Главная > Вариационные принципы теории упругости и теории оболочек
НАПИШУ ВСЁ ЧТО ЗАДАЛИ
СЕКРЕТНЫЙ БОТ В ТЕЛЕГЕ
<< Предыдущий параграф Следующий параграф >>
Пред.
След.
Макеты страниц

Распознанный текст, спецсимволы и формулы могут содержать ошибки, поэтому с корректным вариантом рекомендуем ознакомиться на отсканированных изображениях учебника выше

Также, советуем воспользоваться поиском по сайту, мы уверены, что вы сможете найти больше информации по нужной Вам тематике

ДЛЯ СТУДЕНТОВ И ШКОЛЬНИКОВ ЕСТЬ
ZADANIA.TO

§ 2. Различные варианты принципов Лагранжа и Кастильяно — исходные пункты для преобразования вариационных принципов

В качестве исходных пунктов для применения теории преобразования вариационных проблем использованы принцип минимума потенциальной энергии

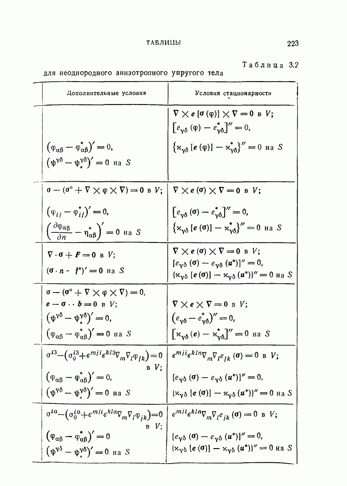
(принцип Лагранжа) и принцип максимума дополнительной энергии (принцип Кастильяно), как и в гл. 3.

