порядка в отсчете высоты.

Наибольшая измеряемая высота составляет около Для такой высоты

и

т. е. о нарушении линейности шкалы говорить не приходится.

1
Оглавление
email@scask.ru