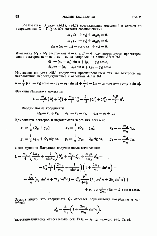
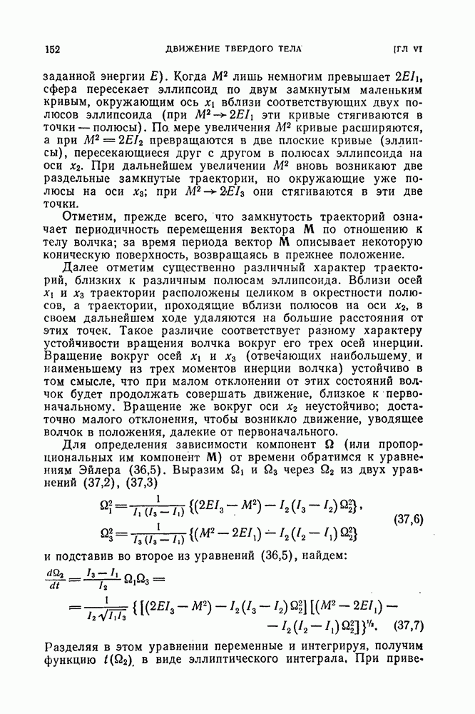
Главная > Теоретическая физика, Т. I. Механика
НАПИШУ ВСЁ ЧТО ЗАДАЛИ
СЕКРЕТНЫЙ БОТ В ТЕЛЕГЕ
<< Предыдущий параграф Следующий параграф >>
Пред.
След.
Макеты страниц

Распознанный текст, спецсимволы и формулы могут содержать ошибки, поэтому с корректным вариантом рекомендуем ознакомиться на отсканированных изображениях учебника выше

Также, советуем воспользоваться поиском по сайту, мы уверены, что вы сможете найти больше информации по нужной Вам тематике

ДЛЯ СТУДЕНТОВ И ШКОЛЬНИКОВ ЕСТЬ
ZADANIA.TO

§ 46. Теорема Лиувилля

Для геометрической интерпретации механических явлений часто пользуются понятием о так называемом фазовом пространстве как о пространстве измерений, на координатных осях которого откладываются значения s обобщенных координат и s импульсов данной механической системы. Каждая точка этого пространства отвечает определенному состоянию системы. При движении системы изображающая ее фазовая точка описывает в фазовом пространстве соответствующую линию, называемую фазовой траекторией. Произведение дифференциалов

можно рассматривать как «элемент объема» фазового пространства. Рассмотрим теперь интеграл взятый по некоторой области фазового пространства и изображающий собой ее объем. Покажем, что эта величина обладает свойством инвариантности по отношению к каноническим преобразованиям: если произвести каноническое преобразование от переменных p, q к переменным Р, Q, то объемы соответствующих друг другу, областей пространств p, q и Р, Q одинаковы:

Как известно, преобразование переменных в кратном интеграле производится по формуле

где

есть так называемый якобиан преобразования.

Поэтому доказательство теоремы (46,1) сводится к доказательству того, что якобиан всякого канонического преобразования равен единице:

Воспользуемся известным свойством якобианов, которое позволяет обращаться с ними в определенном смысле, как с дробями. «Разделив числитель и знаменатель» якобиана на получим:

Согласно другому известному правилу якобиан, у которого в «числителе» и «знаменателе» фигурируют одинаковые величины, сводится к якобиану от меньшего числа переменных, причем при всех дифференцированиях в нем выпавшие одинаковые величины должны считаться постоянными. Поэтому

Рассмотрим якобиан, стоящий в числителе этого выражения. Согласно определению это есть определитель ранга s, составленный из элементов (элемент на пересечении i-й строки и k-го столбца). Представив каноническое преобразование с помощью производящей функции в форме (45,8), получим:

Таким же образом найдем, что i, k-й элемент определителя в знаменателе выражения (46,4) равен . Это значит, что оба определителя отличаются только заменой строк на столбцы и обратно. Поэтому они равны друп другу, так что отношение (46,4) равно единице, что и требовалось доказать.

Представим себе теперь, что каждая точка данного участка фазового пространства перемещается со временем согласно уравнениям движения рассматриваемой механической системы. Тем самым будет перемещаться и весь участок. При этом его объем остается неизменным:

(46,5)

Это утверждение (так называемая теорема Лиувилля) непосредственно следует из инвариантности фазового объема при канонических преобразованиях и из того, что самое измененке p и q при движении можно рассматривать (как было указано в конце предыдущего параграфа) как каноническое преобразование.

Совершенно аналогичным образом можно доказать инвариантность интегралов

в которых интегрирование производится по заданным двух-, четырех- и т. д. -мерным многообразиям в фазовом пространстве.

1
Оглавление
email@scask.ru