Главная > Уравнения и неравенства. Нестандартные методы решения
НАПИШУ ВСЁ ЧТО ЗАДАЛИ
СЕКРЕТНЫЙ БОТ В ТЕЛЕГЕ
<< Предыдущий параграф Следующий параграф >>
Пред.
След.
Макеты страниц

Распознанный текст, спецсимволы и формулы могут содержать ошибки, поэтому с корректным вариантом рекомендуем ознакомиться на отсканированных изображениях учебника выше

Также, советуем воспользоваться поиском по сайту, мы уверены, что вы сможете найти больше информации по нужной Вам тематике

ДЛЯ СТУДЕНТОВ И ШКОЛЬНИКОВ ЕСТЬ
ZADANIA.TO

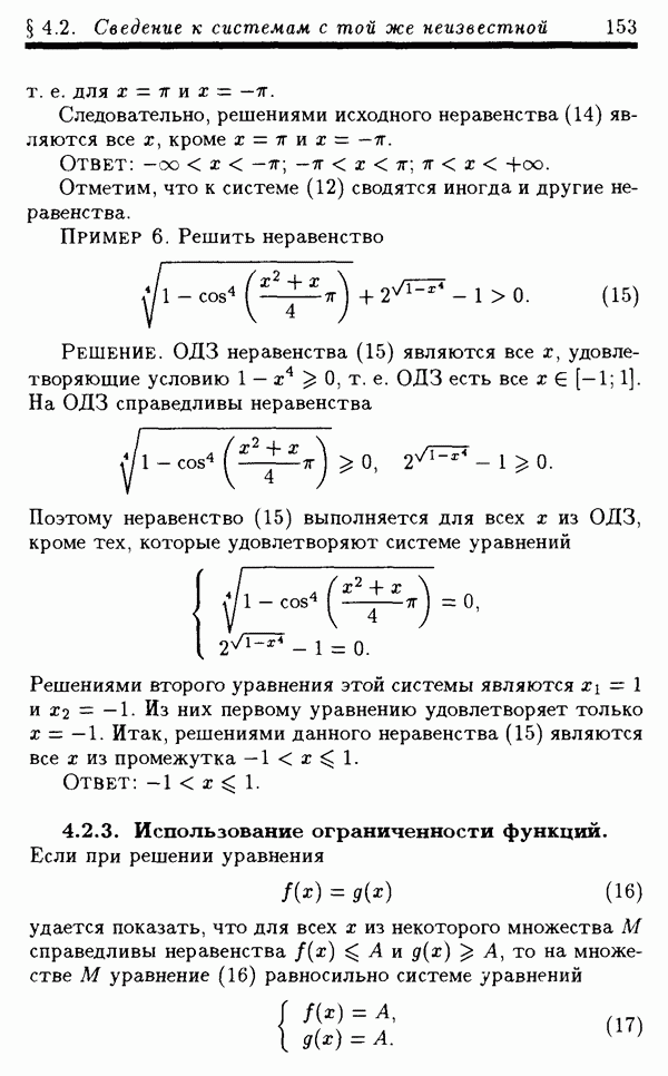
§ 3.5. Решение некоторых уравнений сведением их к решению систем уравнений относительно новых неизвестных

В некоторых случаях решение уравнения можно свести к решению системы уравнений относительно вводимых новых неизвестных. Этот прием мы проиллюстрируем на примерах. ПРИМЕР 1. Решить уравнение

РЕШЕНИЕ. Пусть решение уравнения (1). Вводим новые неизвестные Ясно, что и удовлетворяют системе уравнений

Поскольку, как легко проверить,

то систему (2) можно переписать в виде

Подставляя во второе уравнение системы (3) число —1 вместо и получаем уравнение которое можно переписать в виде откуда либо либо

Таким образом, для нахождения и и имеем две системы уравнений:

Вторая система решений не имеет. Решения первой системы есть откуда следует, что решения уравнения (1) содержатся среди чисел Проверка показывает, что оба эти числа являются решениями уравнения (1).

