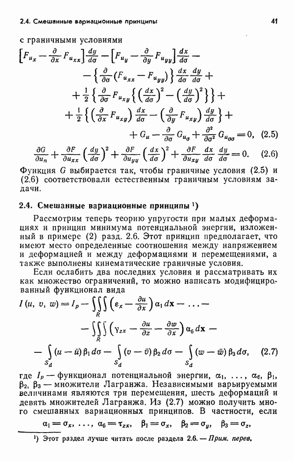
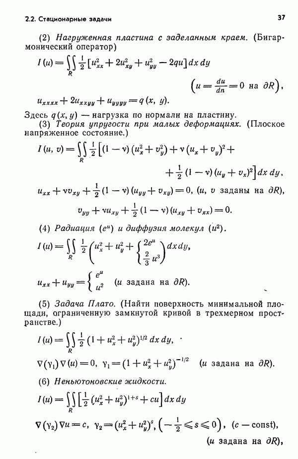
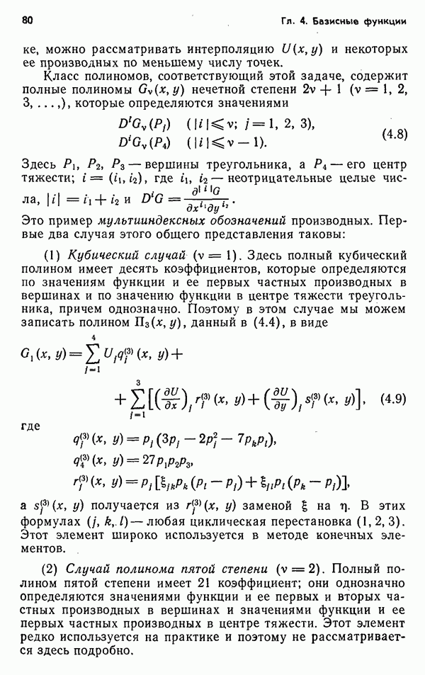
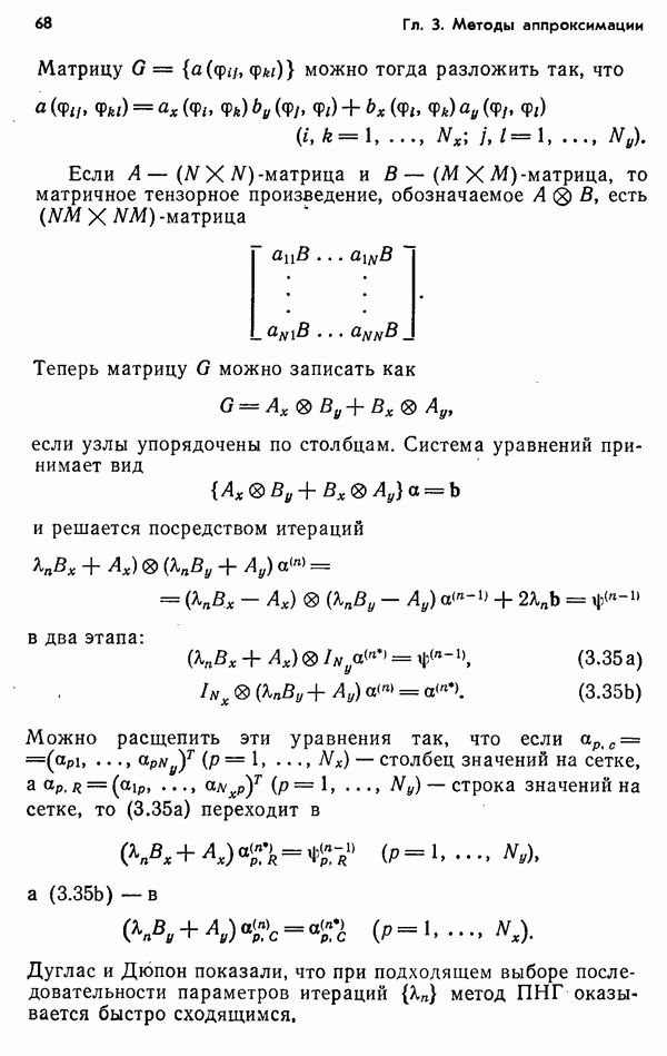
Главная > Метод конечных элементов для уравнений с частными производными
НАПИШУ ВСЁ ЧТО ЗАДАЛИ
СЕКРЕТНЫЙ БОТ В ТЕЛЕГЕ
<< Предыдущий параграф Следующий параграф >>
Пред.
След.
Макеты страниц

Распознанный текст, спецсимволы и формулы могут содержать ошибки, поэтому с корректным вариантом рекомендуем ознакомиться на отсканированных изображениях учебника выше

Также, советуем воспользоваться поиском по сайту, мы уверены, что вы сможете найти больше информации по нужной Вам тематике

ДЛЯ СТУДЕНТОВ И ШКОЛЬНИКОВ ЕСТЬ
ZADANIA.TO

(С) ПРАКТИЧЕСКОЕ ИСПОЛЬЗОВАНИЕ ДВОЙСТВЕННЫХ ВАРИАЦИОННЫХ ПРИНЦИПОВ

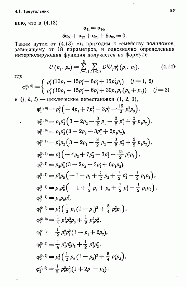
В гл. 2 было приведено несколько примеров таких задач, для которых справедливы двойственные вариационные принципы. Почти во всех случаях численное решение таких задач с помощью метода конечных элементов основывается на принципе минимума, а не на принципе максимума. Вообще говоря, это происходит потому, что принцип минимума легче реализовать практически. Сейчас мы решим с помощью метода конечных элементов одну простую задачу, используя сначала принцип минимума, а затем принцип максимума, и сравним полученные результаты.

Рис. 31.

Выбранная нами задача состоит в нахождении функции и, которая удовлетворяет уравнению

и граничному условию

где R есть единичный квадрат , а функция g задана на границе квадрата. Область разобьем на треугольные элементы, как показано на рис. 31.

Принцип минимума для этой задачи сводится к нахождению

где функции и удовлетворяют граничному условию, а

Если на каждом треугольнике решение аппроксимируется линейным интерполянтом, определяемым значениями и в вершинах треугольника, то полный интерполянт U запишетсй в виде

где N есть число узлов, а кусочно-линейные базисные функции. Неизвестные значения во внутренних узлах получаются путем минимизации (7.22) после замены и на

Принцип максимума (Артуре и Ривс, 1974) сводится к нахождению

где

Такая форма принципа максимума с использованием производных первого порядка аналогична принципу минимума дополнительной энергии для задачи о малых упругих деформациях из разд. 2.6. В то же время для аппроксимации на каждом треугольнике используются линейные функции. Неизвестные значения получаются при нахождении максимума функционала (7.23) численным путем.

В качестве примера с помощью принципа минимума и принципа максимума решалась задача, для которой граничное

Таблица 9

условие получается из точного решения

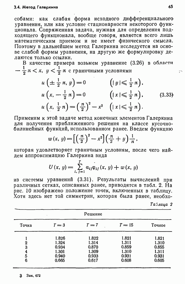
Численные результаты приведены в табл. 9. С дальнейшими деталями можно познакомиться в работе Фримана и Гриффитса (1976).

1
Оглавление
email@scask.ru