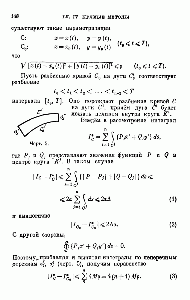
Главная > Лекции по вариационному исчислению
НАПИШУ ВСЁ ЧТО ЗАДАЛИ
СЕКРЕТНЫЙ БОТ В ТЕЛЕГЕ
Следующий параграф >>
Пред.
След.
Макеты страниц

Распознанный текст, спецсимволы и формулы могут содержать ошибки, поэтому с корректным вариантом рекомендуем ознакомиться на отсканированных изображениях учебника выше

Также, советуем воспользоваться поиском по сайту, мы уверены, что вы сможете найти больше информации по нужной Вам тематике

ДЛЯ СТУДЕНТОВ И ШКОЛЬНИКОВ ЕСТЬ
ZADANIA.TO

ПРЕДИСЛОВИЕ

Эти лекции я читал несколько раз на механико-математическом отделении физико-математического факультета Харьковского государственного университета.

В соответствии с существующими программами и общими задачами университетского преподаванпя я стремился не столько к подробной трактовке всех задач вариационного исчисления, сколько к ознакомлению студентов с проблематикой и главными методами вариационного исчисления — классическими и прямыми. Поэтому в основном тексте полному разбору подвергнуты лишь главнейшие проблемы. Частично этот пробел восполняет раздел «Различные дополнения и упражнения» (коротко: Дополнения). Для большей компактности туда же отнесены и классические примеры вариационного исчисления. Рядом с номером параграфа Дополнений указаны в скобках те параграфы основного текста, с которыми он в первую очередь связан.

Кроме известных трактатов по вариационному исчислению, я частично использовал небольшой литографированный курс покойного Н. Г. Чеботарёва, а также несколько упомянутых в тексте журнальных статей.

Б. Я. Левин и Н. С. Ландкоф прочли рукопись и сделали ряд полезных замечаний, которые я учёл. Пользуюсь случаем выразить им свою признательность.

Н. И. Ахиезер

1
Оглавление
email@scask.ru