Ответ:

Пример 2. Решить уравнение

Решение. Пусть решение уравнения (4). Введем новую неизвестную Хогда для нахождения имеем систему уравнений

Поскольку то, вводя новые неизвестные систему (5) можно переписать в виде

Решения этой системы есть пары чисел откуда для нахождения получаем системы уравнений

Решения первой из этих систем есть Вторая система решений не имеет. Итак, все решения уравнения (4) содержатся среди чисел

Проверка показывает, что эти числа являются решениями уравнения (4).

Ответ:

Пример 3. Решить уравнение

Решение. Пусть решение уравнения (6). Введем новую неизвестную тогда являются решением системы уравнений

Вводя новые неизвестные хоуо, перепишем систему (7) в виде

Решения системы (8) есть Следовательно, для нахождения получаем систему уравнений

Эта система имеет две пары решений: Итак, все решения уравнения (6) содержатся среди

чисел Проверка показывает, что оба эти числа являются корнями уравнения (6).

Ответ:

Пример 4. Решить уравнение

Решение. Пусть решение уравнения (9). Введем новые неизвестные Тогда и и и являются решениями системы уравнений

Эта система равносильна системе

или системе

Решения системы (10) есть это означает, что решениями уравнения (9) могут быть только числа Проверка показывает, что эти числа являются решениями уравнения (9).

Ответ:

ПРИМЕР 5. Решить уравнение

РЕШЕНИЕ. Пусть решение уравнения (11). Введем новые неизвестные тогда и и и удовлетворяют системе уравнений

Из первого уравнения Подставляя вместо выражение во второе уравнение системы (12), имеем уравнение Это уравнение имеет единственное

решение но тогда Итак, возможное значение корня уравнения (11) есть Подставляя это значение в уравнение (11), получаем, что оно есть его решение. Ответ:

Пример 6. Решить уравнение

Решение. Пусть решение уравнения (13). Введем новые неизвестные тогда и и являются решениями системы уравнений

Решениями этой системы являются откуда следует, что удовлетворяет либо уравнению либо уравнению Первое из этих уравнении решений не имеет. Решения второго уравнения есть Итак, решения уравнения (13) содержатся среди чисел Подставляя эти числа в уравнение (13), видим, что они являются его решениями.

Ответ:

Пример 7. Решить уравнение

Решение. Обозначим

Тогда уравнение (14) перепишется в виде

Пусть решение уравнения (15). Введем новые неизвестные Тогда и И V являются решениями системы уравнений

Из первого уравнения этой системы Подставляя вместо и во второе уравнение получаем уравнение Это уравнение имеет единственный корень откуда следует, что удовлетворяет уравнению

Так как уравнение имеет два корня то уравнение (17) равносильно совокупности уравнений

которая в свою очередь равносильна совокупности уравнений

Перепишем последнюю совокупность уравнений в виде

Так как уравнение имеет два корня: то первое уравнение совокупности (18) равносильно совокупности двух уравнений: решения которой есть Так как уравнение имеет два корня: то второе уравнение совокупности (18) равносильно совокупности двух уравнений:

имеющеи единственное решение Итак, все корни уравнения (14) содержатся среди чисел

Подставляя эти числа в уравнение (14), убеждаемся в том, что они есть его решения.

Ответ:

Пример 8. Решить уравнение

РЕШЕНИЕ. Пусть решение уравнения (19). Введем новые неизвестные Тогда и и являются решениями системы уравнений

Из первого уравнения этой системы и. Подставляя вместо и во второе уравнение, получаем уравнение

Легко видеть, что уравнение (20) имеет корень Разделив многочлен, находящийся в левой части уравнения (20), на получим тождество , откуда следует, что кроме остальные корни уравнения (20) есть корни уравнения

Ясно, что надо искать лишь те корни уравнения (20), которые удовлетворяют условию Поскольку , то очевидно, что при имеем и Поэтому при любом из промежутка Следовательно, уравнение (21) не имеет корней на отрезке

Таким образом, все корни уравнения (19) содержатся среди корней уравнения

Перепишем уравнение (22) в виде

Уравнение (23) имеет решения Итак, все корни уравнения (19) содержатся среди чисел

Подставляя эти числа в уравнение (19), убеждаемся в том, что все они являются его решениями.

