Макеты страниц
Распознанный текст, спецсимволы и формулы могут содержать ошибки, поэтому с корректным вариантом рекомендуем ознакомиться на отсканированных изображениях учебника выше
Также, советуем воспользоваться поиском по сайту, мы уверены, что вы сможете найти больше информации по нужной Вам тематике
(L.-Dirichlet 14, § 72), причем есть определитель формы Если переводится в форму подстановкой определителя то и выражения и равны, очевидно, корням формы Подставляя в величину и освобождаясь от в знаменателе дроби, найдем, что равно первому корню формы при и второму корню при Итак, если форма подстановкою определителя переводится в форму с корнями то одноименные корни этих форм связаны соотношениями
Назовем форму с корнями приведенного если Определение это имеет большое сходство с данным в § 10 гл. II определением приведенных квадратных иррациональностей. Так же, как и там, найдем, что у приведенной формы заключаются между обратно, система неравенств или характеризует приведенность формы Каждая форма определителя собственно эквивалентна приведенной форме. Пусть данная форма с корнями разложим в обыкновенную непрерывную дробь: от где есть полное частное, и определим для каждого иррациональное число из уравнения не может быть больше единицы для каждого , так как тогда мы имели бы следовательно, найдется номер и, для которого и тогда Таким образом видим, что можно выбрать четное число так, чтобы в равенствах
было обозначает подходящую к дробь Преобразовывая подстановкой определителя получаем форму с корнями т. е. приведенную форму, что и требовалось доказать.
Припоминая данное в § 3 гл. II определение соседних форм, докажем теперь, что для приведенной формы существует одна и только одна соседняя с нею справа приведенная форма. Пусть
Из этих соотношений, обозначая через абсолютное значение получаем разложения в непрерывную дробь чисел для всякого
Пользуясь свойствами приведенных форм, нетрулно доказать формулированную раньше (конец § 3 гл. II) теорему Коркина о минимуме формы положительного определителя Пусть дана приведенная форма определителя построим соответствующий ей период (9) приведенных форм. Так как разность корней формы равна эти корни разных знаков, то при помощи (12) получаем для всякого
Покажем, что номер можно выбрать так, что выражение в правой части равенства (13) будет больше или равно . Действительно, рассмотрим ряд целых положительных чисел Если в этом ряде есть хоть оаин элемент, бопьший или равный 3, например то мы достигнем цели, положив в Если этот ряд составлен исключительно из двоек и единиц, но содержит хоть одну двойку, например то при правая часть (13) будет больше Наконец, если все числа то правая часть (13) при всяком равна Таким образом всегда найдется номер при котором а так как равно значению формы при некоторых целых то видим, что во всякой приведенной форме можно дать переменным х, у такие целые, не равные одновременно нулю значения, при которых эта теорема справедлива не только для приведенной, но для любой формы определителя так как было доказано, что всякая форма эквивалентна приведенной. Уже было замечено (§ 3 гл. II), что предел у не может быть понижен, так как форма (и все формы, эквивалентные ей собственно или несобственно) не может быть сделана меньше целыми значениями не равными одновременно нулю. Предположим теперь, что данная форма определителя не эквивалентна Преобразовав ее в приведенную форму и
построив период (9), убедимся, что ряд не может состоять из одних единиц, и тогда аналогично предыдущему покажем, что номер в равенстве (13) можно выбрать так, что правая часть его будет больше или равна получаем теорему: во всякой форме определителя не эквивалентной переменным х, у можно дать такие целые, не равные одновременно нулю значения, при которых причем этот предел опять оказывается точным для формы и форм, ей эквивалентных. Развивая дальше эти соображения, А. А. Марков в своей диссертации 54 получил неограниченный ряд таких пределов, причем обнаружилась замечательная связь между этими пределами и решениями в целых числах неопределенного уравнения примечания к этой главе).
