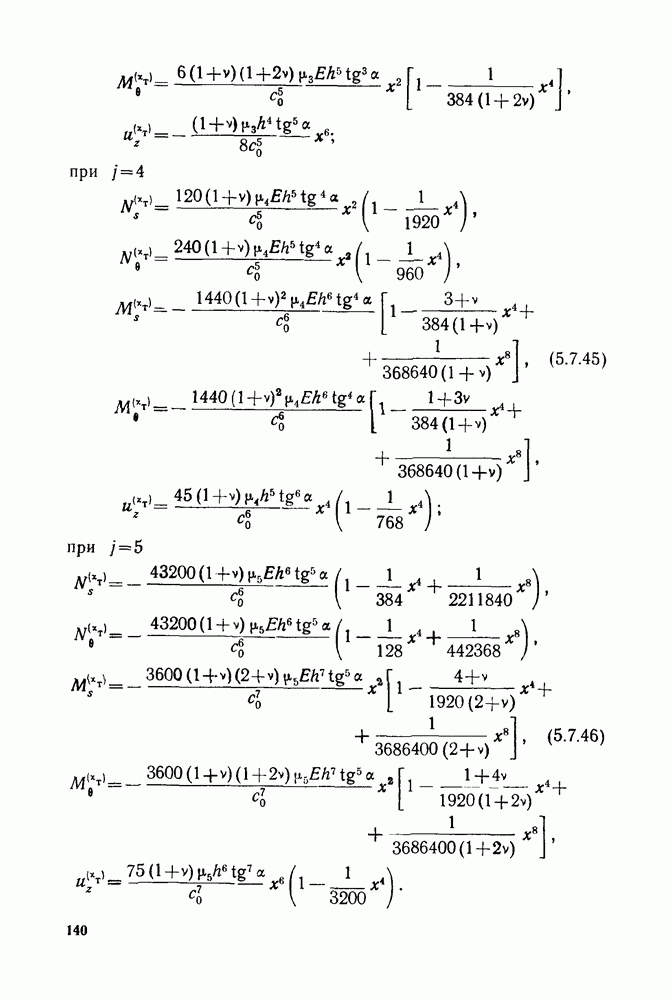
§ 5.3. Уравнения равновесия оболочки
 
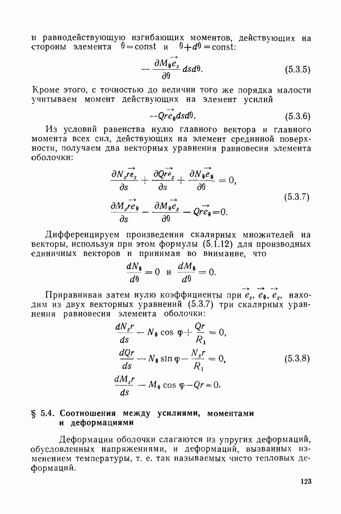
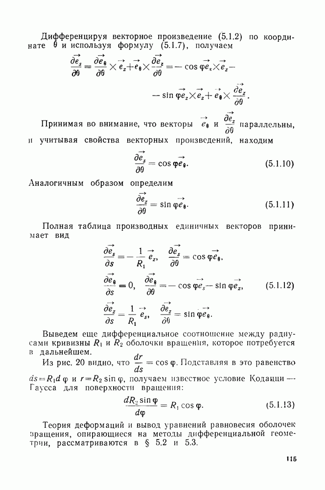
Выделим из оболочки элемент двумя меридиональными сечениями  и двумя коническими поверхностями
 и двумя коническими поверхностями  и
 и  нормальными к срединной поверхности. Пусть
 нормальными к срединной поверхности. Пусть  нормальные напряжения, действующие по площадкам, ограничивающим элемент; о — касательные напряжения, действующие по тем же площадкам в направлении единичного вектора
 нормальные напряжения, действующие по площадкам, ограничивающим элемент; о — касательные напряжения, действующие по тем же площадкам в направлении единичного вектора  (рис. 22).
 (рис. 22). 
В теории оболочек вместо напряжений вводятся статически эквивалентные им усилия и моменты по формулам 
 
 
 
Рис. 22. 
Здесь  соответственно нормальное усилие, поперечное усилие и изгибающий момент в сечении
 соответственно нормальное усилие, поперечное усилие и изгибающий момент в сечении  нормальное усилие и изгибающий момент в сечении
 нормальное усилие и изгибающий момент в сечении  
 
Внутренние усилия и моменты отнесены к единице длины соответствующей координатой линии срединной поверхности (параллели или меридиана). 
Положительные направления внутренних сил и моментов указаны на рис. 23. 
Задача о равновесии пространственного элемента оболочки сводится к задаче о равновесии соответствующего элемента срединной поверхности. Этот элемент ограничен параллелями  и меридианами
 и меридианами  
 
На сторону элемента  действует усилие
 действует усилие
 
 
 
а на сторону элемента  усилие
 усилие 
 
Равнодействующая этих двух усилий равна 
 
 
Рис. 23. 
Таким же образом находим равнодействующую усилий, действующих на стороны элемента  
 
 
 
равнодействующую изгибающих моментов, действующих на стороны элемента  
 
 
 
 
и равнодействующую изгибающих моментов, действующих на стороны элемента  
 
 
 
Кроме этого, с точностью до величин того же порядка малости учитываем момент действующих на элемент усилий 
 
 
Из условий равенства нулю главного вектора и главного момента всех сил, действующих на элемент срединной поверхности, получаем два векторных уравнения равновесия элемента оболочки: 
 
 
Дифференцируем произведения скалярных множителей на векторы, используя при этом формулы (5.1.12) для производных единичных векторов и принимая во внимание, что 
 
приравнивая затем нулю коэффициенты при  находим из двух векторных уравнений (5.3.7) три скалярных уравнения равновесия элемента оболочки:
 находим из двух векторных уравнений (5.3.7) три скалярных уравнения равновесия элемента оболочки: 
