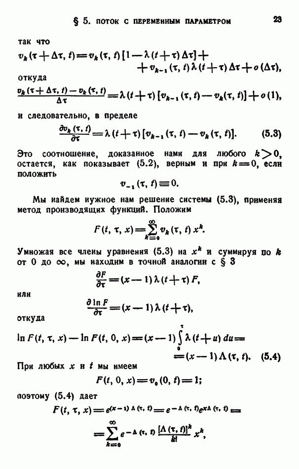
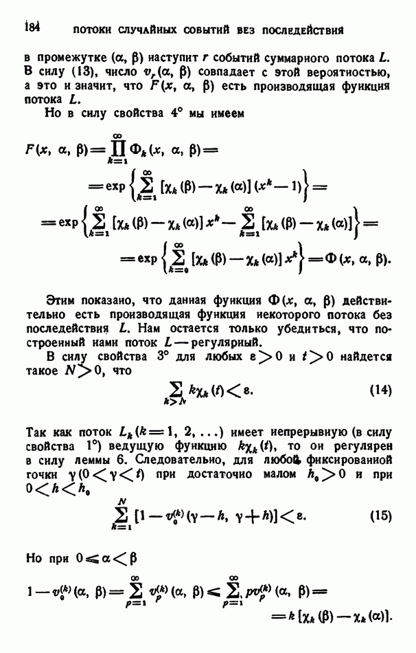
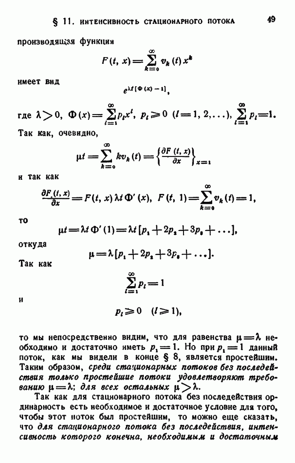
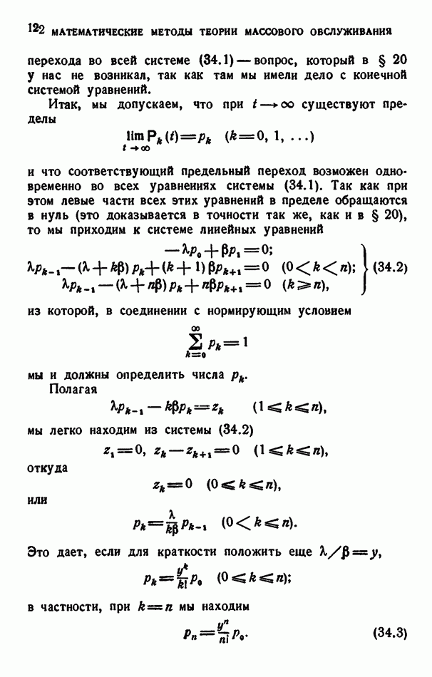
Главная > Работы по математической теории массового обслуживания
НАПИШУ ВСЁ ЧТО ЗАДАЛИ
СЕКРЕТНЫЙ БОТ В ТЕЛЕГЕ
<< Предыдущий параграф Следующий параграф >>
Пред.
След.
Макеты страниц

Распознанный текст, спецсимволы и формулы могут содержать ошибки, поэтому с корректным вариантом рекомендуем ознакомиться на отсканированных изображениях учебника выше

Также, советуем воспользоваться поиском по сайту, мы уверены, что вы сможете найти больше информации по нужной Вам тематике

ДЛЯ СТУДЕНТОВ И ШКОЛЬНИКОВ ЕСТЬ
ZADANIA.TO

§ 31. Определение функций ...

Обозначим через многочлен степени

где и следовательно,

Лемма. Многочлены связаны рекуррентной формулой

Доказательство. Мы имеем

(см. скан)

что и доказывает лемму.

Теперь мы можем найти явное выражение для рациональных функций

Теорема.

Доказательство. Так как как легко видеть, то при доказываемое соотношение (31.2) имеет вид:

и было нами установлено уже в § 30. Допустим поэтому, что и соотношение (31.2) уже установлено для Убедимся, что оно остается справедливым и для этим, очевидно, теорема будет доказана.

В силу принятого допущения мы имеем

где

Поэтому в силу (30.2)

Подлежащее доказательству соотношение (31.2) поэтому равносильно соотношению

которое в свою очередь в силу (31.1) равносильно соотношению

подставляя вместо его выражение (31.3), мы находим,

что доказать надо следующее равенство:

или

Но это соотношение мы непосредственно получаем, заменяя в рекуррентной формуле на на Таким образом, наша теорема доказана.

Мы видим, что каждая функция представляет собой лравильную рациональную дробь, числитель которой есть многочлен степени , а знаменатель — степени

1
Оглавление
email@scask.ru