Главная > Динамические задачи нелинейной теории упругости
НАПИШУ ВСЁ ЧТО ЗАДАЛИ
СЕКРЕТНЫЙ БОТ В ТЕЛЕГЕ
<< Предыдущий параграф
Пред.
След.
Макеты страниц

Распознанный текст, спецсимволы и формулы могут содержать ошибки, поэтому с корректным вариантом рекомендуем ознакомиться на отсканированных изображениях учебника выше

Также, советуем воспользоваться поиском по сайту, мы уверены, что вы сможете найти больше информации по нужной Вам тематике

ДЛЯ СТУДЕНТОВ И ШКОЛЬНИКОВ ЕСТЬ
ZADANIA.TO

ПРИЛОЖЕНИЕ

А.1. Формулы из тензорного анализа.

Свяжем декартовы координаты , с трехмерным пространством Эвклида С декартовой системой естественно связаны три взаимно ортогональных вектора Радиус-вектор точки с координатами имеет вид

Криволинейные координаты определяются с помощью однозначной функции

имеющей обратную функцию

Согласно вектор может быть представлен как функция аргументов Частные производные вектора по являются ковариантными векторами базиса системы

Эти векторы будут касательными к кривым Скалярные произведения векторов базиса образуют ковариантный метрический тензор

Тензор, обратный к контравариантный метрический: если

Эта зависимость однозначно определяет Здесь, как и во всех последующих формулах, следует проводить суммирование по повторяющимся индексам (соглашение о суммировании). Контравариантные векторы базиса определяются с помощью формул

Согласно справедливо тождество

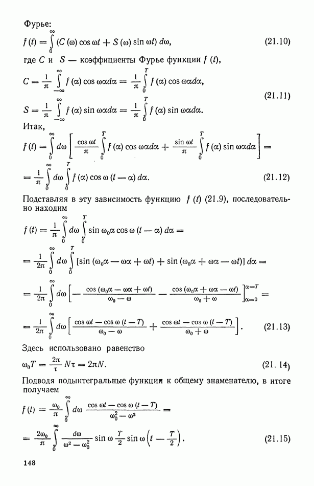
Векторы ортогональны к поверхности Метрическим ко- и контравариантным тензором декартовой системы координат является дельта-функция Кронекера (см. (А1.6)), а ко- и контравариантными векторами базиса являются единичные векторы

Введем произвольную систему координат определенную функциями вида

Согласно и правилам дифференцирования сложных функций выполняются равенства

Каждая система чисел которая при переходе к другой системе координат преобразуется согласно указанному выше правилу, т. е. более общо согласно правилу

называется системой координат тензора, или тензором. Общее число индексов является рангом тензора. Тензор нулевого ранга скалярный и инвариантный относительно преобразования а тензор первого ранга — вектор. Кроме метрического тензора одним из основных тензоров является тензор Риччи вида

где перестановочный символ, определенный следующим образом:

Если через обозначить определитель тензора то

Запишем формулы, которые легко проверить:

Пусть произвольный вектор. Его можно представить в виде суммы трех векторов с направлением или

Тройки чисел координаты вектора Из закона преобразования следует, что они являются координатами тензора. Умножая (А 1.16) 12 на или получаем

Это правило опускания и поднятия индексов относится ко всем тензорам, например

Пусть — произвольные векторы. Тогда справедливы зависимости

следующие из

Частная производная вектора базиса по является вектором Его координаты в базисе называют символами Кристоффеля:

Равнозначность легко доказывается, если подставить в тождество

Согласно частная производная вектора по х

Выражения

называют ковариантными производными тензоров Из инвариантности по отношению к замене системы координат и закона преобразования векторов базиса следует, что тензоры. Ковариантная производная тензора высшего ранга строится так, как ковариантная производная произведения тензоров первого ранга, например

Рассмотрим систему функций многих переменных:

Эта система является тензорной функцией, если координаты тензоров, т. е. если

Система функций может быть представлена в следующей сокращенной форме:

При переходе к другой системе координат функции изменяются. При этом справедливо тождество

Определяя производную по получаем

Отсюдч следует важный вывод — частная производная от тензорной функции по тензору является тензором.

В частности, имеется следующий простой способ определения тензорной функции. В выделенной системе координат определим функцию любой другой системе координат функция преобразуется следующим образом:

В частности, такой функцией, например, является функция

В системе

Видна разница между функциями

А2. Формулы из теории поверхностей.