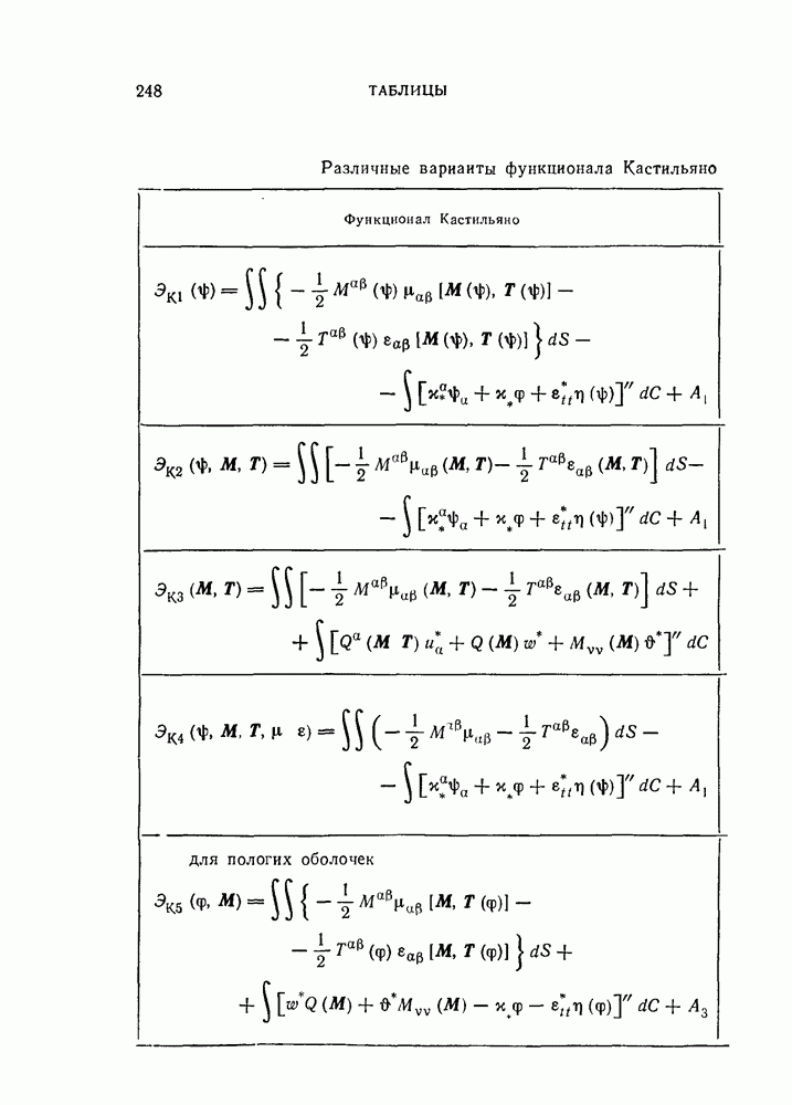
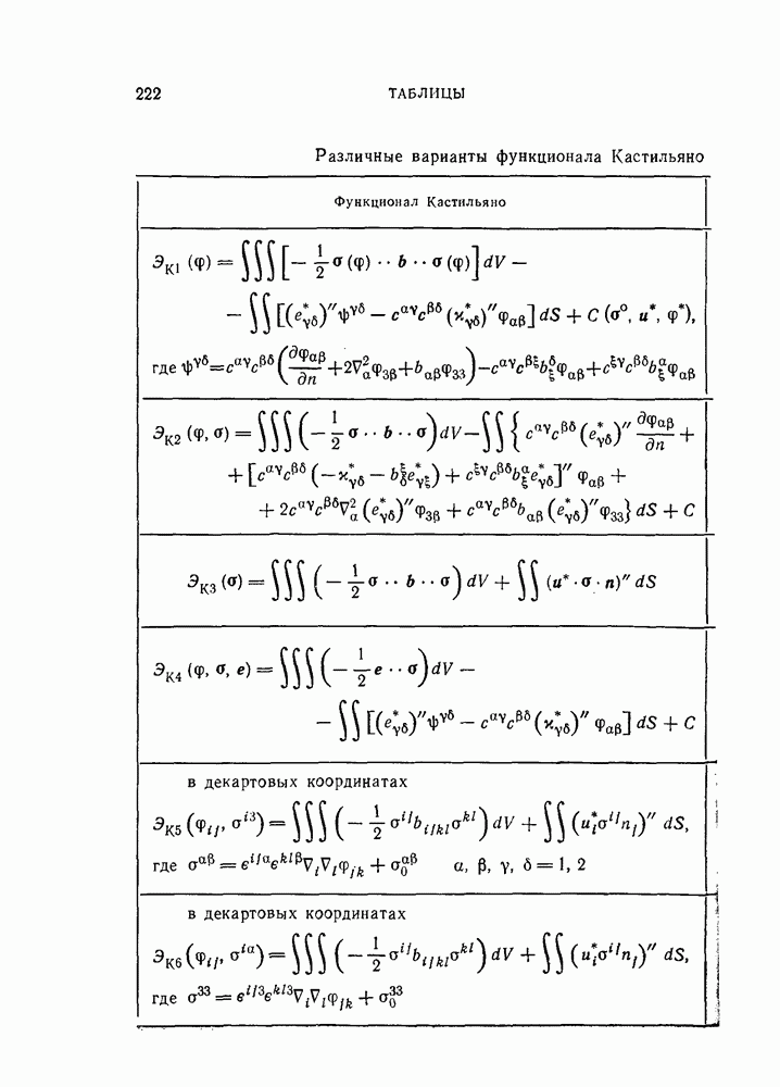
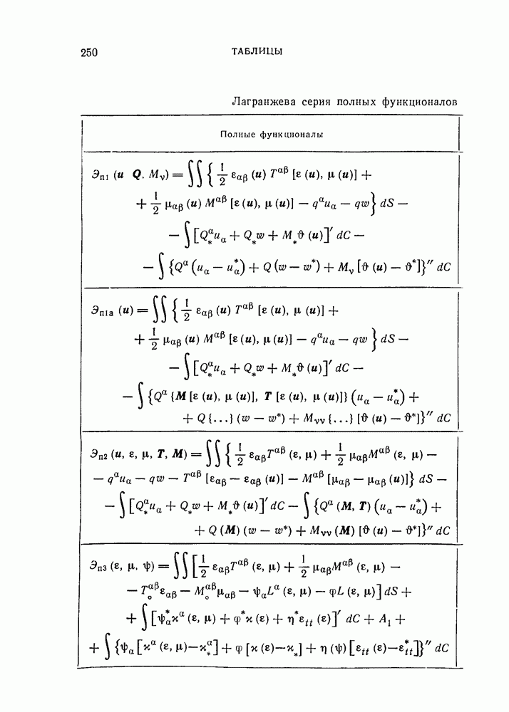
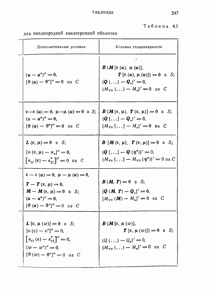
2.1. Различные варианты функционала Лагранжа (табл. 4.1).

а) Функционал Лагранжа в перемещениях и деформациях рассмотрен в § 1.

