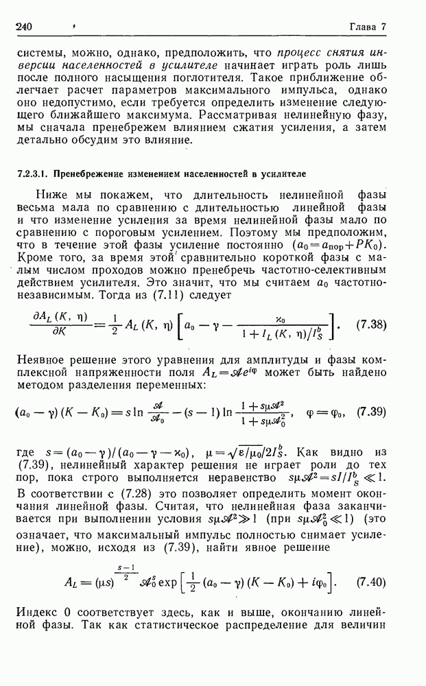
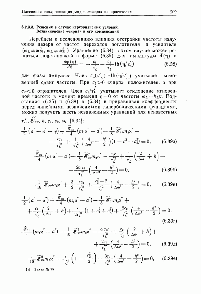
6.2.3.4. Влияние времени поперечной релаксации усилителя и поглотителя
Для получения наиболее коротких импульсов необходимо обеспечить возможно большую ширину полосы дополнительных оптических элементов в резонаторе, так чтобы полоса частот ограничивалась результирующей линией усиления. При более грубой оценке ширину полосы «частотно-селективного фильтра» можно заменить шириной эффективной линии усиления. Однако в деталях действие линейного оптического фильтра отличается от эффекта ограничения полосы самой линией усиления, так как ширина последней определяется насыщающимися, т. е. нелинейными, оптическими элементами. Это обстоятельство исследовалось Рудольфом и Вильгельми [6.36], которые не пренебрегали членом
в уравнении для элемента матрицы плотности
[см., например, уравнение (1.60)], а путем последовательных аппроксимаций учли зависящие от этого члена два последующих поправочных члена. В результате они получили уравнения, аналогичные (6.39), с дополнительными членами, учитывающими ограничение полосы частот линией усиления. Для случая компенсации в резонаторе «чирпа» в импульсе подобранным линейным оптическим элементом были найдены решения, соответствующие условию
в максимуме импульса. Для критического значения дисперсионного параметра
линейного оптического элемента, при котором «чирп» компенсируется, может быть получено следующее соотношение:

(кликните для просмотра скана)
где
Первое слагаемое соответствует значению (6.41), остальные дают вклад, обусловленный конечными значениями поперечных времен релаксации
Некоторые результаты представлены на рис. 6.11. Частота излучения лазера
уменьшается с ростом коэффициента поглощения для слабого сигнала, как это видно на рис. 6.11, а, что соответствует экспериментальным наблюдениям. Рассчитанная кривая зависимости дисперсионного параметра
от
как следует из рис. 6.11, б, имеет при определенных значениях
экстремумы. Этот результат соответствует экспериментальным данным и не объясняется полученной на основе скоростных уравнений приближенной формулой (6.41). Длительности импульсов представлены на рис. 6.11, в, причем для сравнения длительности импульсов А и В соответствуют режиму с выполнением резонансных условий
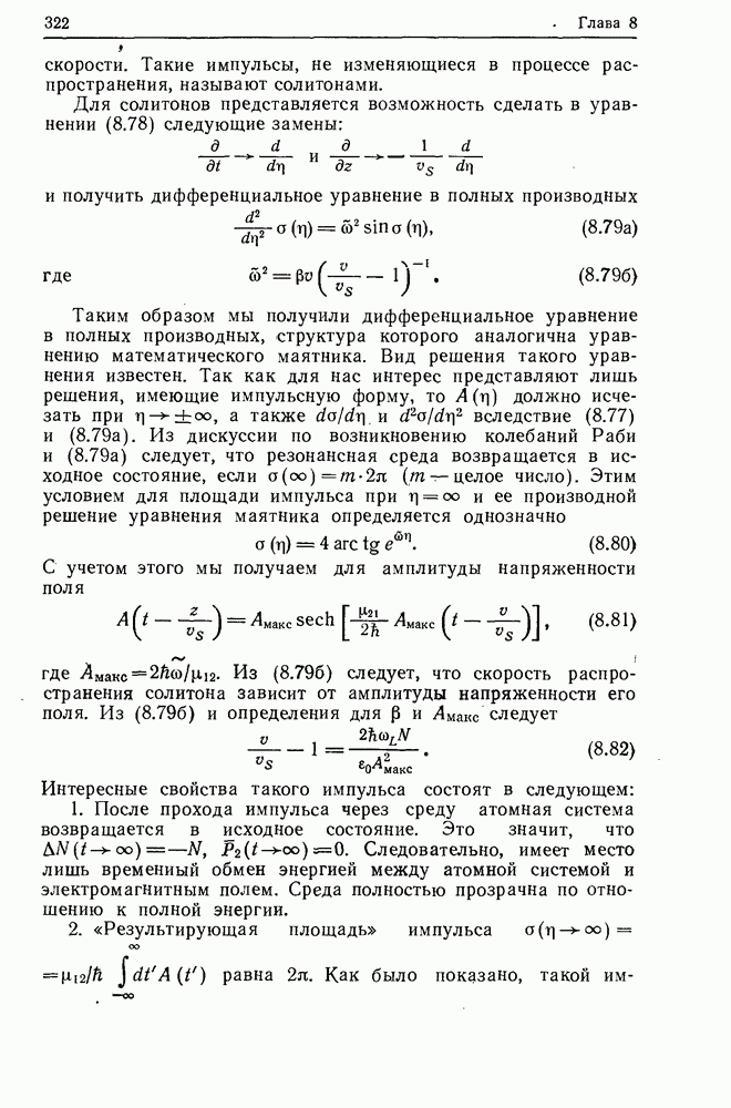
при котором не возникает нуждающийся в компенсации «чирп». Очевидно, что нерезонансное взаимодействие в совокупности с образованием и компенсацией «чирпа» приводит к заметному укорочению импульсов.