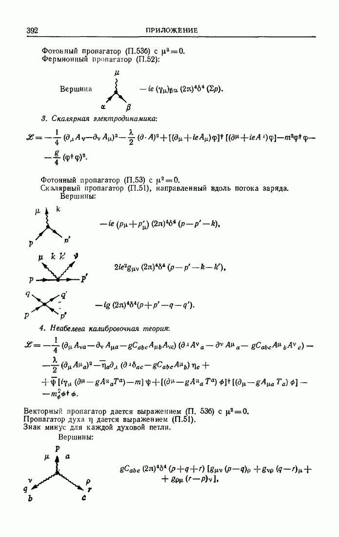
Главная > Квантовая теория поля, Т.2
НАПИШУ ВСЁ ЧТО ЗАДАЛИ
СЕКРЕТНЫЙ БОТ В ТЕЛЕГЕ
<< Предыдущий параграф Следующий параграф >>
Пред.
След.
Макеты страниц

Распознанный текст, спецсимволы и формулы могут содержать ошибки, поэтому с корректным вариантом рекомендуем ознакомиться на отсканированных изображениях учебника выше

Также, советуем воспользоваться поиском по сайту, мы уверены, что вы сможете найти больше информации по нужной Вам тематике

ДЛЯ СТУДЕНТОВ И ШКОЛЬНИКОВ ЕСТЬ
ZADANIA.TO

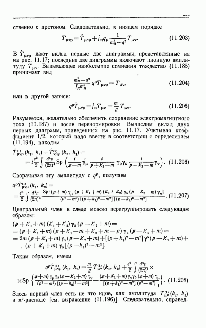
13.2.1. Масштабная и конформная инвариантность

Если классическое действие не содержит размерных констант, то можно ожидать, что теория является масштабно-инвариантной. В массивной теории масштабная инвариантность могла бы проявляться на малых расстояниях, характеризуемых условием

Если подвергнуть координаты масштабному преобразованию

то поля, обозначаемые в общем случае через , будут преобразовываться следующим образом:

    (13.37а)

где - конечномерное представление абелевой группы растяжений Предположим, что это представление полностью приводимо. Тогда мы можем написать

причем матрица D может быть диагонализована. Инфинитезимальная форма при закона преобразования запишется в виде

В классической безмассовой теории преобразования (13.37 а) и (13 38) сводятся к инвариантному преобразованию при условии, что собственные значения матрицы D равны для бозе-полей и для ферми-полей Величины в скобках относятся к случаю произвольной размерности d, отличной от четырех

Можно также рассмотреть эффект таких преобразований в массивной теории, получая при этом тождества Уорда, отражающие нарушение масштабной инвариантности В этом смысле имеется отличие от чистого анализа размерностей, поскольку мы рассматриваем здесь следствия преобразования динамических переменных (полей), а не размерных параметров, таких, как массы Если не учитывать этого, то можно смешать две различные физические ситуации

Обращаясь к нашему излюбленному примеру, а именно к лагранжиану вида

найдем вариацию

Следовательно, если то

Интеграл не зависит от (положительного). Дифференцируя в точке находим

Это означает, что величина представляет собой дивергенцию и что вариация действия равна

Очевидно, когда обращается в нуль, теория является масштабно-инвариантной в классическом смысле.

Покажем, что в этом случае конформная инвариантность есть следствие масштабной инвариантности.

Конформная группа определяется как множество преобразований, оставляющих инвариантными углы. Это переносится и на пространство Минковского, в котором мы имеем дело как с гиперболическими, так и со сферическими углами. Конформная группа получается добавлением к преобразованиям Пуанкаре инверсии по отношению к произвольной точке — началу отсчета, например:

    (13.42)

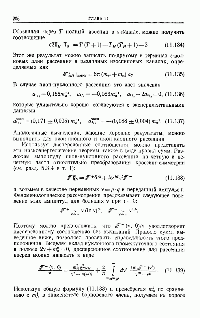
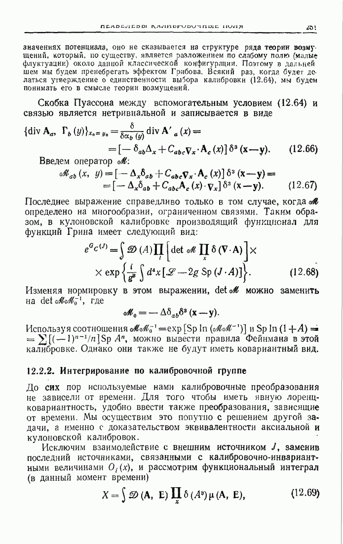
Чтобы это определение имело смысл, обычное -пространство должно быть пополнено на бесконечности конусом. Введем полезную геометрическую конструкцию. Рассмотрим шестимерное пространство с метрикой (2, 4), т. е. такое, что

Линии, принадлежащие изотропному конусу отождествляются с -пространством, пополненным конусом на бесконечности. Это можно реализовать, например, разрезав конус гиперплоскостью и построив затем стереографическою проекцию получившегося в результате однополостного гиперболоида на -пространство из точки (0, 0, 0, 0, — 1) в -пространстве (рис. 13.3). Соответствующие этому преобразованию формулы запишутся в виде

    (13.43)

Преобразования псевдоортогональной группы в пространстве Минковского соответствует конформным преобразованиям. В частности, масштабные преобразования соответствуют гиперболическим поворотам в плоскости

    (13.44)

В качестве упражнения найдите четыре других типа конформных преобразований, дополняющих число генераторов до 15. Напишите соответствующие преобразования в пространстве Минковского. Постройте аналогичную конструкцию для случая евклидова четырехмерного пространства.

РИС. 13.3. Проекция гиперболоида (1, 4) на пространство Минковского.

При этом конформная группа совпадает с пополненную точкой на бесконечности, можно отождествить со стереографической проекцией единичной сферы в пятимерном пространстве.

Таким образом, для того чтобы доказать конформную инвариантность безмассовой -теории, достаточно изучить следе инверсии. В пятимерном -пространстве преобразование соответствует симметрии единичного гиперболоида. Затем нужно выбрать закон преобразования для поля. Из преобразования (13.37 а), т. е. можно прийти к следующему определению:

    (13-45)

Отсюда мы имеем

Добавочный член представляет собой четырехмерную дивергенцию

Таким образом, формально (т. е. без учета возможных сингулярностей) действие, а следовательно, и уравнения движения являются конформно-инвариантными.

Упражнения

1. Сформулируйте безмассовую -теорию в пятимерном пространстве с динамическими переменными, определенными на единичном гиперболоиде (псевдоевклидов или на единичной сфере (евклидов случай) Выпишите соответствующий лагранжиан и уравнения движения Разложите решения уравнений для классического свободного поля но обобщенным сфеоическим гармоникам.

2. Покажите, что вариацию действия массивной теории при мгсштабном преобразовании [формула (13.41)] можно записать в виде интеграла от четырехмерной дивергенции тока, соответствующего этому преобразованию. Последний связан с модифицированным тензором энергии-импульса (таким, что его след в безмассовом случае равен нулю) следующими соотношениями:

Обсуждение этих вопросов можно найти в работе Каллана, Коулмена и Джекива.

3. Исследуйте масштабную и конформную инвариантность при наличии ферми-полей.

1
Оглавление
email@scask.ru