Главная > Введение в теорию квантованных полей
НАПИШУ ВСЁ ЧТО ЗАДАЛИ
СЕКРЕТНЫЙ БОТ В ТЕЛЕГЕ
<< Предыдущий параграф Следующий параграф >>
Пред.
След.
Макеты страниц

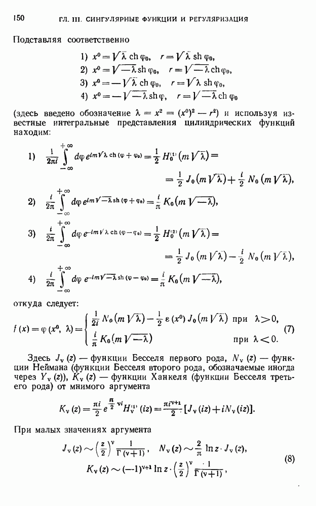
Распознанный текст, спецсимволы и формулы могут содержать ошибки, поэтому с корректным вариантом рекомендуем ознакомиться на отсканированных изображениях учебника выше

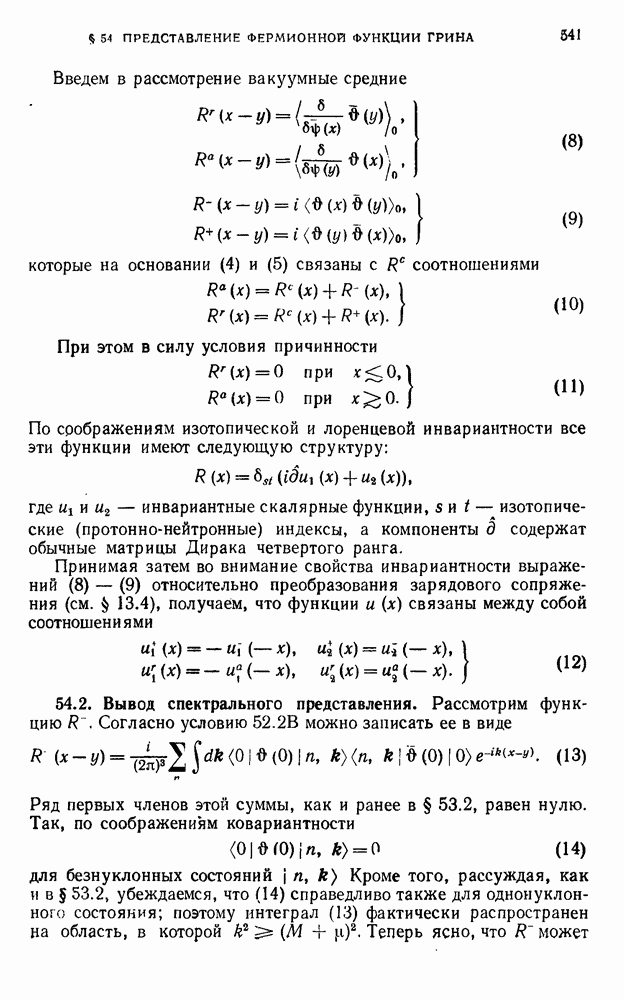
Также, советуем воспользоваться поиском по сайту, мы уверены, что вы сможете найти больше информации по нужной Вам тематике

ДЛЯ СТУДЕНТОВ И ШКОЛЬНИКОВ ЕСТЬ
ZADANIA.TO

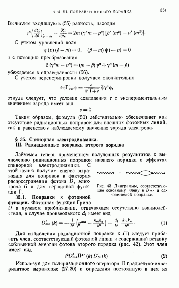
35.2. Поправки к электронной функции Грина.

Поправка второго порядка к функции Грина электрона имеет вид

Для определения будем исходить из причинной функции фотона при произвольном . Неопределенные константы и (ср. (27.20)) фиксируются выбором процедуры вычитания. Если

использовать для этой цели условия (34.45, 46)

то мы получим вычитание на массовой поверхности. Однако при этом оказывается, что производная содержит член вида , который при расходится. Эта расходимость есть проявление инфракрасной катастрофы и связана с незаконностью разложения по числу испущенных фотонов при рассмотрении процессов, в которых играют роль фотоны с малыми импульсами. Природа инфракрасных расходимостей была в свое время исследована Блохом и Нордсиком (1937). Отсылая читателя за более детальным анализом указанной трудности к разделу 4 настоящего параграфа (см. также гл. IX, § 50.3), мы ограничимся здесь лишь указанием, что полные вероятности переходов в каждом порядке по а свободны от инфракрасных расходимостей, а фактическая регуляризация промежуточных выражений осуществляется обычно введением фиктивной малой массы фотонов

Модифицируя соответствующие выкладки § 27 и оставляя константу произвольной, получаем вместо (27.20)

где

    (18)

Выражение (17) удобно записать через две скалярные функции:

Подставляя (19) в сумму

представленную в виде , получаем

где

Полную функцию Грина электрона полезно также представить в виде

где — так называемый оператор эффективной массы электрона. В рассматриваемом приближении

Видно теперь, что следующее из первого из условий (16) соотношение приводит к выражению для эффективной массы

радиационная поправка в котором обращается в нуль при , т. е.

Таким образом, именно первое из условий (16) обеспечивает равенство физической массе электрона.

В окрестности массовой поверхности при

где

Поэтому, если определить константу соотношением

что соответствует второму из условий (16), то мы получим и

Заметим теперь, что если вместо второго из условий (16) использовать соотношение

то вместо (24) мы получим , а также

Таким образом, при первом способе перенормировки (24) выражение (21) для полной функции Грина явно содержит инфракрасную сингулярность в виде . В то же время оно оказывается весьма простым в окрестности массовой поверхности, где совпадает со свободным пропагатором. Во втором случае инфракрасная сингулярность в явное выражение для не входит. Однако при стремлении G к массовой поверхности она появляется в «нормировочном» множителе

Приведем еще формулы в ультрафиолетовой области

1
Оглавление
email@scask.ru