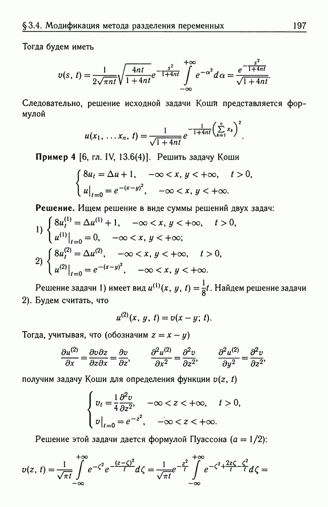
Главная > Практический курс по уравнениям математической физики
НАПИШУ ВСЁ ЧТО ЗАДАЛИ
СЕКРЕТНЫЙ БОТ В ТЕЛЕГЕ
<< Предыдущий параграф Следующий параграф >>
Пред.
След.
Макеты страниц

Распознанный текст, спецсимволы и формулы могут содержать ошибки, поэтому с корректным вариантом рекомендуем ознакомиться на отсканированных изображениях учебника выше

Также, советуем воспользоваться поиском по сайту, мы уверены, что вы сможете найти больше информации по нужной Вам тематике

ДЛЯ СТУДЕНТОВ И ШКОЛЬНИКОВ ЕСТЬ
ZADANIA.TO

Введение

Многие физические процессы в таких областях науки и техники, как механика, теплофизика, электричество и магнетизм, оптика, описываются с помощью уравнений с частными производными. Большинство уравнений самой математической физики есть уравнения с частными производными. В отличие от обыкновенных дифференциальных уравнений, в которых неизвестная функция зависит только от одной переменной, в уравнениях с частными производными неизвестная функция зависит от нескольких переменных (например, напряженность электрического поля зависит от пространственных координат и времени

К основным уравнениям с частными производными относятся:

— трехмерное уравнение Лапласа

— волновое уравнение

— уравнение теплопроводности

В этих уравнениях неизвестная функция зависит от нескольких переменных. Количество независимых переменных определяется размерностью пространства, в котором происходит физическое явление, и временной переменной (в случае нестационарных явлений). Широкий класс образуют линейные уравнения с частными производными относительно функции, зависящей от двух переменных. Эти уравнения можно записать в виде

где заданные функции независимых переменных х и — неизвестная функция.

Все линейные уравнения с частными производными второго порядка вида при условии, что в точке относятся к одному из трех типов: а) эллиптическому; б) гиперболическому; в) параболическому (в этой же точке .

Уравнения эллиптического типа описывают стационарные процессы и определяются условием

Уравнения гиперболического типа описывают волновые процессы и определяются условием

Уравнения параболического типа описывают процессы распространения тепла, диффузии (и некоторые другие) и определяются условием

Заметим, что в уравнениях гиперболического и параболического типов переменная носит характер временной переменной.

Таким образом, уравнения есть соответственно уравнения эллиптического, гиперболического и параболического типа.

Понятие решения. Решением (классическим) дифференциального уравнения с частными производными называется функция (обладающая производными, входящими в уравнение), которая при подстановке в уравнение обращает его в тождество по независимым переменным в рассматриваемой области. Например, функция решение уравнения в области — Отметим, что у одного и того же уравнения существует много разных решений. Подобное мы уже наблюдали, изучая обыкновенные дифференциальные уравнения. В случае же уравнения с частными производными множество решений значительно шире. Например, множество решений уравнения дается формулой где произвольные постоянные, а множество решений уравнения дается формулой где произвольные дважды дифференцируемые функции.

Отметим, что приведенное выше понятие решения не является единственно возможным. В настоящее время широко развита теория так называемых обобщенных решений (в разных смыслах). Однако мы в нашем элементарном курсе будем придерживаться данного классического определения.

Постановка задач. Для того чтобы выделить единственное решение из множества решений, необходимо задать дополнительные условия. Эти условия бывают разных видов — в зависимости от типа уравнения. Так мы приходим к постановке задач для уравнений с частными производными. Другими словами, задача — это уравнение с дополнительными условиями.

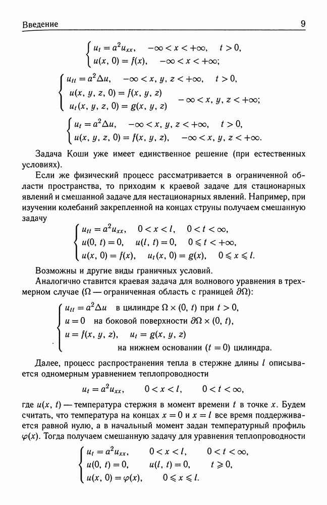
Для нестационарных процессов, изучаемых во всем пространстве, необходимо задавать начальные условия. В этом случае приходим к задаче Коши. Типичными примерами этой задачи являются следующие задачи:

Задача Коши уже имеет единственное решение (при естественных условиях).