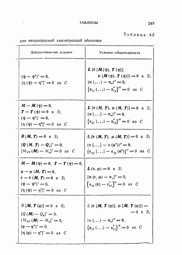
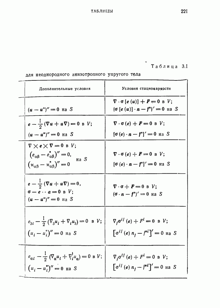
Этот функционал может быть преобразован в другие разновидности функционала Лагранжа, имеющие различные особенности: путем расширения пространства состояний за счет замены переменных искусственного введения соответствующих дополнительных условий; путем усечения пространства состояний за счет исключения некоторых переменных. Некоторые из полученных таким путем вариантов функционала Лагранжа (наиболее интересные с точки зрения авторов) представлены в табл. 4.1. Условия стационарности различных вариантов функционала Лагранжа — уравнения равновесия, но в различной форме.

б) Функционал Лагранжа в перемещениях (табл. 4.1) получен из путем исключения деформаций с помощью дополнительных условий (1.6), (1.12). Это наиболее распространенная форма функционала Лагранжа, чаще всего применяющаяся в приложениях как при численном, так и при аналитическом решении задач теории оболочек.

Дополнительными условиями являются геометрические граничные условия, а условиями стационарности — уравнения равновесия и статические граничные условия в перемещениях.

в) Функционал Лагранжа в деформациях В теории оболочек, как и в теории упругости (гл. 3, § 2.1в), возможна формулировка принципа Лагранжа в деформациях, в которой ни функционал, ни дополнительные условия (а значит, и условия стационарности) не содержат перемещений.

В тех случаях, когда геометрические граничные условия заданы на одном связном участке контура С, функционал может быть получен из

Чтобы преобразовать нужно исключить перемещения из и из дополнительных условий к нему. Рассмотрим это преобразование в случаях, когда контур оболочки С состоит из двух связных частей и на которых заданы геометрические и статические граничные условия соответственно.

После исключения перемещений из дополнительных условий (1.6), (1.12) они переходят в уравнения неразрывности (1.13); граничные условия в перемещениях (1.15) переходят в деформационные граничные условия (1.42).

В функционале перемещения содержатся в слагаемом

поверхностного интеграла и в контурном интеграле, который в рассматриваемом частном случае граничных условий имеет вид

Чтобы избавиться от перемещений в слагаемом (1), представим нагрузку в форме

где какое-либо частное решение неоднородных уравнений равновесия (1.24). Используя (3) и правило дифференцирования произведения, преобразуем и

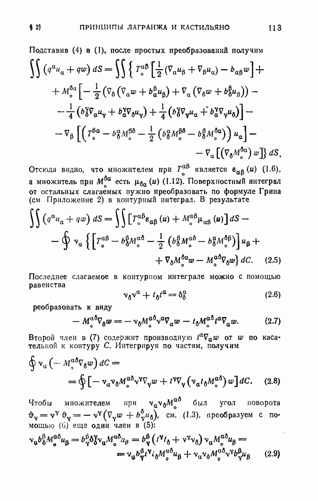
Подставив (4) в (1), после простых преобразований получим

Отсюда видно, что множителем при является а множитель при есть Поверхностный интеграл от остальных слагаемых нужно преобразовать по формуле Грииа (см Приложение 2) в контурный интеграл. В результате

Последнее слагаемое в контурном интеграле можно с помощью равенства

реобразовать к виду

Второй член в (7) содержит производную от по касательной к контуру С. Интегрируя по частям, получим

Чтобы множителем при был угол поворота см. (1.3), преобразуем с помощью еще один член в (5):

С помощью равенство (5) можно представить в виде

где

После этих преобразований контурный интеграл в примет вид

Так как на перемещения и угол поворота известны не варьируются, то второй интеграл в -постоянная, неварьируемая величина и не нуждается в дальнейших преобразованиях.

Чтобы исключить перемещения из первого интеграла в (11), воспользуемся общим решением (1.29) уравнений равновесия.

Пусть какая-либо функция напряжений, для которой усилия и моменты, вычисленные по (1.29), удовлетворяют граничным условиям (1.26). Тогда, согласно (1.44),

Таким образом, величины выражены через четыре функции заданные на части контура и их производные по касательной к контуру. Подставив (12) в (11) и проинтегрировав по частям, получим

где начало и конец части контура С. В точках так как эти точки принадлежат одновременно и

Заменив в равенствах (10) и на и соответственно, получим, с учетом (11), функционал Лагранжа в деформациях (табл. 4.1), где

константа определена в (14).

Функционал имеет некоторые особенности по сравнению с в вычислительном отношении, с точки зрения учета граничных условий. Его удобнее применять в случае деформационных граничных условий.