Ответ:

Замечание. Конечно, уравнение (19) можно решить проще. Действительно, поскольку то уравнение (19) равносильно уравнению

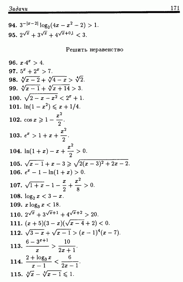
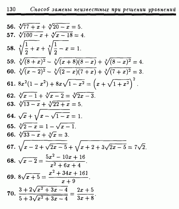
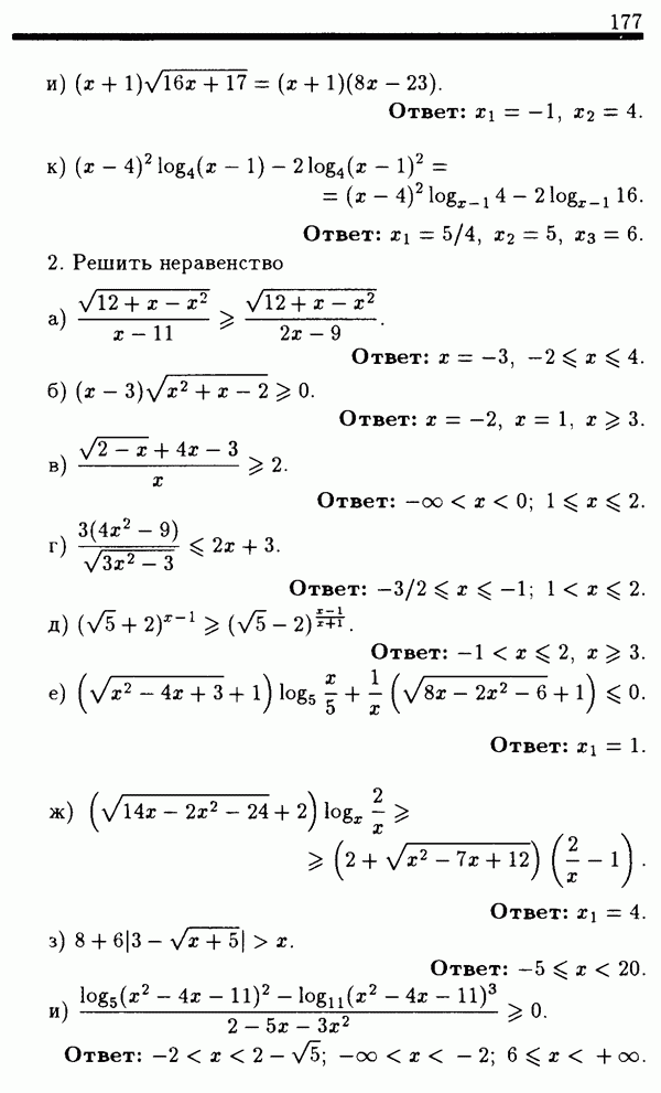
