Главная > Волновые задачи теории пластичности
НАПИШУ ВСЁ ЧТО ЗАДАЛИ
СЕКРЕТНЫЙ БОТ В ТЕЛЕГЕ
<< Предыдущий параграф Следующий параграф >>
Пред.
След.
Макеты страниц

Распознанный текст, спецсимволы и формулы могут содержать ошибки, поэтому с корректным вариантом рекомендуем ознакомиться на отсканированных изображениях учебника выше

Также, советуем воспользоваться поиском по сайту, мы уверены, что вы сможете найти больше информации по нужной Вам тематике

ДЛЯ СТУДЕНТОВ И ШКОЛЬНИКОВ ЕСТЬ
ZADANIA.TO

26. Волны напряжений в плитах

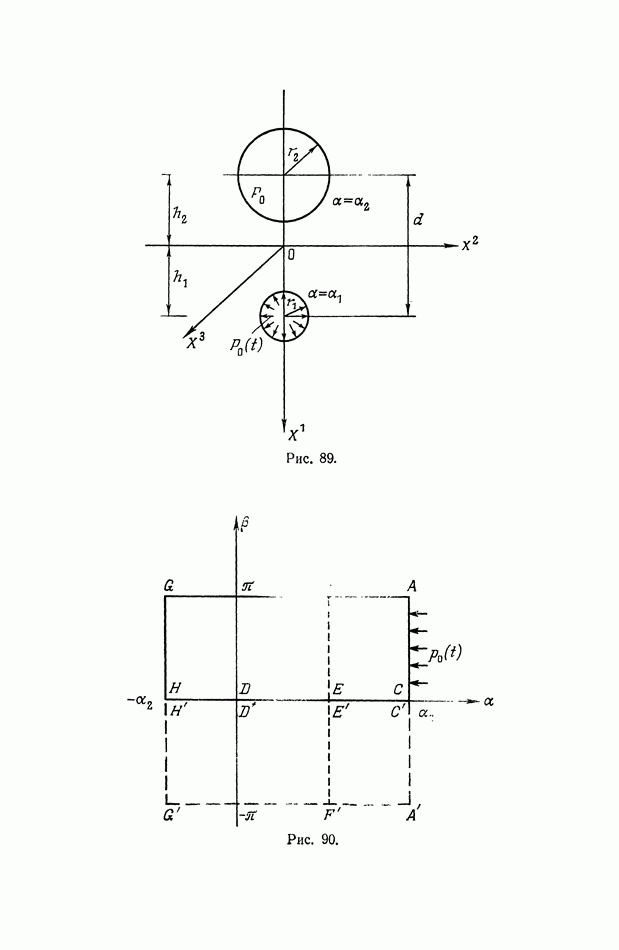
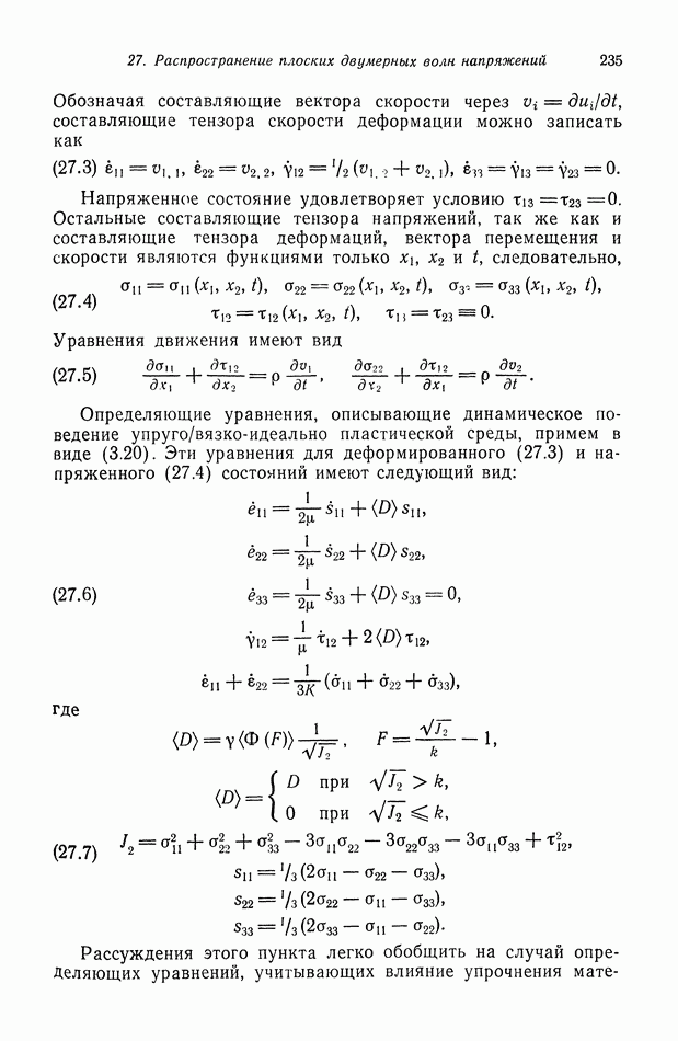
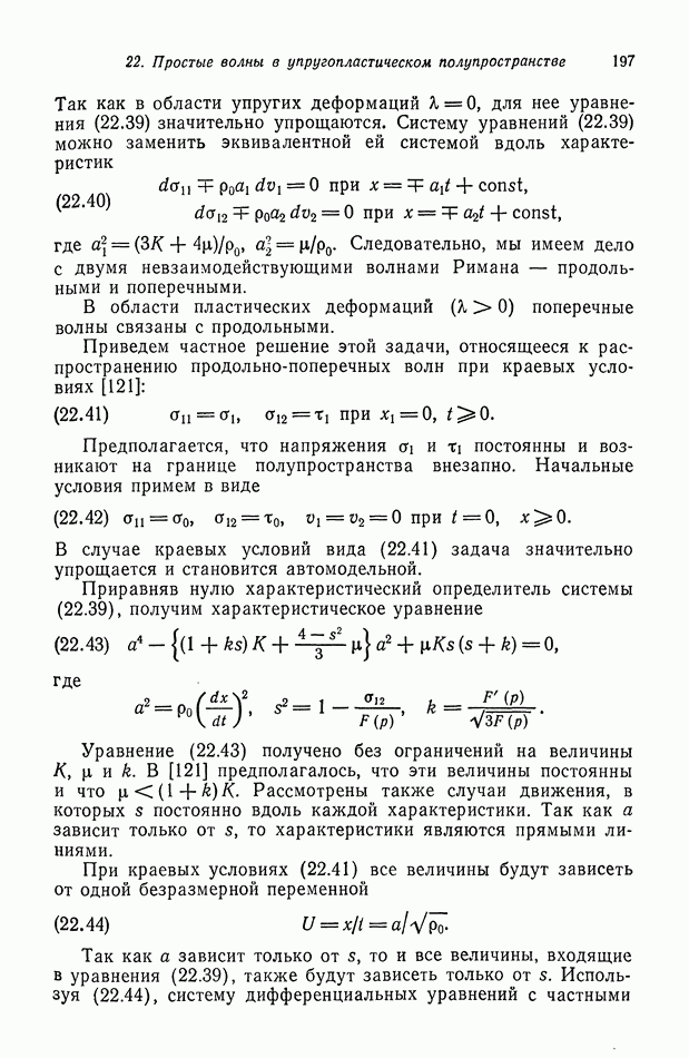
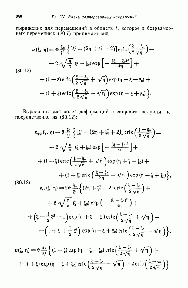
В этом пункте рассматривается задача о распространении поперечных осесимметричных волн в неограниченных плитах. Примем, что материал плиты чувствителен к скорости деформации и его свойства описываются уравнениями вязкопластичности (3.10).