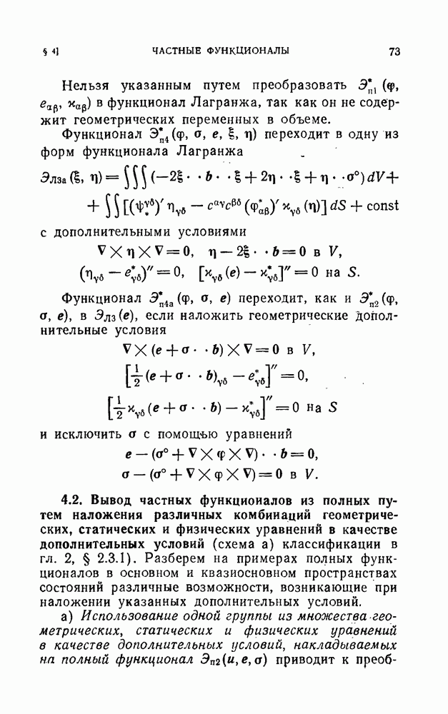
Преобразование Фридрихса (см. гл. 2, § 2.4) переводит в функционал Кастильяно (табл. 4.2) в функциях напряжений (см. § 2.2в).

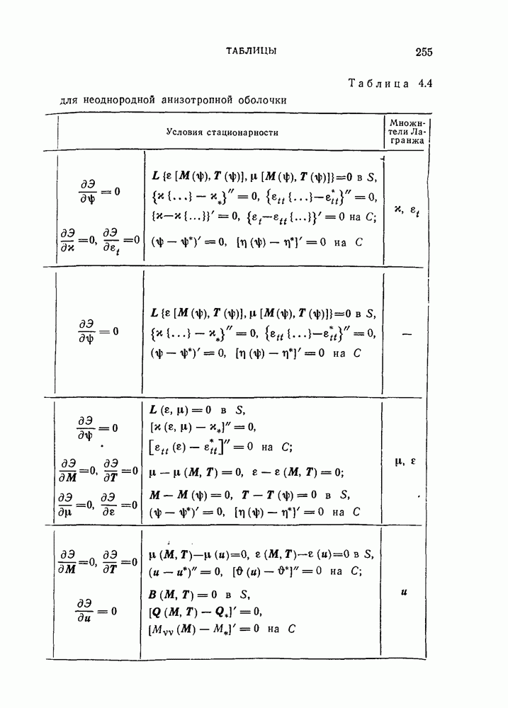
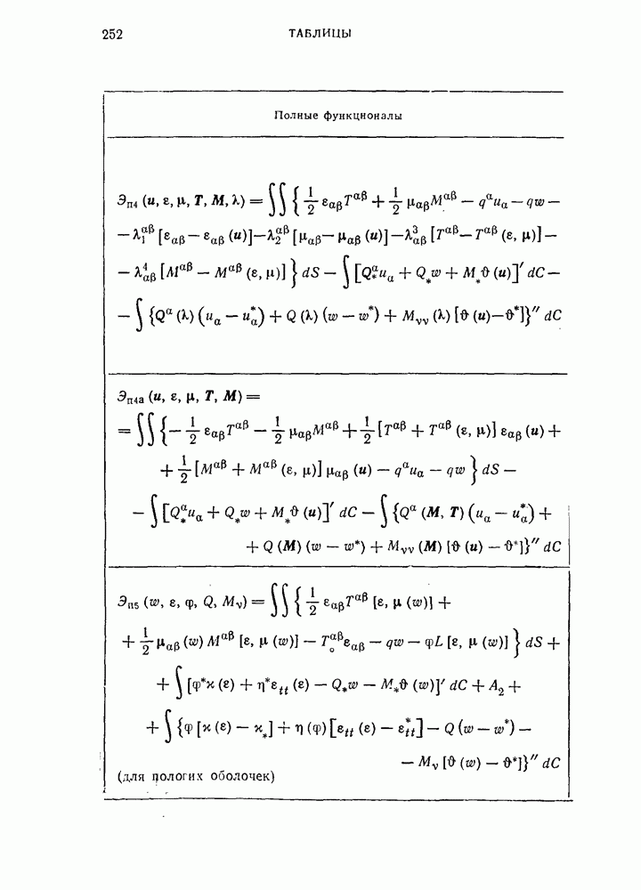
г) Функционал Лагранжа в основном пространстве состояний получается из за счет расширения пространства состояний. Вводятся новые неизвестные — усилия и моменты и соответствующие дополнительные условия — закон Гука (1.20)

Эта форма представления функционала Лагранжа в расширенном пространстве удобна для дальнейших преобразований по теории Куранта — Гильберта.