Докажем теперь, что если две приведенные формы собственно эквивалентны, то одна из них встречается в периоде другой. Пусть переводится в подстановкой Так как при переходе от приведенной формы к соседней с ней справа или слева приведенной форме меняется знак первого коэфициента, то можно предполагать, что в формах числа Обозначая тогда через корни форм имеем
Предположим сначала, что все числа Рассмотрим случай Так как у всех чисел можно переменить знаки, то можем считать из равенства вытекает а следовательно, и так как то первое из равенств (14) дает Если а если же а то второе равенство (14) показывает, что откуда Неравенство в связи с соотношением опять позволяет заключить, что в самом деле, при имеем что невозможно. Итак, во всех случаях Разложим в непрерывную дробь с четным числом неполных частных: и положим Тогда из равенств в соединении с неравенствами выведем т. е. Построим теперь для формы период приведенных форм; пусть это будет (9). Обозначая, как и раньше, через корни формы , ввиду
положительности получаем из Сравнивая это с находим в силу единственности разложения в непрерывную дробь Отсюда, так как вытекает, что и тогда равенства (11) дают сравнивая это с получаем Итак, корни формы совпадают с корнями формы и так как эти формы имеют одинаковый определитель и первые коэфициенты их больше нуля, то имеем тождественно что и доказывает теорему для случая При можем считать из равенства имеем Так как то второе равенство (14) дает но у и одного знака, следовательно, Замечая, что форма переводится в обратной подстановкой все коэфициенты которой положительны, заключаем на основании рассмотренного уже случая, что находится в правой части периода формы следовательно, находится в левой части периода Остается рассмотреть случай, когда среди коэфициентов могут быть нули. При число и первый коэфициент равен третьему коэфициенту с формы невозможно, так как предполагается, что в форме число аналогично покажем, что При можно считать и вторая формула (14) дает откуда, так как вытекает Тот же результат получим и при Теорема доказана.
|
1 |
Оглавление
- ГЛАВА I. ОСНОВНЫЕ ПОНЯТИЯ ТЕОРИИ ЧИСЕЛ
- § 2. Простейшие арифметические функции.
- § 3. Теоремы о делимости факториалов.
- § 4. Теоремы Эйлера и Ферма; сравнения первой степени.
- § 5. Теоремы Лагранжа и Вильсона.
- § 6. Первообразные корни, индексы, двучленные сравнения.
- § 7. Числа Бернулли.
- § 8. Квадратичные вычеты; третье гауссово доказательство закона взаимности.
- § 9. Квадратичный характер по составному модулю.
- § 10. Обобщения сравнений.
- ГЛАВА II. НЕПРЕРЫВНЫЕ ДРОБИ И ДИОФАНТОВЫ ПРИБЛИЖЕНИЯ
- § 1. Ряды Фарея.
- § 2. Принцип Дирихле; теоремы Кронекера и Минковского.
- § 3. Теорема Эрмита.
- § 4. Непрерывные дроби; перечисление свойств подходящих дробей.
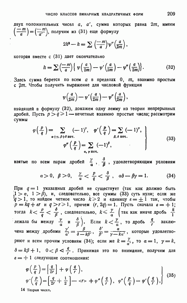
- § 5. Критерий Лежандра; теоремы Валена и Бореля.
- § 6. Эквивалентные числа.
- § 7. Относительные минимумы формы x — wy
- § 8. Арифметические приложения неравенства Дирихле.
- § 9. Симметрические непрерывные дроби.
- § 10. Разложение квадратных иррациональностей в непрерывную дробь.
- § 11. Союзные числа.
- § 12. Уравнение Пелля.