Свяжем с плитой толщины систему цилиндрических координат причем ось направим по нормали к плите; и полярные координаты в срединной плоскости плиты. В условиях осевой симметрии напряженное состояние плиты

определяется составляющими тензора напряжений деформированное состояние — составляющими Остальные составляющие тензоров напряжений и деформаций равны нулю. Определяющие уравнения сводятся к следующим трем уравнениям:

где интенсивность девиатора напряжений выражается через составляющие тензора напряжений в виде

Введем в рассмотрение обобщенные величины — поперечную силу и радиальный и окружной изгибающие моменты отнесенные к единице длины линий срединной поверхности. Эти величины определяются следующим образом:

Чтобы получить уравнения гиперболического типа, следует (аналогично тому, как это было сделано в предыдущем пункте для балки типа Тимошенко) учесть влияние деформаций сдвига и инерцию вращения. С этой целью примем, что проекции на оси полного перемещения произвольной точки плиты, лежащей в сечении на расстоянии от срединной плоскости плиты, определяются формулами

Деформации плиты выражаются в виде

где — средняя деформация сдвига. Вводя аналогично случаю балки угол поворота а, на который поворачивается

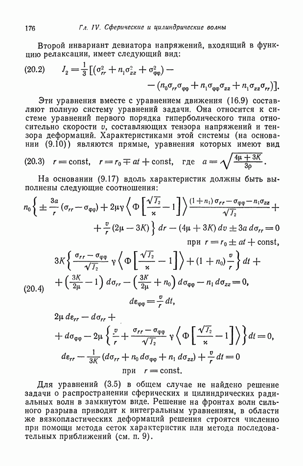
мент, первоначально расположенный на нормали к срединной поверхности плиты:

можно написать соотношения, связывающие перемещение угол а, составляющие нормальной и угловой скорости элемента и деформации у в случае малых прогибов и малых углов поворота, в виде

Подставляя в определяющие уравнения (26.1) уравнения сплошности (26.8), получим следующую систему уравнений:

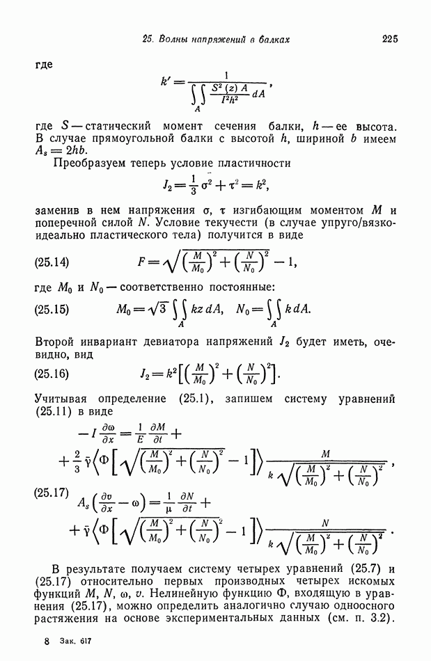
Преобразуем теперь условие текучести заменяя в нем напряжения изгибающими моментами и напряжение поперечной силой аналогично тому, как это сделано в случае изгиба балок. Для простоты примем, что (тело не обнаруживает эффекта упрочнения материала). Получим следующее условие текучести:

где определены интегралами

Второй инвариант девиатора напряжений имеет вид

Подставляя (26.10) и (26.11) в уравнения (26.9), умножая затем первые два из полученных уравнений на а третье — на проинтегрируем полученные равенства по высоте плиты от 0 до Тогда, используя определение (26.3), получим следующую систему уравнений:

где определяются соответственно формулами (26.10) и (26.11).

Уравнения поступательного и вращательного движений элемента плиты имеют вид

Система уравнений (26.12) и (26.13) представляет собой полную систему уравнений движения упруго/вязко-идеально пластической плиты. Это система гиперболического типа пяти уравнений относительно пяти искомых функций Она имеет следующие семейства вещественных характеристик:

где скоростн распространения волн в упругой среде.

Вдоль характеристик (26.14) выполняются соответственно соотношения

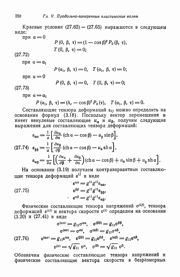
При заданных начальных и краевых условиях, например вида

исходя из соотношений на характеристиках (26.15), можно построить решение начально-краевой задачи. Если, однако, нагрузки, приложенные к плите, имеют разрыв (например, возникают скачкообразно), то в плите возникают волны сильного разрыва. На фронтах волн сильного разрыва должны выполняться следующие условия:

условия непрерывности перемещений и углов поворота:

условия динамической непрерывности [их можно получить из (7.18), используя определение (26.3)]:

условия, вытекающие из того, что среда на фронте волны сильного разрыва ведет себя как упругая [эти условия следуют из определяющих уравнений (26.12)]:

Пусть в сечении в момент внезапно возникают нагрузки Тогда в плите начнут распространяться волны сильного разрыва с уравнениями На фронтах волн возникают скачки величин а функции являются непрерывными. Наоборот, на фронтах волн разрывны величины а величины непрерывны.

Построение решения задачи о распространении изгибных и поперечных волн в неограниченной плите производится аналогично случаю балки (см. п. 25). На фронтах волн сильного разрыва решение можно свести к решению интегрального уравнения. В частном случае степенной или линейной функции релаксации решение можно получить в замкнутом виде. Решения в областях вязкопластических деформаций, как и в областях разгрузки, можно построить численно, используя соотношения (26.15) вдоль характеристик.

1
Оглавление
email@scask.ru