Пусть является вектором, соединяющим некоторую фиксированную точку пространства с точкой поверхности

Кривые образуют на криволинейную систему координат

Ковариантные векторы базиса этой системы имеют следующий

а ковариантный метрический тензор является скалярным произведением

Ковариантные векторы базиса касательны к поверхности

Контравариантный метрический тензор и контравариантные векторы базиса определяются равенствами (суммирование по повторяющемуся индексу от I

Отсюда

Ортогональный к вектор обозначим через Поскольку векторы касательны к то

Дифференцируя по поверхностным координатам получаем тождества

Тензор кривизны поверхности равен по определению

Зависимости следуют из

Дополним двумерную систему координат третьим измерением т. е. представим радиус-вектор произвольной точки (не лежащей на в виде

или в произвольной системе координат

Векторы базиса системы согласно следующие:

Ограничим последующий анализ случаем т. е. поверхностью Согласно запишем формулы в виде

Равенство нулю следует из

Согласно и символы Кристоффеля имеют следующий

Эти символы можно определить только через . Поскольку , то приводится к формуле

На поверхности закон преобразования тензора приводится к следующему преобразованию:

поскольку Отсюда следует важное тождество

Согласно (А 1.16) находим

Если принять во внимание последовательно и определени то получим

Следовательно, координаты вектора удовлетворяют тождеству

Отметим, что а не

Согласно производная имеет вид

В последней формуле учтено Разлагая по компонентам в системе получаем

Введем двухточечную ковариантную частную производную Согласно определению этой производной, данной в § 1, имеем

Подчеркнем, что а не 1, 2, 3. Подставляя теперь находим

Рассмотрим две точки на с координатами Согласно получаем

Эти произведения называют соответственно первой, второй и третьей квадратичными формами поверхности.

A3. Деформации несжимаемого тела.

В каждом изотропном несжимаемом теле возможны определенные деформации с высокой степенью симметрии. Приведем их здесь последовательно, сохраняя обозначения и терминологию, использованные в монографии [1]. Соответствующие группы деформаций будем относить к семействам 0, 1 и т. д.

Семейство 0. Однородная деформация. В декартовых системах координат зависимости

определяют деформацию, для которой градиент деформации, тензор деформации и его инварианты соответственно равны

Тензор напряжений, соответствующий имеет следующий вид:

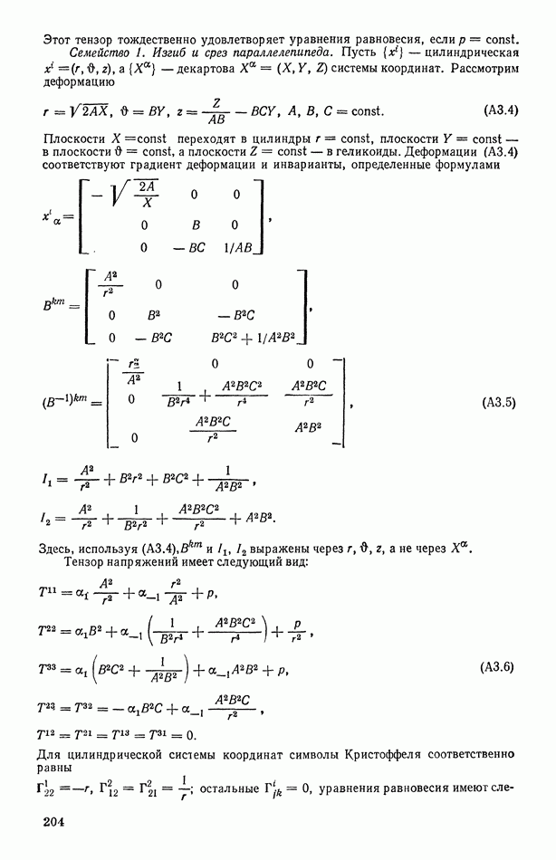
Этот тензор тождественно удовлетворяет уравнения равновесия, если

Семейство 1. Изгиб и срез параллелепипеда. Пусть цилиндрическая декартова системы координат. Рассмотрим деформацию

Плоскости переходят в цилиндры плоскости в плоскости а плоскости в геликоиды. Деформации соответствуют градиент деформации и инварианты, определенные формулами

Здесь, используя выражены через а не через Тензор напряжений имеет следующий вид:

Для цилиндрической системы координат символы Кристоффеля соответственно равны

остальные уравнения равновесия имеют

следующий вид:

Подставляя в эти уравнения тензоры получаем следовательно, Теперь обыкновенное дифференциальное уравнение с одной неизвестной решением которого является функция

Семейство 2. Удлинение и срез цилиндра конечной длины. Пусть декартова, а цилиндрическая системы координат, Рассмотрим деформации

Цилиндры переходят в плоскости а плоскости в плоскости Деформации соответствуют следующие величины (как в предыдущих случаях):

Аналогично семейству выразим через переменные, относящиеся к мгновенному состоянию. Тензор напряжений

а уравнения равновесия приводятся к уравнениям

После подстановки в получаем следовательно, Первое уравнение является алгебраическим относительно функции и его решение будет иметь вид

Семейство 3. Укорочение, изгиб, срез и кручение цилиндра конечной длины. Пусть обе системы координат являются цилиндрическими системами Рассмотрим деформации

Цилиндры переходят в цилиндры а плоскости в геликоиды. Градиент деформации, тензор деформации и его инварианты имеют следующий вид:

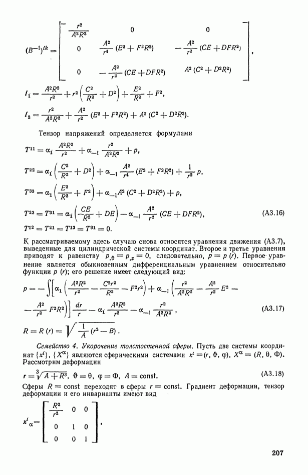
Тензор напряжений определяется формулами

К рассматриваемому здесь случаю снова относятся уравнения движения выведенные для цилиндрической системы координат. Второе и третье уравнения приводят к равенству следовательно, Первое уравнение является обыкновенным дифференциальным уравнением относительно функции его решение имеет следующий вид:

Семейство 4. Укорочение толстостенной сферы. Пусть две системы координат являются сферическими системами Рассмотрим деформации

Сферы переходят в сферы Градиент деформации, тензор деформации и его инварианты имеют вид

Тензор напряжений определяется по формулам

Для сферической системы координат символы Кристоффеля имеют вид

Поскольку часть составляющих тензора напряжений равна нулю, то уравнения равновесия приводятся к уравнениям

Согласно двум последним уравнениям Первое уравнение является обыкновенным дифференциальным уравнением, решением которого будет функция

Эриксен доказал, что приведенные выше деформации являются единственными возможными во всех несжимаемых упругих материалах, такими что или . В линейной теории такими деформациями являются все деформации, вектор перемещения которых удовлетворяет уравнению .

А4. Ограничения на функции материала.

В линейной теории упругости постоянные Ляме не могут быть произвольными. Из требования, чтобы увеличению длины стержня сопутствовало положительное напряжение, а всестороннему сжатию — уменьшение объема, чтобы скорости распространения волны были положительными и т. д., возникают следующие ограничения;

В нелинейной теории упругости аналогичным ограничениям подвержены введенные выше функции материала

Для нахождения ограничений на функции материала нелинейной теории упругости рассмотрим параллелепипед, ребра которого в недеформированном состоянии равны единице длины. Масса его, следовательно, равна Параллелепипед подвержен однородной деформации, определенной градиентом деформации Не уменьшая общности, предположим, что системы координат декартовы, следовательно, Для создания этой деформации на гранях параллелепипеда необходимо приложить силы равные где и т.д. (рис. 34).

Рис. 34

Рис. 35

Зафиксируем теперь все силы и подвергнем параллелепипед такой последующей однородной деформации, чтобы градиент деформации перешел в Силы при этом совершают работу

Поскольку силы зафиксированы, то они имеют потенциал, который при деформации а изменяется на Итак, приращение полной энергии системы (см. рис. 34) равно

Пусть

где симметричный тензор. Итак, деформации, описанные отличаются чистым растяжением, а не поворотом. Для градиента состояние, показанное на рис. 34, является состоянием равновесия. Следовательно, полная энергия имеет экстремум. Постулируем, что в классе градиентов, описанных формулой этот экстремум является абсолютным минимумом. Согласно этому постулату каждое чистое растяжение вызывает полную энергию системы, показанной на рис. 34. Сужение класса градиентов необходимо, поскольку при сжимающих нагрузках поворот может вызвать уменьшение полной энергии. Такой случай показан на рис. 35. Постулат об абсолютном минимуме равнозначен неравенству

которое называется условием Коулмэна — Нолла и обозначается

Пусть тензор напряжений, соответствующий градиенту а. Меняя местами согласно получаем неравенство

Складывая левые и правые части приходим к основному неравенству

которое называется обобщенным условием Коулмэна — Нолла и обозначается символом Согласно этому условию тензор напряжений Пиолы — Кирхгофа является выпуклой функцией градиента деформации (в классе градиентов, отличающихся симметричным тензором). Из условия следует условие, обозначаемое символом

В изолированных точках условие может переходить в равенство. Это условие можно записать в следующих равнозначных формах:

где

Тензор определен формулой (4.33).