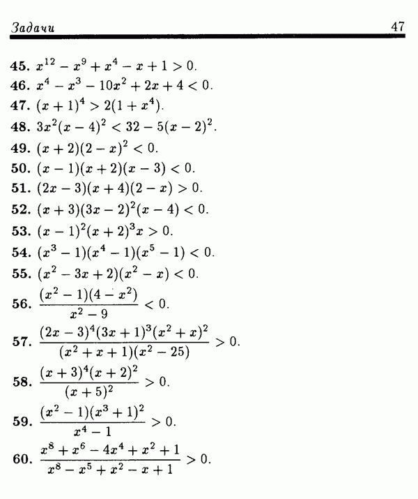
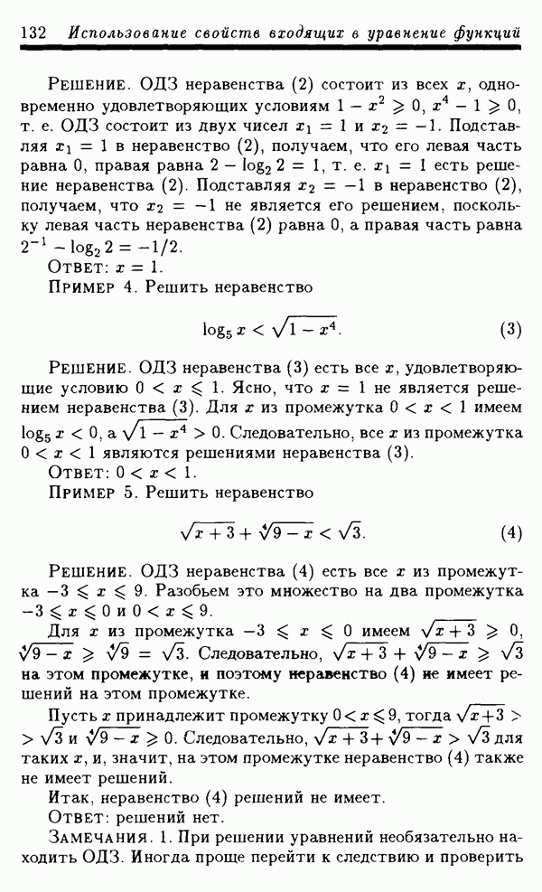
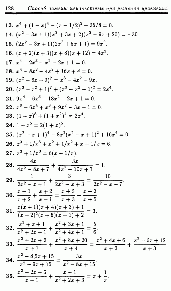
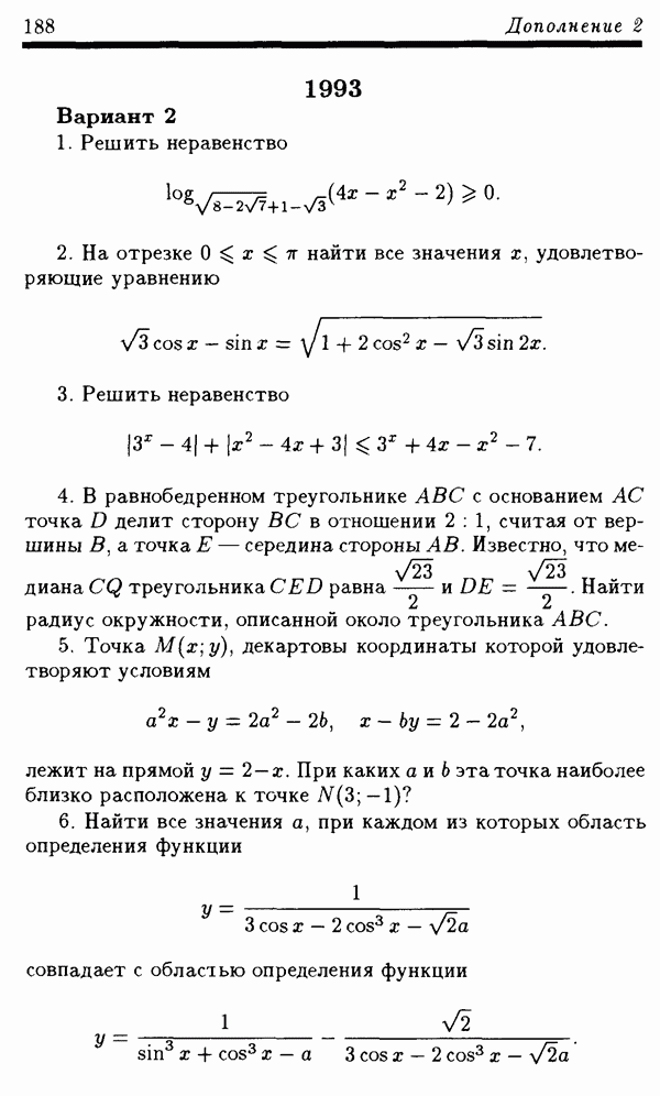
Задачи

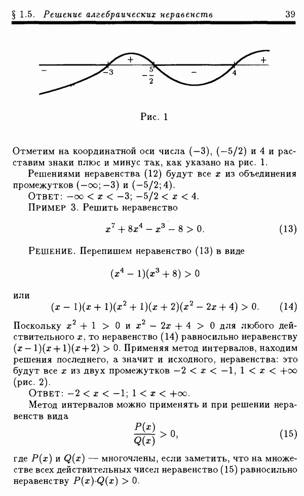
(см. скан)

(см. скан)

(см. скан)

(см. скан)

1
Оглавление
email@scask.ru