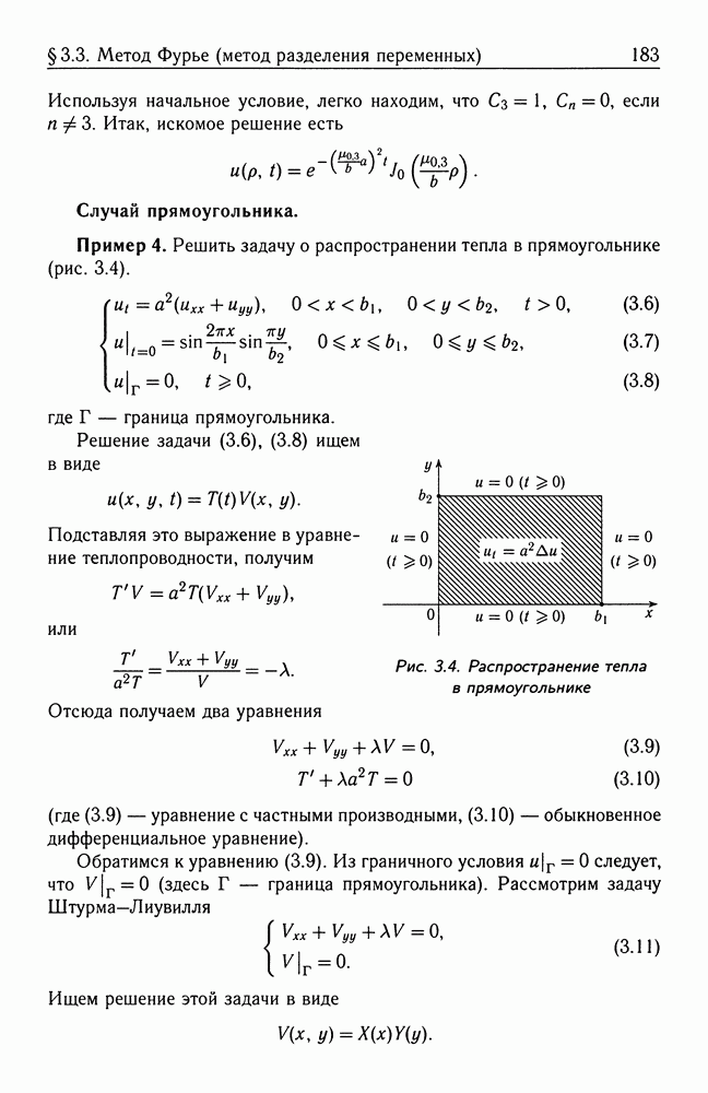
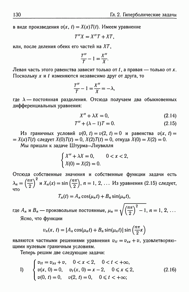
Если же физический процесс рассматривается в ограниченной области пространства, то приходим к краевой задаче для стационарных явлений и смешанной задаче для нестационарных явлений. Например, при изучении колебаний закрепленной на концах струны получаем смешанную задачу

Возможны и другие виды граничных условий.

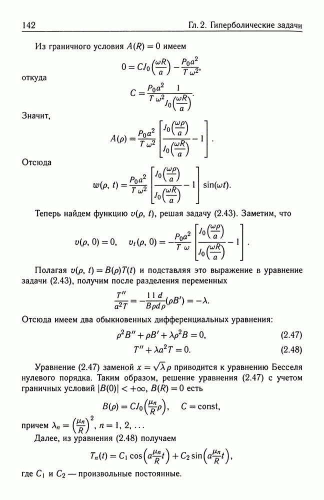
Аналогично ставится краевая задача для волнового уравнения в трехмерном случае — ограниченная область с границей

Далее, процесс распространения тепла в стержне длины описывается одномерным уравнением теплопроводности

где — температура стержня в момент времени в точке Будем считать, что температура на концах все время поддерживается равной нулю, а в начальный момент задан температурный профиль Тогда получаем смешанную задачу для уравнения теплопроводности

Вместо задания температуры на концах (границе) стержня можно задавать температуру окружающей среды или тепловой поток через границу.

Краевая задача для уравнения теплопроводности в трехмерном случае ставится аналогично:

Помимо физических явлений, развивающихся в пространстве и во времени, существует много явлений, которые не изменяются с течением времени. Эти явления в большинстве случаев описываются краевыми эллиптическими задачами. В отличие от гиперболического волнового уравнения или параболического уравнения теплопроводности, эллиптические краевые задачи не требуют начальных условий. Для них нужны только граничные (краевые) условия. Наиболее важны три типа граничных условий:

1) граничное условие первого рода (условие Дирихле);

2) граничное условие второго рода (условие Неймана);

3) граничное условие третьего рода (условие Робэна).