Возвратимся к неравенству Рассмотрим деформации, которые в декартовых системах координат определяются формулами

где, по крайней мере для одной пары чисел, Соответствующие градиенты деформации являются следующими:

Видно, что тензор определенный по является симметричным. Итак, неравенство принимает вид

В полученное условие вообще не входят касательные силы В частном случае, когда неравенство приводит к

следующему:

Следовательно, при фиксированных сила в направлении является возрастающей функцией удлинения Примем далее, что Согласно

В неравенствах можно делать круговую перестановку индексов.

Для установления зависимостей, которые имеют место между условиями определим следующие тензоры и скалярные функции:

где скалярный параметр, Для справедливо равенство Для каждого градиент отличается от градиента чистым растяжением, так как по определению является симметричным тензором. Производная определяется формулой

где

а условия принимают соответственно вид

поскольку условие удовлетворяется для каждого градиента т.е. для Интегрируя в пределах до 1, согласно получаем Следовательно, условие включает в себя условие Далее условие равнозначно условию Включение проанализировано. Включение обратного направления следует из таких преобразований:

Здесь использована формула а потом неравенство

Перейдем теперь ко второму из основных условий, ограничивающих функции материала: к условию сильной эллиптичности, которое будем обозначать через Параллелограмм, показанный на рис. 34, находится в однородном деформированном состоянии. Следовательно, краевая задача для малой дополнительной деформации определяется формулами (ср. (4.39))

Необходимым и достаточным условием однозначного решения этой краевой задачи является неравенство

которое должно выполняться для любых пар векторов Строго говоря, в этом неравенстве достаточен знак Однако если требовать однозначность для всех состояний между то следует взять знак «больше», поскольку для естественного состояния задача переходит в задачу линейной теории упругости, для которой имеет место в знак «больше» (тогда функции выражаются через и с (26.16)). Из неравенства следует

Поскольку градиент является неособым тензором, вектор можно представить в виде

Теперь неравенство принимает вид

Каждый тензор второго порядка, ранг 7 которого равен единице, может быть представлен как тензорное произведение двух векторов. Следовательно, условие можно записать в следующем виде:

Равнозначные условия сильной эллиптичности обозначим через Отметим формальное подобие Условия и отличаются только областью изменения тензора

Преобразования, представленные в формулах были проведены для симметричного Можно повторить эти преобразования для тензора с рангом, равным единице. Таким образом, приходим к выводу, что влечет за собой выполнение неравенства

для тензоров с рангом, равным единице. Для любого среза градиент деформации где тензор с рангом, равным единице. Отсюда следует, что условие налагает на срез такие же ограничения, как условие на деформации без вращения.

Перейдем теперь к рассмотрению ограничений на функции изотропного материала. Для такого материала тензор напряжения, соответствующий деформации определяется формулами (см. (5.13))

Неравенства относятся к изотропному материалу. Однако можно построить последующее важное неравенство, вытекающее из . Инварианты деформированного состояния такие же, как для деформации Отсюда что согласно приводит к равенству

Неравенство приводит к неравенству

Следовательно, в однородно деформированном параллелепипеде большему из удлинений соответствует большая сила. Подставляя получаем

Таким образом, функции материала удовлетворяют неравенству

Круговой перестановкой индексов можно получить два последующих неравенства. Далее примем во внимание градиент деформации

где произвольный параметр. Отсюда тензор

Это тензор с рангом, равным единице. Итак, можно применить условие которое приводит к неравенству

Для градиентов деформации, данных выше, получаем

Это показывает, что функции материала удовлетворяют неравенству

Круговой перестановкой индексов можно получить два последующих неравенства.

СПИСОК ЛИТЕРАТУРЫ

(см. скан)

(см. скан)

(см. скан)

СПИСОК ДОПОЛНИТЕЛЬНОЙ ЛИТЕРАТУРЫ

(см. скан)

1
Оглавление
email@scask.ru