Функционалы имеют отличие по форме и дополнительным условиям к ним. Различия в вычислительном аспекте между ними несущественные. Однако разнообразие форм исходного пункта преобразований приводит к важным особенностям преобразованных функционалов не только по форме, но и в вычислительном отношении и, в частности, в экстремальных свойствах (см. § 5.1).

д) Функционал Лагранжа с неполными полями перемещений и деформаций может быть

получен для пологих оболочек из Для этого нужно в заменить выражения новыми переменными и ввести соответствующие дополнительные условия, а затем исключить тангенциальные перемещения из функционала и из дополнительных условий таким же путем, как это было сделано при выводе Исключение возможно для пологих оболочек, для которых выражения содержат только перемещения а два уравнения равновесия (1.49), в правых частях которых стоят нагрузки не зависят от третьего уравнения.

Функционал может служить исходным пунктом для получения смешанного функционала теории пологих оболочек (см. § 4).

е) Другие разновидности функционала Лагранжа, не представленные в табл. 4.1, можно получить из заменяя часть переменных выражениями или наоборот; например, функционал вида

с дополнительными условиями (1.12), (1.15).

2.2. Различные варианты функционала Кастильяно.

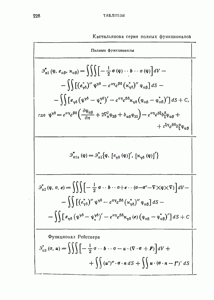
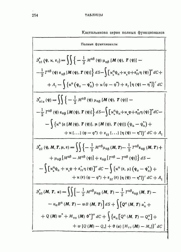
а) Функционал Кастильяно в усилиях. Принцип Кастильяно и функционал (табл. 4.2) в теории оболочек хорошо известны. Этот функционал может быть выведен из функционала Лагранжа (табл. 4.1) по следующей схеме (преобразование Фридрихса, см. гл. 2, § 2.4):

где полный функционал Ху-Вашицу (табл. 4.3). Это позволяет утверждать, что

функционалы имеют одно и то же стационарное значение.

Другие разновидности функционала Кастильяно (табл. 4.2) могут быть получены из с помощью общего решения (1.29) уравнений равновесия (1.24) и замены переменных либо преобразованием Фридрихса из функционалов Лагранжа (таб. 4.1).

б) Функционал Кастильяно в усилиях и функциях напряжений ) получен из путем замены дополнительных условий в форме уравнений равновесия (1.24) на эквивалентные им зависимости между усилиями и функциями напряжений (1.29). После этой замены зависит не только от , но и от Поверхностный интеграл в путем замены на и интегрирования по частям записан в функциях напряжений (см. аналогичное преобразование в § 2.1 в), с тем чтобы функционал имел вид, аналогичный функционалу (см. § 7).

Функционал связан преобразованием

Фридрихса (см. гл. 2, § 2.4) с функционалом Лагранжа

Функционал является промежуточной ступенью при преобразовании в который имеет преимущества в вычислительном отношении, заключающиеся в уменьшении количества неизвестных и отсутствии дополнительных условий. В то же время имеет большие возможности, чем как исходный пункт для преобразований по теории Куранта — Гильберта, аналогично функционалу Лагранжа

в) Функционал Кастильяно в функциях напряжений наиболее удобная для расчетов форма. Этот функционал может быть получен из путем исключения усилий : для этого нужно всюду заменить на их выражения через Дополнительные условия в области оказываются выполненными, остается лишь граничное условие для

Переход от означает учет дополнительных условий (1.24) с помощью общего решения (1.29) (см. гл. 1, § 2.2).

г) Функционал Кастильяно в квазиосновном пространстве состояний Функционал получен из путем расширения пространства за счет искусственного введения новых переменных — деформаций и дополнительных условий

(закон Гука (1-23) в обратной форме). В соответствии с замечанием в гл. 2, § 2.1 введение новых переменных и дополнительных условий расширяет возможности для преобразований функционалов Кастильяно в другие полные и частные функционалы.

д) Функционал Кастильяно с неполными полями функций напряжений и усилий может быть получен для пологих оболочек из Для этого нужно в заменить выражения новыми переменными и ввести соответствующие дополнительные условия, а затем исключить функции напряжений из функционала и из дополнительных условий. Исключение возможно для пологих оболочек, для которых выражения не содержат

Функционал как и (см. § 2.1 д), может служить исходным пунктом для получения смешанного функционала теории пологих оболочек (см. § 4).

е) Другие разновидности функционала Кастильяно, не представленные в табл. 4.2, можно получить из заменяя часть переменных выражениями или наоборот, например, функционал вида

с дополнительными условиями (18), (1.24), (1.26).

1
Оглавление
email@scask.ru