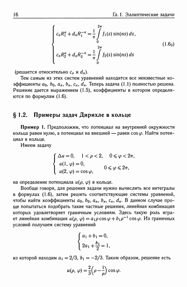
Например, краевая задача с граничными условиями первого рода (задача Дирихле) для уравнения Лапласа ставится так: требуется найти решение уравнения в некоторой области пространства (плоскости), принимающее на границе заданные значения. В качестве примера можно привести задачу о нахождении стационарного распределения температуры внутри области если задана температура на ее границе Другой пример: найти распределение электрического потенциала внутри области, если известен потенциал на ее границе. Математическая модель обоих явлений:

где заданная функция.

Краевая задача с граничными условиями второго рода (задача Неймана) для уравнения Лапласа ставится так: требуется найти решение уравнения в некоторой области пространства (плоскости), на границе которой задана внешняя нормальная производная (пропорциональная втекающему потоку тепла, вещества). Эта общая задача и для стационарной теплопроводности, и для электростатики, если на границе

задан поток, записывается так:

В отличие от задачи Дирихле для уравнения Лапласа задача Неймана имеет смысл только в том случае, когда полный поток через границу равен нулю, т.е. . Например, внутренняя задача Неймана в единичном круге

не имеет физического смысла, поскольку постоянный единичный поток внутри области не может обеспечить стационарность решения.

Аналогично ставятся краевые задачи Дирихле и Неймана для уравнения Пуассона Отметим только, что для того, чтобы существовало решение задачи Неймана

необходимо и достаточно, чтобы Другой особенностью задачи Неймана для уравнения Пуассона, отличающей ее от других граничных задач, является неединственность решения.

Краевая задача с граничными условиями третьего рода (задача Робэна) для уравнения Пуассона ставится так: требуется найти решение уравнения в некоторой области О пространства (плоскости), удовлетворяющее на границе условию где заданные функции на Эта задача записывается так:

На разрешимость этой задачи существенно влияет поведение функции в частности, ее знак.

Цель настоящей книги — рассмотреть некоторые методы решения задач математической физики. Различные методы описаны как формальные процедуры, без попытки их строгого математического обоснования.

От читателя не требуется понимания физической сути примеров, используемых для иллюстрации методов. Однако предполагается, что он знаком с основами математического анализа, а также с элементарными методами решений обыкновенных дифференциальных уравнений.

Рассмотрим кратко содержание предлагаемого пособия.

Глава 1 посвящена эллиптическим задачам. Рассмотрены метод Фурье для уравнений Лапласа и Пуассона в областях с определенной симметрией, метод Фурье для уравнения Гельмгольца (как в ограниченной, так и в неограниченной областях), метод функций Грина.

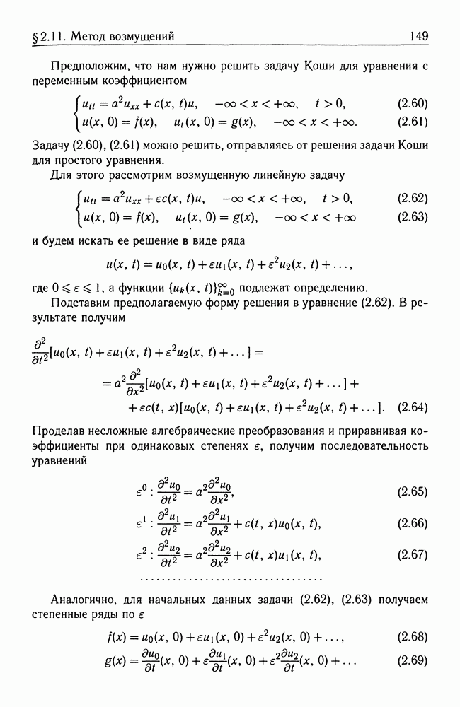
В главе 2 содержатся некоторые гиперболические задачи. Рассмотрено применение метода бегущих и стоячих волн в одномерном и многомерном случаях. Показано применение методов интегральных преобразований Фурье, Лапласа, Ханкеля для решения определенного круга задач. Здесь же иллюстрируется метод возмущений применительно к некоторым гиперболическим задачам.

Глава 3 посвящена параболическим задачам. Рассмотрено применение метода Фурье в областях с определенной симметрией. Приведены методы интегральных преобразований Фурье и Лапласа, а также метод разделения переменных для решения задачи Коши в случае неоднородного уравнения теплопроводности в одномерном и многомерном случаях.

В конце каждой главы приводятся задачи для самостоятельного решения и ответы к ним.

В заключение отметим, что в книге совсем не рассматриваются системы уравнений в частных производных, вероятностные методы решения краевых задач, численные методы, вариационный метод и другие ввиду ее ограниченного объема.

1
Оглавление
email@scask.ru