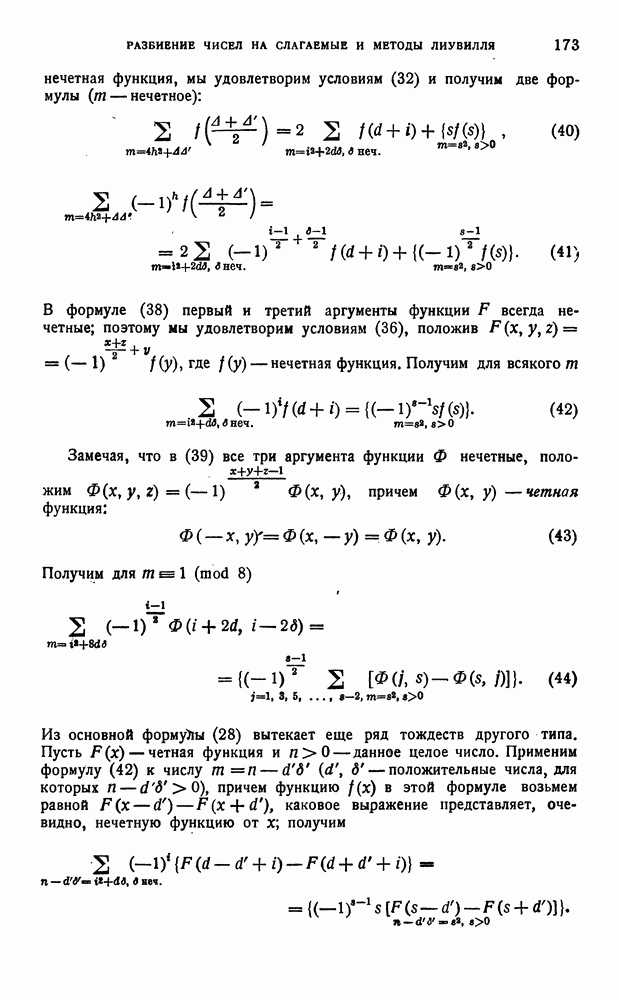
- § 13. Вопрос Ивана Бернулли.
- ГЛАВА III. СТЕПЕННЫЕ ВЫЧЕТЫ
- § 1. Первое гауссово доказательство квадратичного закона вэаимности.
- § 2. Распределение степенных вычетов в прогрессии.
- § 3. Биквадратичные вычеты; критерии принадлежности чисел к классам биквадратичного распределения.
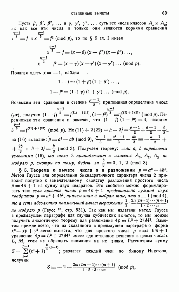
- § 4. Кубические вычеты; метод Гаусса.
- § 5. Теорема о вычете числа а в разложении p = a^2+4b^2
- ГЛАВА IV. ГАУССОВА ТЕОРИЯ КВАДРАТИЧНЫХ ФОРМ
- § 1. О представлении целого числа бинарной квадратичной формой.
- § 2. Преобразование бинарной формы в себя.
- § 3. Приведение форм отрицательного определителя.
- § 4. Формы положительного определителя.
- § 5. Периоды целочисленных форм.
- § 6. Формы с определителем, равным квадрату.
- § 7. Решение общего уравнения второй степени с двумя неизвестными.
- § 8. Порядки форм; представление чисел полной системой неэквивалентных форм данного порядка
- § 9. Формы и классы anceps; некоторые специальные исследования о периодах неопределенных форм.
- § 10. Композиция бинарных форм.
- § 11. Сравнение чисел классов для определителей, отличающихся на квадрат.
- § 12. Распределение бинарных форм на роды.
- § 13. Тройничные формы, конечность числа классов, основные задачи теории.
- § 14. Представление чисел и бинарных форм тройничными формами.
- § 15. Приложение к бинарным формам, теорема Редея.
- § 16. Разложение чисел и бинарных форм на сумму трех квадратов.
- ГЛАВА V. РАЗБИЕНИЕ ЧИСЕЛ НА СЛАГАЕМЫЕ И МЕТОДЫ ЛИУВИЛЛЯ
- § 1. Точечные диаграммы, теорема Эйлера-Лежандра.
- § 2. Двойные разбиения, рекуррентные соотношения для аддитивных функций.
- § 3. Теорема Раманужана.
- § 4. Методы Лиувилля; вывод основных тождеств.
- § 5. О представлении чисел формами с двумя, тремя и четырьмя переменными.
- § 6. Количество представлений чисел суммою 2, 4, 6, 8 и 10 квадратов.
- ГЛАВА VI. ЧИСЛО КЛАССОВ БИНАРНЫХ КВАДРАТИЧНЫХ ФОРМ
- § 1. Табличные сведения о числе классов; регулярные определители.
- § 2. Соотношения Кронекера между числами классов.
- § 3. Формулы Дирихле.
- § 4. Доказательство формул Дирихле для чисто коренного случая отрицательного определителя.
- БИБЛИОГРАФИЧЕСКИЙ УКАЗАТЕЛЬ
|