Главная > Основы биохимии, Т.3.
НАПИШУ ВСЁ ЧТО ЗАДАЛИ
СЕКРЕТНЫЙ БОТ В ТЕЛЕГЕ
<< Предыдущий параграф Следующий параграф >>
Пред.
След.
Макеты страниц

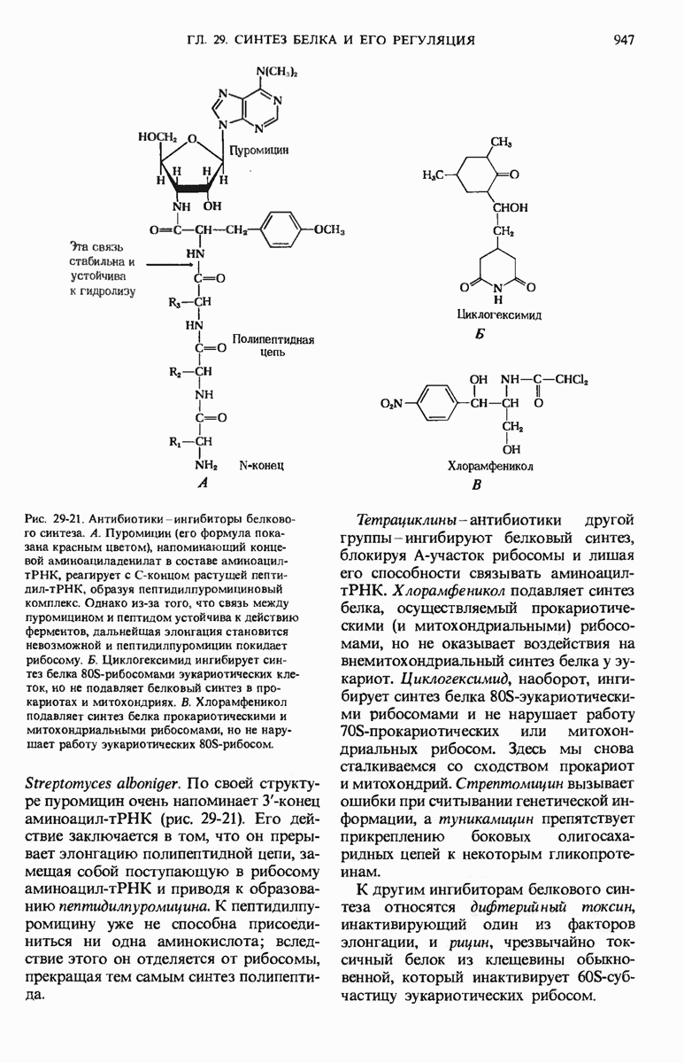
Распознанный текст, спецсимволы и формулы могут содержать ошибки, поэтому с корректным вариантом рекомендуем ознакомиться на отсканированных изображениях учебника выше

Также, советуем воспользоваться поиском по сайту, мы уверены, что вы сможете найти больше информации по нужной Вам тематике

ДЛЯ СТУДЕНТОВ И ШКОЛЬНИКОВ ЕСТЬ
ZADANIA.TO

30.16. Встраивание «нагруженных» плазмид в хромосому Е. coli

Теперь рекомбинантные плазмиды смешивают с клетками Е. coli для трансформации. Попасть в клетку и встроиться в хромосому Е. coli удается лишь нескольким плазмидам, однако эффективность проникновения плазмид можно повысить, добавляя ионы Простейший путь для выявления клеток Е. coli, в которые попали новые гены, состоит в следующем. Клетки выращивают на твердой питательной среде, извлекают из каждой клеточной колонии ДНК и затем определяют, какая из колоний содержит ДНК, гибридизующуюся с радиоактивной кДНК, синтезированной на выделенной ранее мРНК. После этого выращивают колонию клеток Е. coli, содержащих рекомбинантную плазмиду, в ферментерах в больших объемах на свежей питательной среде, увеличивая число рекомбинантных плазмид в и более раз.

Подобная рекомбинантная ДНК, несущая неродственные гены из двух разных видов организмов, называется химерной ДНК. В «Илиаде» Гомера Химерой называлось мифическое существо с головой льва, телом козы и хвостом змеи.

Рисунок (см. скан)

1
Оглавление
email@scask.ru